从零开始一起学习SLAM | 不推公式,如何真正理解对极约束?

207 阅读8分钟
原文链接: click.aliyun.com

34bfc91f513d6dad0b54f69c4b2a81e5cd481df4

自从小白向师兄学习了李群李代数和相机成像模型的基本原理后,感觉书上的内容没那么难了,公式推导也能推得动了,感觉进步神速,不过最近小白在学习对极几何,貌似又遇到了麻烦。。。

小白:师兄,对极几何这块你觉得重要吗?

师兄:当然重要啦,这个是多视角立体视觉的核心啊

小白:那师兄一定得帮帮我讲清楚啊,最近在看书上这部分内容,感觉很难理解呢!

师兄:哪里不理解?书上公式推导的挺详细了都

小白:这么说吧,公式推导我也能大概看懂,但总觉得不知道为啥这么推导,这样推导的物理意义是什么?

师兄:哦哦,明白啦,就是不能转化为直观的理解方式吧

小白:是的,只能被动接受推导结果,但不能理解背后的原理,这种感觉好差。。

师兄:嗯,那我想想,怎么给你讲。。。说实话,你这个问题挺有意义的

小白:太好啦!开讲吧师兄,小板凳我都搬好啦,瓜子花生都准备好啦

对极几何基本概念

师兄:好。那我就从几何意义的角度来推导一下对极几何中的对极约束吧。先看下面这个图,很熟悉吧,对极约束中很常见的图。它表示的是一个运动的相机在两个不同位置的成像,其中:

左右两个平行四边形分别是相机在不同位置的成像平面

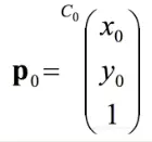
C0, C1分别是两个位置中相机的光心,也就是针孔相机模型中的针孔

P是空间中的一个三维点,p0, p1分别是P点在不同成像平面上对应的像素点

623e2e4c5839e74af0d03e1291bedbd0ac79e1bc

小白:嗯,这个图见到很多次了,不过一直理解的不透彻

师兄:你看上面左侧的图,如果将点P沿着C0-p0所在的直线移动,你会发现P在左边相机的成像一直不变,都是p0,这时候P在右边相机的成像点p1是一直在变化的

小白:对,好像是沿着右边那条红色的线滑动

师兄:嗯,你看C0-C1-P-p0-p1他们都是在同一个平面上的,你可以想象C0-C1-P组成的平面是一个三角尺,它所在的平面称之为极平面(epipolar plane),它像一把锋利的刀,切割了左右两个成像平面

小白:哇塞,这样感觉直观多了

师兄:嗯,其中和成像平面相交的直线称之为极线(epipolar line),两个光心C0, C1和成像平面的交点叫做极点(epipole)。

小白:师兄,好多新的术语啊,都要记吗?

师兄:不用死记,知道是哪个就行了。我们重点来说说极平面,你看下面这个图,C0-C1-P-p0-p1他们是不是都是在极平面上?

b4035250c75d43ec04176956a5b3c9d4242ca0f4

小白:嗯,是的,它们都是共面的。

不推公式,如何理解对极约束?

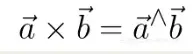
师兄:还记得我们在《从零开始一起学习SLAM | 为什么要用齐次坐标?》里讲的叉乘的定义吗?两个向量的叉乘结果是一个同时垂直于这两个向量的向量。

小白:记得呢,叉乘只在三维空间中有定义,比如两个向量 a和b 的叉乘写作 a x b,它是与向量 a, b都垂直的向量,其方向通过右手定则决定。

师兄:对,除了叉乘,还有点乘,a点乘b的定义是

a * b = ||a||* ||b|| *cos(θ)

因此如果两个互相垂直的向量点乘,cos(θ) = 0,点乘结果也为0。

小白:师兄,这些我都记得呢!可是怎么突然说这个呢,和对极几何有什么关系吗?

师兄:当然有关系!刚刚你说了点乘和叉乘的特点,现在我们把极平面中C0-C1-p0-p1单拎出来,看下面的图

1f94b7f8c776ee9c5c5908e921e87bddff74bbc1

我们能够得到下面的 结论1:

711c4329045b3265877606e3146b44f697ef90d1

你自己说说为什么这个等式成立?

小白:我看看哈,额,根据叉乘的定义

e0112ce436ef2ff2d73f6c441fbd7bfda10d0a00

的结果是一个同时垂直于它们的向量,也就是说垂直于C0-C1-p0-p1组成的极平面,因此这个叉乘的结果再点乘

c5ef0410ec7d546bb9eea34e493849c86872b5e2

结果就是0了。是吧,师兄?

