提到GBDT回归相信大家应该都不会觉得陌生,本文就GBDT回归的基本原理进行讲解,并手把手、肩并肩地带您实现这一算法。完整实现代码请参考本人的github。
一、原理篇
我们用人话而不是大段的数学公式来讲讲GBDT回归是怎么一回事。
1.1 温故知新
回归树是GBDT的基础,之前的一篇文章曾经讲过回归树的原理和实现。链接如下:
1.2 预测年龄
仍然以预测同事年龄来举例,从《回归树》那篇文章中我们可以知道,如果需要通过一个常量来预测同事的年龄,平均值是最佳选择之一。
1.3 年龄的残差
我们不妨假设同事的年龄分别为5岁、6岁、7岁,那么同事的平均年龄就是6岁。所以我们用6岁这个常量来预测同事的年龄,即[6, 6, 6]。每个同事年龄的残差 = 年龄 - 预测值 = [5, 6, 7] - [6, 6, 6],所以残差为[-1, 0, 1]
1.4 预测年龄的残差
为了让模型更加准确,其中一个思路是让残差变小。如何减少残差呢?我们不妨对残差建立一颗回归树,然后预测出准确的残差。假设这棵树预测的残差是[-0.9, 0, 0.9],将上一轮的预测值和这一轮的预测值求和,每个同事的年龄 = [6, 6, 6] + [-0.9, 0, 0.9] = [5.1, 6, 6.9],显然与真实值[5, 6, 7]更加接近了, 年龄的残差此时变为[-0.1, 0, 0.1],预测的准确性得到了提升。
1.5 GBDT
重新整理一下思路,假设我们的预测一共迭代3轮 年龄:[5, 6, 7]
第1轮预测:6, 6, 6
第1轮残差:[-1, 0, 1]
第2轮预测:6, 6, 6 + -0.9, 0, 0.9 = [5.1, 6, 6.9]
第2轮残差:[-0.1, 0, 0.1]
第3轮预测:6, 6, 6 + -0.9, 0, 0.9 + -0.08, 0, 0.07 = [5.02, 6, 6.97]
第3轮残差:[-0.08, 0, 0.03]
看上去残差越来越小,而这种预测方式就是GBDT算法。
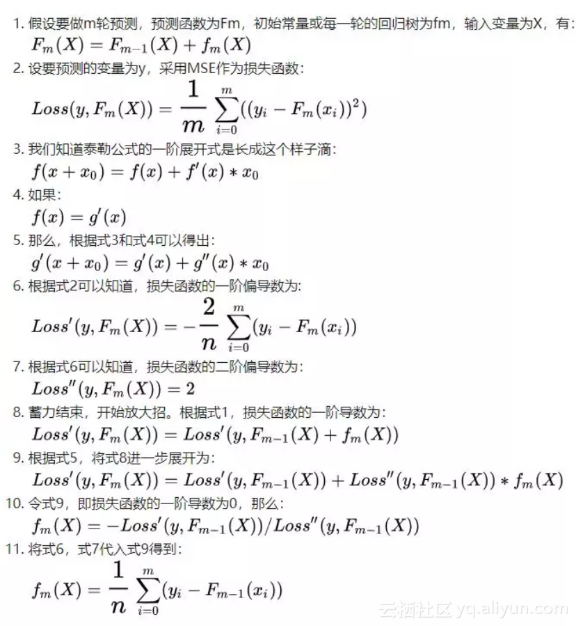
1.6 公式推导
看到这里,相信您对GBDT已经有了直观的认识。这么做有什么科学依据么,为什么残差可以越来越小呢?前方小段数学公式低能预警。

因此,我们需要通过用第m-1轮残差的均值来得到函数fm,进而优化函数Fm。而回归树的原理就是通过最佳划分区域的均值来进行预测。所以fm可以选用回归树作为基础模型,将初始值,m-1颗回归树的预测值相加便可以预测y。
二、实现篇
本人用全宇宙最简单的编程语言——Python实现了GBDT回归算法,没有依赖任何第三方库,便于学习和使用。简单说明一下实现过程,更详细的注释请参考本人github上的代码。
2.1 导入回归树类
回归树是我之前已经写好的一个类,在之前的文章详细介绍过,代码请参考:
https://github.com/tushushu/imylu/blob/master/imylu/tree/regression_tree.py
from ..tree.regression_tree import RegressionTree
2.2 创建GradientBoostingBase类
初始化,存储回归树、学习率、初始预测值和变换函数。(注:回归不需要做变换,因此函数的返回值等于参数)
class GradientBoostingBase(object):
def __init__(self):
self.trees = None
self.lr = None
self.init_val = None
self.fn = lambda x: x
2.3 计算初始预测值
初始预测值即y的平均值。
def _get_init_val(self, y):
return sum(y) / len(y)
2.4 计算残差
def _get_residuals(self, y, y_hat):
return [yi - self.fn(y_hat_i) for yi, y_hat_i in zip(y, y_hat)]
2.5 训练模型
