平稳性

严平稳性与弱平稳性

差分法:时间序列在t与t-1时刻的差值

自回归模型(AR)

自回归模型的限制

移动平均模型(MA)

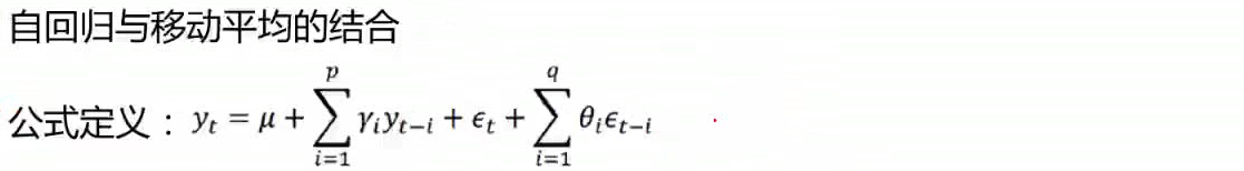
自回归移动平均模型(ARMA)

ARIMA(p,d,q)模型全称为差分自回归移动平均模型(Autoregressive Integrated Moving Average Model)

自相关函数ACF(autocorrelation function)

偏自相关函数(PACF, partial autocorrelation function)

ARIMA(p,d,q)阶数确定:


ARIMA建模流程

模型选择AIC与BIC:选择更简单的模型

模型残差检测

什么是平稳?
平稳就是围绕着一个常数上下波动。 看看下面这个图,很明显的增长趋势,不平稳。

自相关系数和偏相关系数
用eviews得到自相关和偏相关图,Q统计量和伴随概率。

平稳序列的自相关图和偏相关图不是拖尾就是截尾。截尾就是在某阶之后,系数都为 0 ,怎么理解呢,看上面偏相关的图,当阶数为 1 的时候,系数值还是很大, 0.914. 二阶长的时候突然就变成了 0.050. 后面的值都很小,认为是趋于 0 ,这种状况就是截尾。再就是拖尾,拖尾就是有一个衰减的趋势,但是不都为 0 。
自相关图既不是拖尾也不是截尾。以上的图的自相关是一个三角对称的形式,这种趋势是单调趋势的典型图形。
如果自相关是拖尾,偏相关截尾,则用 AR 算法
如果自相关截尾,偏相关拖尾,则用 MA 算法
如果自相关和偏相关都是拖尾,则用 ARMA 算法, ARIMA 是 ARMA 算法的扩展版,用法类似 。
不平稳的情况用差分
差分是数学中的一个概念。它将原函数 f(x) 映射到 f(x+a)-f(x+b)。
zh.wikipedia.org/wiki/差分
上面那个序列,两种方法都证明他是不靠谱的,不平稳的。确定不平稳后,依次进行1阶、2阶、3阶...差分,直到平稳位置。先来个一阶差分。

什么是移动平均?
support.minitab.com/zh-cn/minit…
移动平均值是根据人为划分的连续观测值子组计算的平均值。在绘制控制图时,可以为时间加权数据创建移动平均控制图。在时间序列分析中,Minitab 使用移动平均值来平滑数据并减少时间序列中的随机波动。
例如,一家办公产品供应公司每天都要监控库存水平。他们想使用长度为 2 的移动平均值来跟踪库存水平以平滑处理数据。他们针对其中一款产品收集 8 天的数据。