师兄:完全正确,用到的都是我们前面刚刚讲过的基础知识~

小白:可是,师兄,叉乘不是仅在三维空间中有定义吗?我们这里的p0, p1都是图像上的二维点啊

师兄:这个问题问的好!确实如你所说,p0, p1都是图像上的二维点,不过,这里我们会把它变成三维的方向向量来考虑

小白:啥是方向向量啊?

师兄:就是我们只考虑它的方向,而不考虑它的起点或终点的向量。我们假设一个归一化的图像平面,该平面上焦距f =1 ,因此我们可以定义在以C0为原点的坐标系下

b232a653057af7dd61a8555b5d51364db293b68b

而在以C1为原点的坐标系下

b81ce883dee27caa69c37fa7711077fc69ce423e

小白:这样定义可以吗?

师兄:可以的,事实上,你在C0-C1-p0-p1组成的极平面上,保证

7aa5d4ffc2a582781a52f399e69eb35c37c350df

的方向不变,在极平面上随便移动,结论1中等式都成立。同样的道理,在极平面上,保证

0f7497643e927af7f3b9d10493fa76123fee2f12

方向不变,在极平面上随便移动,结论1中等式仍然都成立。

小白:确实是这样,师兄,下一步怎么办?好像p0, p1不在同一个参考坐标系里?

师兄:是的,前面说过,p0在以C0为原点的参考坐标系,p1在以C1为原点的参考坐标系,所以我们还是需要转换坐标系。这里我们把所有点的坐标都转换到以C0为原点的坐标系。前面说过这些向量都是方向向量和向量起始位置无关,所以这里坐标系变换只考虑旋转就可以。我们记 R 为从C1坐标系到C0坐标系的旋转矩阵

小白:那么 Rp1 就是p1 在以C0为原点的C0坐标系了

师兄:对的~现在再看看结论1

5d55135c562c77b29bb2d658db8e20c464a3ef60

最左边向量C0-p0就可以用p0表示,向量C0-C1就是光心C1相对于C0的平移,我们记为t, 向量C1-p1根据前面的讨论,可以用 Rp1 来表示,那么结论1可以表示为以下的结论2:

53cd8cd4e9e2f4a0432b2b64fe85fdec55008401

这个式子是根据对极几何得到的,我们称之为对极约束。

小白:哇塞,师兄,原来对极约束也可以这样得到啊!我现在能完全理解啦!

如何得到极线方程?

师兄:对,这就是对极约束最直观的解释,一般把中间的部分拿出来,像下面这样,记为本质矩阵或本征矩阵(Essential Matrix)。

722a115f2402aff452c2f1210e624f374ccca41d

然后我们就得到了如下的结论3:

f6d6db37316887721aaee57ec9bfb697fc0d3fa6

小白:厉害了师兄,这下彻底明白啦,不过之前提到的极线什么的好像也没说怎么求啊?

师兄:其实根据上面结论3就可以求出极线方程啦!

小白:啊,怎么求极线方程?

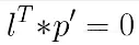
师兄:还记得我们在《从零开始一起学习SLAM | 为什么要用齐次坐标?》里讲过的

点p在直线l上的充分必要条件就是 直线l 的系数与p的齐次坐标p'的内积为0

f8d27bf23c54e847664d679433b7ab807b39c246

小白:记得呢!那节课的习题我都认真做了,所以印象深刻!

师兄:不错!那结论3我们就可以把E*p1看做是直线的方程,p0看做是直线上的点,也就是说E*p1就是以C0为原点坐标系中的极线了。如下图中红色线条所示,就是极线啦,它的方程是E*p1。

21c86ec95a8175ce8d34ae9a0404f9583c74e4c6

小白:原来如此,看来以前的基础很重要啊!哪里都能用上。谢谢师兄,今天没有推导公式,我竟然能够得到极线约束的式子,太神奇了,而且印象很深刻!

师兄:嗯,相信以后你肯定不会忘记啦!

小白:师兄,我们去吃大餐庆祝一下吧!

师兄:走起~

师兄:等下,今天的作业还没留呢!

小白:(我晕,师兄记性真好。。)

作业

作业1:

证明:对三维列向量下面等式恒成立。其中等式左边 X 表示叉乘,等式右边上三角符号表示反对称矩阵。

9e07869fb0def523f62bf122c6c04c5d276c00d3

作业2:

题目:现有一个运动着的相机拍摄的连续两张图片,其中特征点匹配部分已经完成。请根据两帧图像对应的匹配点计算基础矩阵,并利用该矩阵绘制出前10个特征点对应的极线。

参考结果是这样的:

4f101fff01546e1673c7d1db529f812c3098f56c


原文发布时间为:2018-11-6

本文作者:electech6

本文来自云栖社区合作伙伴“计算机视觉life”,了解相关信息可以关注“ 计算机视觉life”。