2018年10月26日
本文主要做一些链表的常见题目,题目从LeetCode上摘取,通过练习加深对链表的掌握和理解。
定义链表的节点类:
class ListNode {
int val;
ListNode next;
ListNode(int x) {
val = x;
}
}
1,反转链表
题选自LeetCode206题:
反转一个单链表。
示例:
输入: 1->2->3->4->5->NULL
输出: 5->4->3->2->1->NULL
头插法
public static ListNode reverseList(ListNode head) {
ListNode prev = null;
ListNode curr = head;
while (curr != null) {
ListNode nextTemp = curr.next;
curr.next = prev;
prev = curr;
curr = nextTemp;
}
return prev;
}
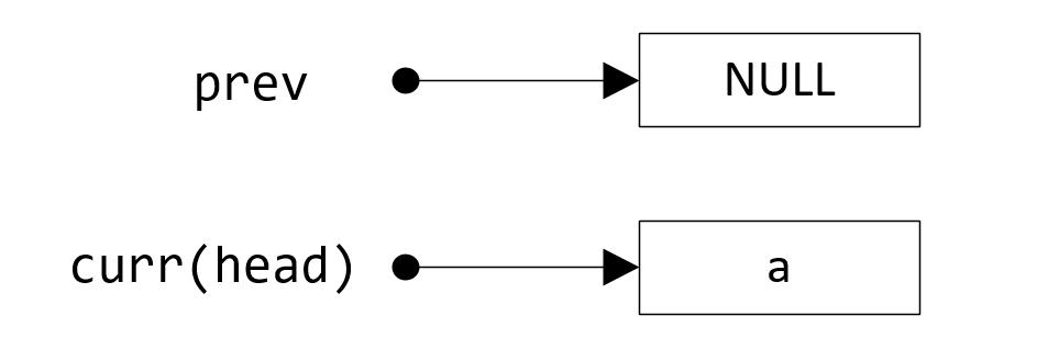
假设反转如下链表:

curr与prev为:


第二次循环时,curr与prev为:


第三次循环时,curr与prev为:


三次循环后,可以看到把链表反转了,其时间复杂度为 ,空间复杂度为
。
递归
public static ListNode reverseList1(ListNode head) {
if (head == null || head.next == null) {
return head;
}
//head是p的前一个节点
ListNode p = reverseList1(head.next);
//相当于p.next=head
head.next.next = head;
//使p的尾节点为null
head.next = null;
return p;
}
其栈的递归调用过程如下:

2,检测链表中是否有环
题选自LeetCode141题:
给定一个链表,判断链表中是否有环。
如下链表就是有环:

使用HashSet
public boolean hasCycle(ListNode head) {
Set<ListNode> nodesSeen = new HashSet<>();
while (head != null) {
if (nodesSeen.contains(head)) {
return true;
} else {
nodesSeen.add(head);
}
head = head.next;
}
return false;
}
利用Set中不能有相同元素这一特性,在往nodesSeen集合中添加元素时,一旦有相同元素就返回true,表示有环,若没有环,那么遇到null节点时,会结束循环,并返回false,表示没有环。
使用快慢指针
public boolean hasCycle(ListNode head) {
if (head == null || head.next == null) {
return false;
}
ListNode slow = head;
ListNode fast = head.next;
while (slow != fast) {
if (fast == null || fast.next == null) {
return false;
}
slow = slow.next;
fast = fast.next.next;
}
return true;
}
试想这么一个场景,甲乙两人绕着标准操场(400m类似椭圆形)跑步,甲的速度比乙快,因为操场时有环的,那么在某一时刻,甲肯定会追上乙,与乙相遇;其中slow表示慢的指针,每次只走一步,而fast表示快的指针,每次走两步,一旦slow与fast相等,即它们都指向同一个元素,终止循环,并返回true,表示有环;若fast(偶数情况)或fast.next(奇数情况)指向null,表示这个链表没有环,返回false。
3,合并两个有序链表
题选自LeetCode21题:
将两个有序链表合并为一个新的有序链表并返回。新链表是通过拼接给定的两个链表的所有节点组成的。
示例:
输入:1->2->4, 1->3->4
输出:1->1->2->3->4->4
public ListNode mergeTwoLists(ListNode l1, ListNode l2) {
if (l1 == null) {
return l2;
}
if (l2 == null) {
return l1;
}
ListNode listNode = new ListNode(0);
ListNode curr = listNode;
while (l1 != null && l2 != null) {
if (l1.val < l2.val) {
curr.next = l1;
l1 = l1.next;
} else {
curr.next = l2;
l2 = l2.next;
}
curr = curr.next;
}
if (l1 != null) {
curr.next = l1;
}
if (l2 != null) {
curr.next = l2;
}
return listNode.next;
}
递归
public ListNode mergeTwoLists(ListNode l1, ListNode l2) {
if (l1 == null) {
return l2;
}
if (l2 == null) {
return l1;
}
if (l1.val < l2.val) {
l1.next = mergeTwoLists(l1.next, l2);
return l1;
} else {
l2.next = mergeTwoLists(l1, l2.next);
return l2;
}
}
以l1 = 1 -> 2,l2 = 1 -> 3为例,其栈递归调用图如下:

4,删除链表的倒数第 n 个节点
题选自LeetCode19题:
给定一个链表,删除链表的倒数第 n 个节点,并且返回链表的头结点。
示例:
给定一个链表: 1->2->3->4->5, 和 n = 2.
当删除了倒数第二个节点后,链表变为 1->2->3->5.
解法1
public ListNode removeNthFromEnd(ListNode head, int n) {
ListNode dummy = new ListNode(0);
dummy.next = head;
int length = 0;
ListNode first = head;
while (first != null) {
length++;
first = first.next;
}
length -= n;
first = dummy;
while (length > 0) {
length--;
first = first.next;
}
first.next = first.next.next;
return dummy.next;
}
假设链表的长度为L,那么删除倒数第n个节点,即删除整数第L-n+1个节点,那么就需要获得其前一个节点,即第L-n个节点
解法2
public ListNode removeNthFromEnd(ListNode head, int n) {
ListNode dummy = new ListNode(0);
dummy.next = head;
ListNode first = dummy;
ListNode second = dummy;
for (int i = 1; i <= n + 1; i++) {
first = first.next;
}
while (first != null) {
first = first.next;
second = second.next;
}
second.next = second.next.next;
return dummy.next;
}
使用双指针,first在前面跑,因为要铲除倒数第n个节点,那么就要获取到倒数第n+1个节点,所以使first与second的距离保持为n+1:

