首页
沸点
课程
数据标注
HOT
AI Coding
更多
直播
活动
APP
插件
直播
活动
APP
插件
搜索历史
清空
创作者中心
写文章
发沸点
写笔记
写代码
草稿箱
创作灵感
查看更多
登录
注册
线性判别分析随记
wakacaca
2018-09-28
204
阅读1分钟
Linear Discriminant Analysis
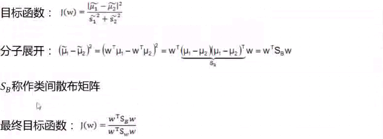
数学原理
D表示簇 x表示样本。
wakacaca
76
文章
43k
阅读
14
粉丝
目录
收起
Linear Discriminant Analysis
数学原理