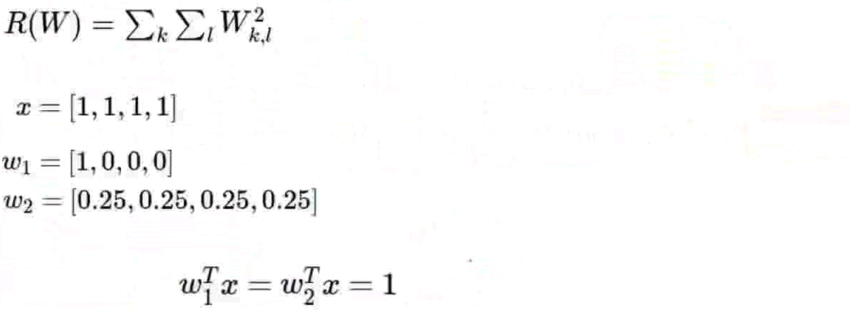
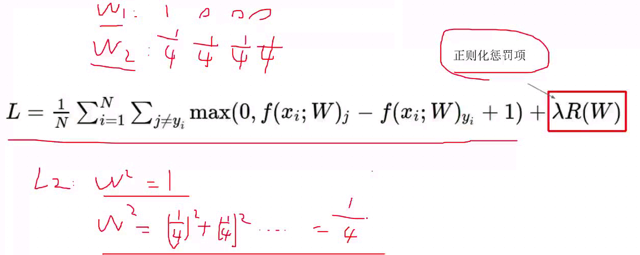
(深度学习)损失函数随记 wakacaca 2018-10-30 274 阅读1分钟 SVM损失函数: Li中的+1表示的是容忍程度。可以把+1变成+Δ,Δ可以是1也可以是10。 max的值表示只有比0大我们才认为有这样一个损失。如果比0小我们就认为他是没有损失的。 说明:如果预测的结果点落在绿色区域,这个点与蓝色区域的差值就会大于delta,那么此时的损失值是比较大的。在红色区间上的比较预测结果还行,但不是特别好。score值越高离错误分离的值就越远,损失值就越小。 说明:1/n表示去除样本个数对最终结果的影响,因为式子中有求和操作,而损失与样本个数是没有关系的。 w1和w2分别代表2个模型,看选那个模型好,两个模型的计算结果虽然一样,但是w1模型只关注一个像素点。w2模型关注的是整体(每个像素),分别均匀 可以防止过拟合。为了防止w1这种模型,我们可以加正则化惩罚项。 L2正则化 最终的损失函数