训练模型的时候需要注意以下几点: 1. 控制树的最大深度max_depth; 2. 控制分裂时最少的样本量min_samples_split; 3. 训练每一棵回归树的时候要乘以一个学习率lr,防止模型过拟合; 4. 对样本进行抽样的时候要采用有放回的抽样方式。
def fit(self, X, y, n_estimators, lr, max_depth, min_samples_split, subsample=None):
self.init_val = self._get_init_val(y)
n = len(y)
y_hat = [self.init_val] * n
residuals = self._get_residuals(y, y_hat)
self.trees = []
self.lr = lr
for _ in range(n_estimators):
idx = range(n)
if subsample is not None:
k = int(subsample * n)
idx = choices(population=idx, k=k)
X_sub = [X[i] for i in idx]
residuals_sub = [residuals[i] for i in idx]
y_hat_sub = [y_hat[i] for i in idx]
tree = RegressionTree()
tree.fit(X_sub, residuals_sub, max_depth, min_samples_split)
self._update_score(tree, X_sub, y_hat_sub, residuals_sub)
y_hat = [y_hat_i + lr * res_hat_i for y_hat_i,
res_hat_i in zip(y_hat, tree.predict(X))]
residuals = self._get_residuals(y, y_hat)
self.trees.append(tree)
2.6 预测一个样本
def _predict(self, Xi):
return self.fn(self.init_val + sum(self.lr * tree._predict(Xi) for tree in self.trees))
2.7 预测多个样本
def predict(self, X):
return [self._predict(Xi) for Xi in X]
三、效果评估
3.1 main函数
使用著名的波士顿房价数据集,按照7:3的比例拆分为训练集和测试集,训练模型,并统计准确度。
@run_time
def main():
print("Tesing the accuracy of GBDT regressor...")
X, y = load_boston_house_prices()
X_train, X_test, y_train, y_test = train_test_split(
X, y, random_state=10)
reg = GradientBoostingRegressor()
reg.fit(X=X_train, y=y_train, n_estimators=4,
lr=0.5, max_depth=2, min_samples_split=2)
get_r2(reg, X_test, y_test)
3.2 效果展示
最终拟合优度0.851,运行时间5.0秒,效果还算不错~
3.3 工具函数
本人自定义了一些工具函数,可以在github上查看
https://github.com/tushushu/imylu/blob/master/imylu/utils.py
● run_time - 测试函数运行时间● load_boston_house_prices - 加载波士顿房价数据
● train_test_split - 拆分训练集、测试集
● get_r2 - 计算拟合优度
四、总结
GBDT回归的原理:平均值加回归树
GBDT回归的实现:加加减减for循环
原文发布时间为:2018-09-7
本文作者:xxx
本文来自云栖社区合作伙伴“Python中文社区”,了解相关信息可以关注“ Python中文社区”。