问题:如题,判断一个单链表是否存在环
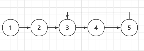
分析:判断一个单链表是否存在环,问题情况分为如下
- [x] 首尾相连
- [x] 尾部与非首结点相连
- [x] 不存在环路
给出的算法图示

package com.newcaoguo.main.rxjavademo;
import java.util.Scanner;
/**
* 判断一个单链表是否存在环
*/
public class LinkedListLoop {
static class Node {
int val;
Node next;
public Node() {
}
}
private static final Node createLinkedListNode(Scanner scanner) {
Node node = new Node();
Node p = node;
int val = scanner.nextInt();
while (val != -1) {
p.val = val;
p.next = new Node();
p = p.next;
val = scanner.nextInt();
}
return node;
}
private static final void printLinkedListNode(Node node) {
Node p = node;
while (p != null) {
System.out.print(p.val + " ");
p = p.next;
}
}
/**
* 判断单链表是否存在环
*
* @param node
* @return
*/
private static final boolean isExitLoop(Node node) {
Node p = node; // p 指向 单链表的第一个
Node q = node.next;// q 指向 单链表的第二个
// 如果 p 与 q 不相等 ,并且 p 不为空、q 不为空
while (p != q && p != null && q != null) {
p = p.next;
q = q.next.next;
if (p == q) return true;
}
return false;
}
public static void main(String[] args) {
Node firstNode = new Node();
firstNode.val = 1;
Node secondNode = new Node();
secondNode.val = 2;
firstNode.next = secondNode;
Node thirdNode = new Node();
thirdNode.val = 3;
secondNode.next = thirdNode;
Node forthNode = new Node();
forthNode.val = 4;
thirdNode.next = forthNode;
Node fifthNode = new Node();
fifthNode.val = 5;
forthNode.next = fifthNode;
// fifthNode.next = thirdNode; // 形成闭环
fifthNode.next = null; // 不形成闭环
// printLinkedListNode(firstNode); // 输出单链表信息
System.out.println("isExitLoop: " + isExitLoop(firstNode)); // 输出是否存在闭环
}
}