概述
回归:最终结果得到的是目标区间中的某一个值。
例如:银行贷款,贷的是额度区间中的某个值(能贷到多少钱)。
分类:最终结果得到的是某个类别值。
例如:银行贷款,得到的是能不能贷到的类别值(可以贷或者不可以贷)



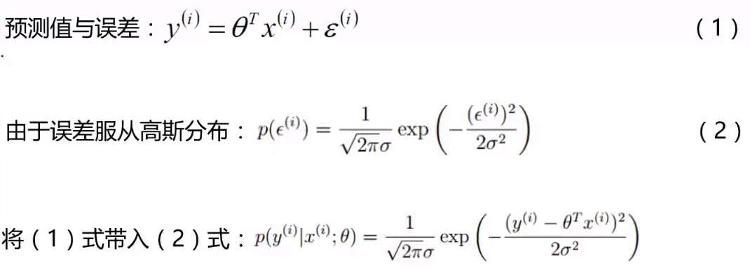
误差
对于每个样本的预测值,它与真实值之间存在着一定的误差



似然性则是用于在已知某些观测所得到的结果时,对有关事物的性质的参数进行估计。
构造表示似然性的方法:已知有事件A发生,运用似然函数。


log以自然数e为底。


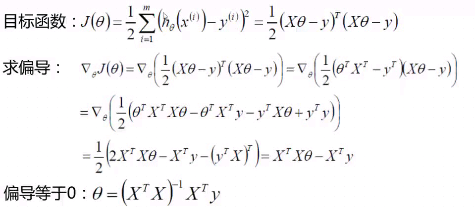
评估方法

类似方差项指:真实值和预测值的平均值的平方和。
预测值越接近真实值时,右边项越小,1减去一个越小的数,结果值就越接近于1。