5,链表的中间结点
题选自LeetCode876题:
给定一个带有头结点 head 的非空单链表,返回链表的中间结点。
如果有两个中间结点,则返回第二个中间结点。
示例 1:
输入:[1,2,3,4,5]
输出:此列表中的结点 3 (序列化形式:[3,4,5])
返回的结点值为 3 。 (测评系统对该结点序列化表述是 [3,4,5])。
注意,我们返回了一个 ListNode 类型的对象 ans,这样:
ans.val = 3, ans.next.val = 4, ans.next.next.val = 5, 以及 ans.next.next.next = NULL.
示例 2:
输入:[1,2,3,4,5,6]
输出:此列表中的结点 4 (序列化形式:[4,5,6])
由于该列表有两个中间结点,值分别为 3 和 4,我们返回第二个结点。
使用数组
public ListNode middleNode(ListNode head) {
ListNode[] A = new ListNode[100];
int t = 0;
while (head.next != null) {
A[t++] = head;
head = head.next;
}
return A[t / 2];
}
使用快慢指针
public ListNode middleNode(ListNode head) {
ListNode slow = head, fast = head;
while (fast != null && fast.next != null) {
slow = slow.next;
fast = fast.next.next;
}
return slow;
}
6,LRU缓存机制
题选自LeetCode146题
运用你所掌握的数据结构,设计和实现一个 LRU (最近最少使用) 缓存机制。它应该支持以下操作:
获取数据 get 和 写入数据 put 。
获取数据 get(key) - 如果密钥 (key) 存在于缓存中,则获取密钥的值(总是正数),否则返回 -1。
写入数据 put(key, value) - 如果密钥不存在,则写入其数据值。当缓存容量达到上限时,它应该在写入新数据之前删除最近最少使用的数据值,从而为新的数据值留出空间。
进阶:
你是否可以在 O(1) 时间复杂度内完成这两种操作?
示例:
LRUCache cache = new LRUCache( 2 /* 缓存容量 */ );
cache.put(1, 1);
cache.put(2, 2);
cache.get(1); // 返回 1
cache.put(3, 3); // 该操作会使得密钥 2 作废
cache.get(2); // 返回 -1 (未找到)
cache.put(4, 4); // 该操作会使得密钥 1 作废
cache.get(1); // 返回 -1 (未找到)
cache.get(3); // 返回 3
cache.get(4); // 返回 4
的解法
public class LRUCache {
private int capacity;
private HashMap<Integer, Integer> cacheData;
private ArrayDeque<Integer> deque;
public LRUCache(int capacity) {
this.capacity = capacity;
cacheData = new HashMap<Integer, Integer>();
deque = new ArrayDeque<>();
}
public int get(int key) {
if (cacheData.containsKey(key)) {
deque.remove(key);
deque.add(key);
return cacheData.get(key);
}
return -1;
}
public void put(int key, int value) {
if (cacheData.containsKey(key)) {
deque.remove(key);
}
if (deque.size() == capacity) {
cacheData.remove(deque.pollFirst());
}
cacheData.put(key, value);
deque.add(key);
}
}
因为ArrayDeque中的remove的时间复杂度为,因此总的时间复杂度为
。
解法
public class LRUCacheByList {
private int size;
private int capacity;
private HashMap<Integer, Node> cacheData;
private Node head;
private Node tail;
public LRUCacheByList(int capacity) {
this.capacity = capacity;
cacheData = new HashMap<>();
head = new Node(0, 0);
tail = new Node(0, 0);
head.next = tail;
tail.prev = head;
}
public int get(int key) {
if (cacheData.containsKey(key)) {
Node node = cacheData.get(key);
remove(node);
addLast(node);
return node.val;
}
return -1;
}
public void put(int key, int value) {
if (cacheData.containsKey(key)) {
Node node = cacheData.get(key);
node.val = value;
remove(node);
addLast(node);
return;
}
Node node = new Node(key, value);
addLast(node);
cacheData.put(key, node);
size++;
if (size > capacity) {
cacheData.remove(removeFirst());
size--;
}
}
private void addLast(Node node) {
node.prev = tail.prev;
node.next = tail;
tail.prev.next = node;
tail.prev = node;
}
private int removeFirst() {
Node next = head.next;
Node nextNext = next.next;
next.prev = null;
next.next = null;
nextNext.prev = head;
head.next = nextNext;
return next.key;
}
private void remove(Node node) {
Node prev = node.prev;
Node next = node.next;
node.prev = null;
node.next = null;
prev.next = next;
next.prev = prev;
}
private class Node {
int key;
int val;
Node next;
Node prev;
Node(int key, int val) {
this.key = key;
this.val = val;
}
}
}
上面两种解法思路都是将数据存在HashMap中,使用一个双链表表示数据的“冷热”程度,最新添加的数据从链表尾部插入,最近访问的数据线将其从链表中删除,在将其从链表尾部插入;当空间满了,就删除链表头部的数据;越靠近链表表头,数据越“冷”,越靠近链表尾部,数据越“热”。
上面两种解法都是使用了HashMap与双链表来实现,唯一的区别就是的解法使用JAVA库中的
ArrayDeque来实现双链表;而解法中自己实现双链表,将节点作为
HashMap中的值,当要删除链表中某个节点,通过HashMap取出这个节点,直接更改prev与next即可删除,所以其时间复杂度为。使用库中的数据结构时,无论是
ArrayDeque还是LinkedList,其节点信息都封装在其类里面,无法获取,因此要删除某个节点,只能从头开始遍历,找出与要删除的节点值相同的节点,然后在将其删除,因此其时间复杂度为。
下面将以图解形式分析LRU缓存机制,当执行完以下代码时:
LRUCache cache = new LRUCache( 2 );
cache.put(1, 1);
cache.put(2, 2);
HashMap与链表中的结构如下:

执行:
cache.get(1); // 返回 1
此时HashMap中没有改动,链表改动如下:

执行:
cache.put(3, 3); // 该操作会使得密钥 2 作废
此时HashMap与链表改动如下:

执行:
cache.get(2); // 返回 -1 (未找到)
此时HashMap与链表均没有改动。
执行:
cache.put(4, 4); // 该操作会使得密钥 1 作废
此时HashMap与链表改动如下:

执行:
cache.get(1); // 返回 -1 (未找到)
此时HashMap与链表均没有改动。
执行:
cache.get(3); // 返回 3
此时HashMap中没有改动,链表改动如下:

执行:
cache.get(4); // 返回 4
此时HashMap中没有改动,链表改动如下:
