目录
- 1. 前言
- 2. 实现 Singleton
- 3. 数组中重复的数字
- 4. 二维数组中的查找
- 5. 替换空格
- 6. 从尾到头打印链表
- 7. 重建二叉树
- 8. 二叉树的下一个结点
- 9. 用两个栈实现队列
- 10.1 斐波那契数列
- 10.2 跳台阶
- 10.3 矩形覆盖
- 10.4 变态跳台阶
阅前需知
1.本文部分内容参考剑指 offer 题解,如有侵权,请告知。其他内容均属原创,转载请告知。
2.本文示例代码中给一些类增加了一些类扩展,因篇幅原因,未在文中写出,详情见项目源码,地址文末有提供。
3.阅读本文之前需要先了解节点,链表,栈,二叉树的实现。详情见如下文章连接。
4.因为 OC 中没有栈,链表节点,链表的概念,所以本项目自定义了栈,链表节点,链表类。
5.因技术水平有限,如有错误,欢迎指正。
以下是通过 OC 语法实现
3.数组中重复的数字
题目描述
在一个长度为 n 的数组里的所有数字都在 0 到 n-1 的范围内。数组中某些数字是重复的,但不知道有几个数字是重复的,也不知道每个数字重复几次。请找出数组中任意一个重复的数字。
Input: {2, 3, 1, 0, 2, 5}
Output:2
解题思路
要求复杂度为 O(N) + O(1),也就是时间复杂度 O(N),空间复杂度 O(1)。因此不能使用排序的方法,也不能使用额外的标记数组。牛客网讨论区这一题的首票答案使用 nums[i] + length 来将元素标记,这么做会有加法溢出问题。
这种数组元素在 [0, n-1] 范围内的问题,可以将值为 i 的元素调整到第 i 个位置上。
以 (2, 3, 1, 0, 2, 5) 为例:
position-0 : (2,3,1,0,2,5) // 2 <-> 1
(1,3,2,0,2,5) // 1 <-> 3
(3,1,2,0,2,5) // 3 <-> 0
(0,1,2,3,2,5) // already in position
position-1 : (0,1,2,3,2,5) // already in position
position-2 : (0,1,2,3,2,5) // already in position
position-3 : (0,1,2,3,2,5) // already in position
position-4 : (0,1,2,3,2,5) // nums[i] == nums[nums[i]], exit
遍历到位置 4 时,该位置上的数为 2,但是第 2 个位置上已经有一个 2 的值了,因此可以知道 2 重复。
具体代码如下:
+ (NSArray *)duplicate:(NSArray *)nums {
if (nums == nil || nums.count == 0) {
return nil;
}
NSMutableArray *numbers = [NSMutableArray arrayWithArray:nums];
NSMutableArray *temp = [NSMutableArray array];
for (int i = 0; i < numbers.count; i++) {
while ([numbers[i] intValue] != i) {
int number = [numbers[i] intValue];
// 检查 number 与第 number 位置上的值是否相等,如果相等,说明该 number 重复了,否则索引 i 和 number 两者的值
if (number == [numbers[number] intValue]) {
[temp addObject:numbers[i]];
return temp.copy;
}
[self cs_swap:numbers i:i j:number];
}
}
return nil;
}
// 交换数组中i 和 j 位置上的数字
+ (void)cs_swap:(NSMutableArray *)numbers i:(int)i j:(int)j {
if (i >= numbers.count || j >= numbers.count) {
return;
}
NSNumber *number = numbers[i];
numbers[i] = numbers[j];
numbers[j] = number;
}
测试案例代码
// 3.数组中重复的数字
- (void)repeatNumber {
NSMutableArray *arrM = [NSMutableArray array];
for (int i = 0; i < 10; i++) {
NSMutableArray *numbers = [NSMutableArray array];
for (int j = 0; j < 10; j++) {
[numbers addObject:[NSNumber numberWithInt:arc4random_uniform(10)]];
}
[arrM addObject:numbers];
}
for (int i = 0; i < arrM.count; i++) {
NSArray *numbers = [arrM objectAtIndex:i];
NSArray *repeatNumbers = [_3_repeatNumber duplicate:numbers];
NSLog(@"i = %d, 原始数组:%@, 重复数字:%@",i,[numbers getAllObjectsDescription],[repeatNumbers getAllObjectsDescription]);
}
}
运行结果

