概述

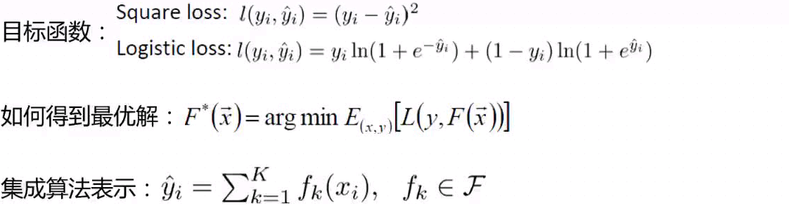
集成算法
既可以做分类也可以做回归

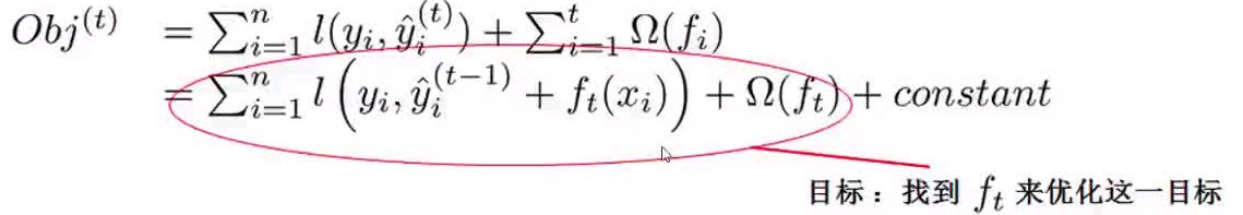
怎样构造后续的树来弥补前一棵树的残差,使得整体的表达效果好呢?
我们选择这个决策树,在构造过程当中,每切分一个节点,就要看这么切分之后,他的表达效果好不好。当然我要看的绝对不是当前这棵树它的表达效果好不好,而是要看与前面的树组合起来整体的表达效果好不好。
如何集成



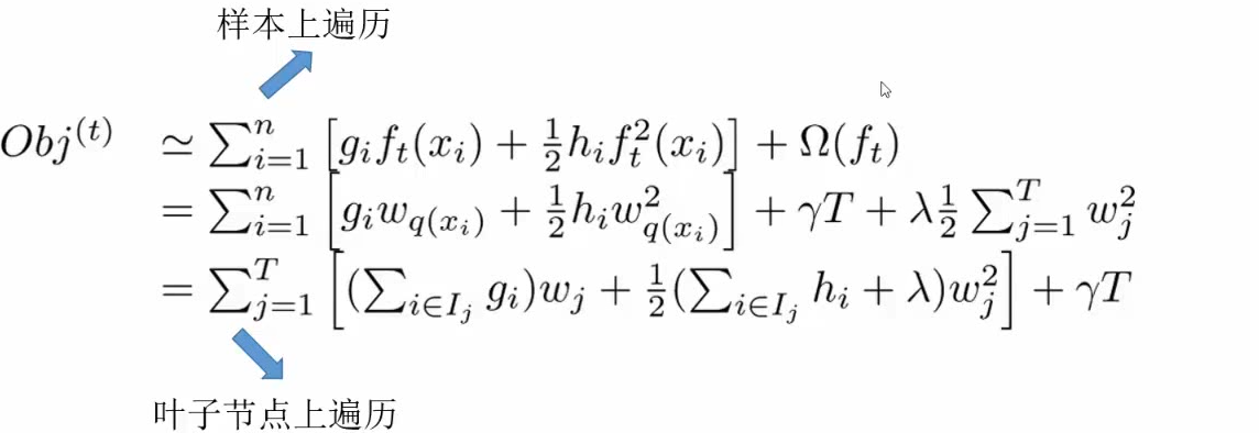
树模型结构


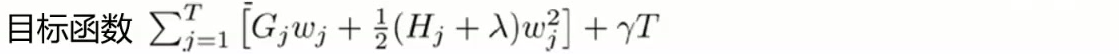
目标函数



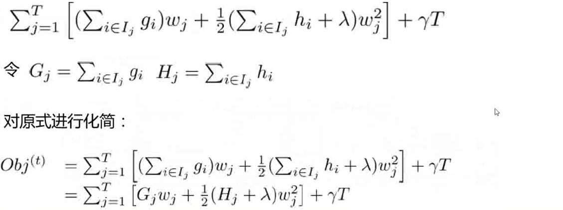
将在样本上遍历转换成在叶子节点上遍历




决策树是用信息增益来构造模型的!!



既可以做分类也可以做回归

我们选择这个决策树,在构造过程当中,每切分一个节点,就要看这么切分之后,他的表达效果好不好。当然我要看的绝对不是当前这棵树它的表达效果好不好,而是要看与前面的树组合起来整体的表达效果好不好。