应当使用哪个移动平均长度值?
对于非季节性时间序列,通常使用短移动平均使序列平滑,但您选择的长度可能依赖于序列中的噪音量。较长的移动平均过滤掉更多噪声,但对序列中的变化也不太敏感。对于季节性序列,通常使用与周期长度相同的移动平均长度。例如,可为年度循环的月度数据选择移动平均长度 12。
单指数平滑
要在您的时间序列不呈现某种趋势或季节性模式时使用可为更旧的观测值提供递减权重的方法来平滑处理您的序列。
双指数平滑
要在您的时间序列呈现某种趋势但不呈现季节性模式时使用可为更旧的观测值提供递减权重的方法来平滑处理您的序列。
Winters 方法
要在您的时间序列呈现某种季节性模式(带有或不带有趋势)时使用可为更旧的观测值提供递减权重的方法来平滑处理您的序列。
什么是时间序列?
时间序列是均匀时间间隔上的观测值序列。例如:
- 过去五年内每月的失业率
- 一个月内制造厂的日产量
- 上个世纪一个州每十年的人口
时间序列的要素:
趋势
序列上升或下降的长期趋势(向上的趋势或向下的趋势)。
季节性*
某个时期内时间序列中的周期性波动。这些波动形成一种倾向于在季节性周期之间重复的模式。
循环
因季节性之外的因素而大大偏离趋势。循环通常在较长的时间区间上发生,并且循环的连续波峰或波谷之间的时间长度不一定相同。
不规则运动
解释趋势、季节性和循环运动后剩余的运动;时间序列中的随机噪声或误差。
什么是预测?
预测是一种在时间序列分析中广泛使用的方法,用于预测指定时间段内的响应变量,例如每月利润、股票表现或失业数据。预测是基于现有数据中的模式进行的。例如,一位仓库经理可以基于前 12 个月的订购活动预测接下来的 3 个月中需要订购多少产品。
您可以使用多种时间序列方法(例如,趋势分析、分解或单指数平滑)对数据中的模式建模,然后将这些模式外推至未来。可以基于模式是静态(在一段时间内恒定)还是动态(随时间改变)、趋势和季节性分量的性质以及要提前多久预测来选择分析方法。生成预测之前,对数据拟合多个候选模型以确定最稳定和最准确的模型。
什么是单纯预测?
在单纯预测中,时间 t 的预测是时间 t -1 处的数据值。您可以通过将移动平均长度设置为 1 来使用移动平均过程计算单纯预测值,或者通过将权重设置为 1 来使用单指数平滑过程计算单纯预测值。可以使用单纯预测来为时间序列模型建立基准。对单纯模型的准确度度量和使用其他方法的模型的准确度度量进行比较。如果单纯模型的拟合度好,就不应当使用另一个模型,因为单纯模型拟合得好而且更简单。
移动平均的预测分析
时间 t 处的拟合值是时间 t-1 处的非中心移动平均。预测是移动原点处的拟合值。如果提前 10 个时间单位预测,则每个时间的预测值将是原点处的拟合值。原点之前的数据用于计算移动平均。
通过计算连续移动平均,可以使用线性移动平均法。当数据中存在趋势时,通常使用线性移动平均法。首先,计算并存储原始序列的移动平均。然后,计算并存储先前存储的列的移动平均以得到第二个移动平均。
在单纯预测中,时间 t 的预测是时间 t -1 处的数据值。使用移动平均长度为 1 的移动平均过程会得到单纯预测。
单指数平滑的预测分析
时间 t 处的拟合值是时间 t-1 处的平滑值。预测是预测原点处的拟合值。如果提前 10 个时间单位预测,则每个时间的预测值将是原点处的拟合值。原点之前的数据用于进行平滑。
在单纯预测中,时间 t 的预测是时间 t -1 处的数据值。执行权重为 1 的单指数平滑会得到单纯预测。
双指数平滑的预测分析
双指数平滑使用水平和趋势分量生成预测。对时间点 t 向前 m 个周期的预测为:
Lt + mTt,其中 Lt 是水平,Tt 是时间 t 处的趋势。
预测原点时间之前的数据将用于进行平滑。
##Winters 方法的预测 Winters 方法使用水平、趋势和季节性分量来生成预测。对时间点 t 向前 m 个周期的预测为:
Lt + mTt
其中 Lt 是水平,Tt 是时间 t 处的趋势,乘以(或对于加法模型为加上)前一年相同周期的季节性分量。
Winters 方法使用预测原点时间之前的数据来生成预测。
当某个季节的所有值都为零时。例如,在您的季度数据中,春季的所有值都等于零。为了避免此错误,请至少将一个零更改为非常小的值(如 0.000001)。