机器学习中的LR 与 SVM 相同和不同

342 阅读6分钟
原文链接: blog.csdn.net

1.前言

本篇博客是转载自LR 与 SVM 的相同和不同,在此感谢此篇博客的作者。笔者重新排版了一下,以方便日后自己回顾。

2.SVM与LR的相同点的问题

问题1:为什么将LR和SVM放在一起来进行比较?

第一,LR和SVM都是分类算法。
看到这里很多人就不会认同了,因为在很大一部分人眼里,LR是回归算法。我是非常不赞同这一点的,因为我认为判断一个算法是分类还是回归算法的唯一标准就是样本label的类型,如果label是离散的,就是分类算法,如果label是连续的,就是回归算法。很明显,LR的训练数据的label是“0或者1”,当然是分类算法。其实这样不重要啦,暂且迁就我认为他是分类算法吧,再说了,SVM也可以回归用呢。

第二,如果不考虑核函数,LR和SVM都是线性分类算法,也就是说他们的分类决策面都是线性的。
这里要先说明一点,那就是LR也是可以用核函数的,至于为什么通常在SVM中运用核函数而不在LR中运用,后面讲到他们之间区别的时候会重点分析。总之,原始的LR和SVM都是线性分类器,这也是为什么通常没人问你决策树和LR什么区别,决策树和SVM什么区别,你说一个非线性分类器和一个线性分类器有什么区别?

第三,LR和SVM都是监督学习算法。

第四,LR和SVM都是判别模型。
判别模型会生成一个表示P(Y|X)的判别函数(或预测模型),而生成模型先计算联合概率p(Y,X)然后通过贝叶斯公式转化为条件概率。简单来说,在计算判别模型时,不会计算联合概率,而在计算生成模型时,必须先计算联合概率。或者这样理解:生成算法尝试去找到底这个数据是怎么生成的(产生的),然后再对一个信号进行分类。基于你的生成假设,那么那个类别最有可能产生这个信号,这个信号就属于那个类别。判别模型不关心数据是怎么生成的,它只关心信号之间的差别,然后用差别来简单对给定的一个信号进行分类。常见的判别模型有:KNN、SVM、LR,常见的生成模型有:朴素贝叶斯,隐马尔可夫模型。当然,这也是为什么很少有人问你朴素贝叶斯和LR以及朴素贝叶斯和SVM有什么区别。

3.SVM与LR的不同点的问题

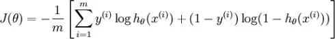
第一,本质上是其loss function不同
a.逻辑回归的损失函数:
LR与SVM的相同和不同
b:支持向量机的目标函数:
LR与SVM的相同和不同
不同的loss function代表了不同的假设前提,也就代表了不同的分类原理,也就代表了一切!!!简单来说,逻辑回归方法基于概率理论,假设样本为1的概率可以用sigmoid函数来表示,然后通过极大似然估计的方法估计出参数的值,具体细节参考机器学习算法——逻辑斯谛回归模型&最大熵模型。支持向量机基于几何间隔最大化原理,认为存在最大几何间隔的分类面为最优分类面,具体细节参考 机器学习算法——感知机&支持向量机

第二,支持向量机只考虑局部的边界线附近的点,而逻辑回归考虑全局(远离的点对边界线的确定也起作用)。
当你读完上面两个网址的内容,深入了解了LR和SVM的原理过后,会发现影响SVM决策面的样本点只有少数的结构支持向量,当在支持向量外添加或减少任何样本点对分类决策面没有任何影响;而在LR中,每个样本点都会影响决策面的结果。用下图进行说明:
a.支持向量机改变非支持向量样本并不会引起决策面的变化:
LR与SVM的相同和不同
b.逻辑回归中改变任何样本都会引起决策面的变化:
LR与SVM的相同和不同
理解了这一点,有可能你会问,然后呢?有什么用呢?有什么意义吗?对使用两种算法有什么帮助么?一句话回答:因为上面的原因,得知:线性SVM不直接依赖于数据分布,分类平面不受一类点影响;LR则受所有数据点的影响,如果数据不同类别strongly unbalance,一般需要先对数据做balancing。(引自www.zhihu.com/question/26…

第三,在解决非线性问题时,支持向量机采用核函数的机制,而LR通常不采用核函数的方法。
这个问题理解起来非常简单。分类模型的结果就是计算决策面,模型训练的过程就是决策面的计算过程。通过上面的第二点不同点可以了解,在计算决策面时,SVM算法里只有少数几个代表支持向量的样本参与了计算,也就是只有少数几个样本需要参与核计算(即kernal machine解的系数是稀疏的)。然而,LR算法里,每个样本点都必须参与决策面的计算过程,也就是说,假设我们在LR里也运用核函数的原理,那么每个样本点都必须参与核计算,这带来的计算复杂度是相当高的。所以,在具体应用时,LR很少运用核函数机制。

第四,线性SVM依赖数据表达的距离测度,所以需要对数据先做normalization,LR不受其影响。(引自www.zhihu.com/question/26…

第五,SVM的损失函数就自带正则!!!(损失函数中的1/2||w||^2项),这就是为什么SVM是结构风险最小化算法的原因!!!而LR必须另外在损失函数上添加正则项!!!
以前一直不理解为什么SVM叫做结构风险最小化算法,所谓结构风险最小化,意思就是在训练误差和模型复杂度之间寻求平衡,防止过拟合,从而达到真实误差的最小化。未达到结构风险最小化的目的,最常用的方法就是添加正则项,后面的博客我会具体分析各种正则因子的不同,这里就不扯远了。但是,你发现没,SVM的目标函数里居然自带正则项!!!再看一下上面提到过的SVM目标函数:
LR与SVM的相同和不同
L1正则与L2正则,参考博客正则化方法:L1和L2 regularization、数据集扩增、dropout