王者编程大赛之四 — 约瑟夫环

303 阅读2分钟
原文链接: www.fanhaobai.com

每年夏季自如都会组织夏季夏令营活动,给来京参加夏令营的小崩友准备好多礼物,今年也是如此。

组委会准备了一些小游戏来获得这些礼物,其中有一个游戏是这样的:组委会让小崩友围成一个圈。然后随机制定一个数 e,让编号为 0 的小朋友开始报数。每次喊道 e-1 的小朋友直接出列,淘达出局。从本次喊道 e-1 的下一个小朋友开始,继续从 0 报数…e-1 淘汰出局…一直这样进行…最后进行到最后一个小朋友,这位可以拿到”熊帅”亲笔签名的”木木”毛绒玩具。(注:小朋友的编号是从 0 到 n-1 )

示例:
输入:n=1314 e=520
输出:796
输入:n=88888 e=1018
输出:69148

解题思路

该题是一个 约瑟夫环 问题(猴子选大王),这里运用数学知识找出递推关系式。

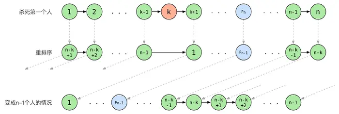
假设,总共有 n 个人,数到 k(n >= k)的人被杀掉,幸存者的位置为 p_n(为了便于理解,编号从 1 开始)。

易知,初始位置为 k 的人会被第一个杀掉。此时,经过重新排序之后,问题变成了 n-1 个人的情形。幸存者的位置为 p_{n-1}。如果能够找到从 p_{n-1}p_{n-1} 的递推关系,那么问题就解决了。

重新编号后,上一轮相对这一轮每个人位置关系映射为:

1 -> n-k+1
2 -> n-k+2

k-1 -> n-1
k+1 -> 1

p_n -> p_{n-1}

n-1 -> n-k+1
n -> n-k

这样,我们就得到一个递推关系式:p_n = (p_{n-1} + k) % n,初始条件 p_1 = 1(1 个人时幸存者为自己),当然该提递推公式同样适用于 n < k 的情况。

编码实现

约瑟夫环递推实现:

function josephus($n, $e)
{
    $idx = 0;
    for ($i = 2; $i <= $n; $i ++) {
        $idx = ($idx + $e) % $i;
    }
    return $idx;
}

接收标准输入处理并输出结果:

$input = str_replace(' ', '&', $input);
parse_str($input, $arr);
echo josephus($arr['n'], $arr['e']), PHP_EOL;

总结

由于本题只是需要求出最终的幸存者编号,所以可以直接使用递推公式求解,算法时间复杂度为 O(n)。若需要模拟整个游戏过程,则需要使用 链表 模拟实现。

相关文章 »