4.二维数组中的查找
题目描述
在一个二维数组中,每一行都按照从左到右递增的顺序排序,每一列都按照从上到下递增的顺序排序。请完成一个函数,输入这样的一个二维数组和一个整数,判断数组中是否含有该整数。
Consider the following matrix:
[
[1, 4, 7, 11, 15],
[2, 5, 8, 12, 19],
[3, 6, 9, 16, 22],
[10, 13, 14, 17, 24],
[18, 21, 23, 26, 30]
]
Given target = 5, return true.
Given target = 20, return false.
解题思路
从右上角开始查找。矩阵中的一个数,它左边的数都比它小,下边的数都比它大。因此,从右上角开始查找,就可以根据 target 和当前元素的大小关系来缩小查找区间。
复杂度:O(M + N) + O(1)
当前元素的查找区间为左下角的所有元素,例如元素 12 的查找区间如下:

详细代码如下
// 初始化一个二维数组
+ (bool)findNumber:(int)number numbers:(NSArray *)numbers {
if (numbers == nil) {
NSArray *number1 = @[@1,@4,@7,@11,@15];
NSArray *number2 = @[@2,@5,@8,@12,@19];
NSArray *number3 = @[@3,@6,@9,@16,@22];
NSArray *number4 = @[@10,@13,@14,@17,@24];
NSArray *number5 = @[@18,@21,@23,@26,@30];
numbers = @[number1,number2,number3,number4,number5];
}
return [self find:number matrix:numbers];
}
// 在二维数组 matrix 中查找目标数 target
+ (bool)find:(int)target matrix:(NSArray *)matrix {
if (matrix == nil || matrix.count == 0) {
return false;
}
NSUInteger rows = matrix.count; // 行数
NSArray *colArray = matrix[0];
NSUInteger cols = colArray.count; // 列数
int r = 0; // 第 r 行
int c = (int)cols - 1; // 第 c 列 从右上角开始
while (r <= rows - 1 && c >= 0) {
if (target == [matrix[r][c] integerValue]) {
NSLog(@"target = %d, row = %d, col = %d",target,r,c);
return true;
} else if (target > [matrix[r][c] integerValue]) {
r++; // 行数+1
} else {
c--; // 列数减1
}
}
return false;
}
测试案例代码
// 4.二维数组中的查找
- (void)twoDimensionArrayFind {
NSArray *targets = @[@16,@6,@30,@20,@15];
for (int i = 0; i < targets.count; i++) {
bool isFind = [TwoDimensionalArrayFind_04 findNumber: [targets vFI:i] numbers:nil];
if (!isFind) {
NSLog(@"target = %d, noFind",[targets vFI:i]);
}
}
}
运行结果

5.替换空格
题目描述
将一个字符串中的空格替换成 "%20"。
Input:
"We Are Happy"
Output:
"We%20Are%20Happy"
解题思路
在字符串尾部填充任意字符,使得字符串的长度等于替换之后的长度。因为一个空格要替换成三个字符(%20),因此当遍历到一个空格时,需要在尾部填充两个任意字符。
令 P1 指向字符串原来的末尾位置,P2 指向字符串现在的末尾位置。P1 和 P2 从后向前遍历,当 P1 遍历到一个空格时,就需要令 P2 指向的位置依次填充 02%(注意是逆序的),否则就填充上 P1 指向字符的值。
从后向前遍是为了在改变 P2 所指向的内容时,不会影响到 P1 遍历原来字符串的内容。
详细代码如下
+ (NSString *)replaceSpace:(NSString *)str {
int p1 = (int)str.length - 1;
NSMutableString *strM = [NSMutableString stringWithString:str];
// 1.将在原来的空格后面再加上2个空格
for (int i = 0; i < p1 + 1; i++) {
NSString *temp = [str substringWithRange:NSMakeRange(i, 1)];
if ([temp isEqualToString:@" "]) {
[strM appendString:@" "];
}
}
// p1 p2依次从后往前遍历
int p2 = (int)strM.length - 1;
while (p1 >= 0 && p2 >= 0) {
NSString *temp = [strM substringWithRange:NSMakeRange(p1--, 1)];
if ([temp isEqualToString:@" "]) { // 发现空格 - 逆序填充02%
[strM replaceCharactersInRange:NSMakeRange(p2--, 1) withString:@"0"];
[strM replaceCharactersInRange:NSMakeRange(p2--, 1) withString:@"2"];
[strM replaceCharactersInRange:NSMakeRange(p2--, 1) withString:@"%"];
} else {
[strM replaceCharactersInRange:NSMakeRange(p2--, 1) withString:temp];
}
}
return strM.copy;
}
测试案例代码
// 5.替换空格
- (void)replaceSpace {
NSString *str = @"We Are Happy";
NSLog(@"oldStr = %@",str);
NSString *newStr = [ReplaceBlank_05 replaceSpace:str];
NSLog(@"newStr = %@",newStr);
}
运行结果

