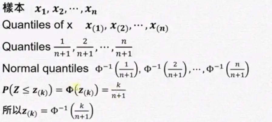
残差分析 wakacaca 2018-10-19 1,795 阅读1分钟 www.youtube.com/watch?v=dh6… 残差分析 简单线性回归的模式与假设 需要检查下面假设 残差图(Residual plot) 第二个图刚开始很小,后来上下变动越来越大,所以它的残差变异数在递增,违反了均值性(异质性)。 第三个图刚开始残差是负的,然后变成正的,再后来变成负的。 检查常态性 常态性是一个对称的,左偏或右偏都不满足常态性。 盒子图中如果平均数小于中位数是左偏。 Normal Q-Q plot常态几率图 第一图曲线开口向上,第二图曲线开口向下。长尾巴分配就是T字型。 残差的Normal Q-Q plot常态几率图 ##范例: 残差的quantile就是将残差从小到大排好。 常态的quantile是根据几率(quantile)去查它的值。 极端值与有影响力的观察值 极端值的确认