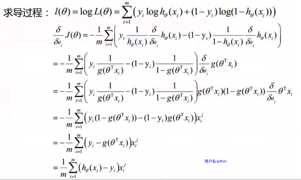
逻辑回归-随记2 wakacaca 2018-09-14 163 阅读1分钟 Sigmoid函数 求一个正的最大值,转为求一个负的最小值,1/m是为了考虑所有的样本(平均损失)。 θ_J中的下标j指的是样本中的第j列特征去更新位置j的θ权重值。