6.从尾到头打印链表
本题使用到
栈,链表节点,链表。项目中已经实现了这些类的定义,详情请看原项目,这里不再过多的阐述。
题目描述
输入链表的第一个节点,从尾到头反过来打印出每个结点的值。

解题思路
6.1 使用栈
详细代码如下
/** 使用栈 */
+ (NSArray *)printListFromTailToHeadByShed:(NSArray *)numbers {
LinkedArray *linkedArray = [[LinkedArray alloc] initLiknedArrayWithNunbers:numbers];
// 第一个节点
ListNode *listNode = [linkedArray getFirstListNode];
return [self getListFromTailToHead:listNode];
}
// 使用栈
+ (NSArray *)getListFromTailToHead:(ListNode *)listNode {
// 创建一个栈
Stack *stack = [[Stack alloc] init];
// 开始从第一个节点依次往后遍历,将数据全部入栈
while (listNode != nil) {
[stack push:listNode.content];
listNode = listNode.next;
}
NSMutableArray *values = [NSMutableArray array];
// 依次将栈出列并存储
while (!stack.isEmpty) {
[values addObject:stack.popObj];
}
return values.copy;
}
测试案例代码
// 1.使用栈
NSArray *arr = [PrintListFromTailToHead_06 printListFromTailToHeadByShed:@[@1,@2,@3]];
NSLog(@"arr = %@",arr);
运行结果

6.2 使用递归
详细代码如下
/** 使用递归 */
+ (NSArray *)printListFromTailToHeadByRecursion:(NSArray *)numbers {
LinkedArray *linkedArray = [[LinkedArray alloc] initLiknedArrayWithNunbers:numbers];
// 第一个节点
ListNode *listNode = [linkedArray getFirstListNode];
NSMutableArray *values = [NSMutableArray array];
if (listNode != nil) {
[values addObjectsFromArray:[self getListFromTailToHead:listNode.next]];
[values addObject:listNode.content];
}
return values;
}
// 使用栈
+ (NSArray *)getListFromTailToHead:(ListNode *)listNode {
// 创建一个栈
Stack *stack = [[Stack alloc] init];
// 开始从第一个节点依次往后遍历,将数据全部入栈
while (listNode != nil) {
[stack push:listNode.content];
listNode = listNode.next;
}
NSMutableArray *values = [NSMutableArray array];
// 依次将栈出列并存储
while (!stack.isEmpty) {
[values addObject:stack.popObj];
}
return values.copy;
}
测试案例代码
// 2.使用递归
NSArray *arr = [PrintListFromTailToHead_06 printListFromTailToHeadByRecursion:@[@1,@2,@3]];
NSLog(@"arr = %@",arr);
运行结果

6.3 使用头插法
解题思路
利用链表头插法为逆序的特点。
头结点和第一个节点的区别:
- 头结点是在头插法中使用的一个额外节点,这个节点不存储值;
- 第一个节点就是链表的第一个真正存储值的节点。
详细代码如下
+ (NSArray *)printListFromTailToHeadByInsert:(NSArray *)numbers {
LinkedArray *linkedArray = [[LinkedArray alloc] initLiknedArrayWithNunbers:numbers];
// 第一个节点
ListNode *listNode = [linkedArray getFirstListNode];
// 头插法构建逆序链表
ListNode *head = [[ListNode alloc] init];
while (listNode != nil) {
ListNode *memo = listNode.next;
listNode.next = head.next;
head.next = listNode;
listNode = memo;
}
// 构建 ArrayList
NSMutableArray *values = [NSMutableArray array];
head = head.next;
while (head != nil) {
[values addObject:head.content];
head = head.next;
}
return values;
}
测试案例代码
// 3.使用头表插入法
NSArray *arr = [PrintListFromTailToHead_06 printListFromTailToHeadByInsert:@[@1,@2,@3]];
NSLog(@"arr = %@",arr);
运行结果

6.4 使用 Collections.reverse()
详细代码如下
/** 使用Collection reverse*/
+ (NSArray *)printListFromTailToHeadByReverse:(NSArray *)numbers {
LinkedArray *linkedArray = [[LinkedArray alloc] initLiknedArrayWithNunbers:numbers];
// 第一个节点
ListNode *listNode = [linkedArray getFirstListNode];
// 构建 ArrayList
NSMutableArray *values = [NSMutableArray array];
while (listNode != nil) {
[values addObject:listNode.content];
listNode = listNode.next;
}
NSArray *newArr = [[values reverseObjectEnumerator] allObjects];
return newArr;
}
测试案例代码
// 4.使用reverse 反序
NSArray *arr = [PrintListFromTailToHead_06 printListFromTailToHeadByReverse:@[@1,@2,@3]];
NSLog(@"arr = %@",arr);
运行结果

7重建二叉树
题目描述
根据二叉树的前序遍历和中序遍历的结果,重建出该二叉树。假设输入的前序遍历和中序遍历的结果中都不含重复的数字。
preorder = [3,9,20,15,7]
inorder = [9,3,15,20,7]

解题思路
前序遍历的第一个值为根节点的值,使用这个值将中序遍历结果分成两部分,左部分为树的左子树中序遍历结果,右部分为树的右子树中序遍历的结果。
详细代码如下
+ (BinaryTreeNode *)reConstructBinaryTree:(NSArray *)preorders inorders:(NSArray *)inorders {
// 初始化哈希表
HashMap *indexForInOrders = [[HashMap alloc] init];
for (int i = 0; i < inorders.count; i++) {
[indexForInOrders put:[inorders[i] intValue] index:i];
}
return [self reConstructBinaryTreeWithOrders:indexForInOrders preorders:preorders preL:0 preR:(int)preorders.count - 1 inL:0];
}
+ (BinaryTreeNode *)reConstructBinaryTreeWithOrders:(HashMap *)indexForInOrders preorders:(NSArray *)preorders preL:(int)preL preR:(int)preR inL:(int)inL {
if (preL > preR) {
return nil;
}
// 取左边二叉树的值构成一个新的节点
BinaryTreeNode *root = [BinaryTreeNode binaryTreeNodeWithValue:[preorders[preL] integerValue]];
int inIndex = [indexForInOrders get:(int)root.value];
int leftTreeSize = inIndex - inL;
root.leftNode = [self reConstructBinaryTreeWithOrders:indexForInOrders preorders:preorders preL:preL + 1 preR:preL + leftTreeSize inL:inL];
root.rightNode = [self reConstructBinaryTreeWithOrders:indexForInOrders preorders:preorders preL:preL + leftTreeSize + 1 preR:preR inL:inL + leftTreeSize + 1];
return root;
}
测试案例代码
// 7.重建二叉树
- (void)reConstructBinaryTree {
NSArray *preorders = @[@3,@9,@20,@15,@7];
NSArray *inorders = @[@9,@3,@15,@20,@7];
BinaryTreeNode *treeNode = [ReConstructBinaryTree_07 reConstructBinaryTree:preorders inorders:inorders];
NSLog(@"treeNode = %@",treeNode);
}
运行结果

8. 二叉树的下一个结点
题目描述
给定一个二叉树和其中的一个结点,请找出中序遍历顺序的下一个结点并且返回。注意,树中的结点不仅包含左右子结点,同时包含指向父结点的指针。
解题思路
- 如果一个节点的右子树不为空,那么该节点的下一个节点是右子树的最左节点;

- 否则,向上找第一个左链接指向的树包含该节点的祖先节点。

详细代码如下
测试案例代码
运行结果
9.用两个栈实现队列
题目描述
用两个栈来实现一个队列,完成队列的 Push 和 Pop 操作。
解题思路
in 栈用来处理入栈(push)操作,out 栈用来处理出栈(pop)操作。一个元素进入 in 栈之后,出栈的顺序被反转。当元素要出栈时,需要先进入 out 栈,此时元素出栈顺序再一次被反转,因此出栈顺序就和最开始入栈顺序是相同的,先进入的元素先退出,这就是队列的顺序。

详细代码如下
+ (NSNumber *)twoStackToQueue:(NSArray *)numbers {
Stack *inStack = [[Stack alloc] init];
Stack *outStack = [[Stack alloc] init];
// 先将所有元素入栈
for (NSNumber *number in numbers) {
[inStack push:number];
}
if (outStack.isEmpty) {
while (!inStack.isEmpty) {
[outStack push:inStack.popObj];
}
}
if (outStack.isEmpty) {
NSLog(@"queue is empty");
}
return outStack.popObj;
}
测试案例代码
// 9.用两个栈实现队列
- (void)twoStackToQueue {
NSArray *numbers = @[@1,@2,@3,@4];
NSNumber *lastNumber = [TwoStackQueue twoStackToQueue:numbers];
NSLog(@"lastNumber = %@",lastNumber);
}
运行结果

10.1 斐波那契数列
题目描述
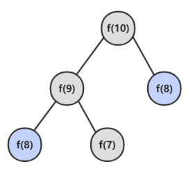
求斐波那契数列的第 n 项,n <= 39。

如果使用递归求解,会重复计算一些子问题。例如,计算 f(10) 需要计算 f(9) 和 f(8),计算 f(9) 需要计算 f(8) 和 f(7),可以看到 f(8) 被重复计算了。

解题思路
考虑到第 i 项只与第 i-1 和第 i-2 项有关,因此只需要存储前两项的值就能求解第 i 项,从而将空间复杂度由 O(N) 降低为 O(1)。
详细代码如下
+ (int)Fibonacci:(int)number {
if (number <= 1) {
return number;
}
int pre2 = 0, pre1 = 1, fib = 0;
for (int i = 2; i < number + 1; i++) {
fib = pre1 + pre2;
pre2 = pre1;
pre1 = fib;
}
return fib;
}
测试案例代码
// 10.1 斐波那契数列
- (void)fibonacci {
for (int i = 0; i < 20; i++) {
NSLog(@"i = %d, total = %d",i,[Fibonacci Fibonacci:i]);
}
}
运行结果

10.2 跳台阶
题目描述
一只青蛙一次可以跳上 1 级台阶,也可以跳上 2 级。求该青蛙跳上一个 n 级的台阶总共有多少种跳法。
解题思路
参考上一题思路
详细代码如下
+ (int)jumpFloor:(int)number {
if (number <= 2) {
return number;
}
int pre1 = 2, pre2 = 1;
int result = 1;
for (int i = 2; i < number; i++) {
result = pre2 + pre1;
pre2 = pre1;
pre1 = result;
}
return result;
}
测试案例代码
// 10.2 跳台阶
- (void)jumpFloor {
for (int i = 0; i < 10; i++) {
NSLog(@"i = %d, total = %d",i,[Fibonacci jumpFloor:i]);
}
}
运行结果

10.3 变态跳台阶
题目描述
一只青蛙一次可以跳上 1 级台阶,也可以跳上 2 级... 它也可以跳上 n 级。求该青蛙跳上一个 n 级的台阶总共有多少种跳法。
解题思路
参考10.1实现思路
详细代码如下
+ (int)jumpFloor2:(int)number {
if (number <= 0) {
return 0;
}
// 1.构建数组
NSMutableArray *arrM = [NSMutableArray array];
for (int i = 0; i < number; i++) {
[arrM addObject:[NSNumber numberWithInt:1]];
}
// 2.
for (int i = 1; i < number; i++) {
for (int j = 0; j < i; j++) {
arrM[i] = [NSNumber numberWithInt:[arrM[i] intValue] + [arrM[j] intValue]];
}
}
return [arrM[number - 1] intValue];
}
测试案例代码
// 10.3 变态跳台阶
- (void)jumpFloorII {
for (int i = 0; i < 10; i++) {
NSLog(@"i = %d, total = %d",i,[Fibonacci jumpFloor2:i]);
}
}
运行结果

10.4 矩形覆盖
题目描述
我们可以用 21 的小矩形横着或者竖着去覆盖更大的矩形。请问用 n 个 21 的小矩形无重叠地覆盖一个 2*n 的大矩形,总共有多少种方法?
解题思路
参考10.1实现思路
详细代码如下
+ (int)rectCover:(int)number {
if (number <= 2) {
return number;
}
int pre1 = 2, pre2 = 1;
int result = 0;
for (int i = 3; i < number + 1; i++) {
result = pre2 + pre1;
pre2 = pre1;
pre1 = result;
}
return result;
}
测试案例代码
// 10.4 矩形覆盖
- (void)rectCover {
for (int i = 0; i < 10; i++) {
NSLog(@"i = %d, total = %d",i,[Fibonacci rectCover:i]);
}
}
运行结果

本文参考CS_Nodes 剑指 offer 题解.md 非常感谢该作者
相关知识点文章参考链接地址
- 更多OC算法详解文章请持续关注作者,本人会在接下来的时间陆续整理。
如有错误,欢迎指正,多多点赞,打赏更佳,您的支持是我写作的动力。