学习SVM(三)理解SVM中的对偶问题

337 阅读2分钟

阅读原文

网上有很多关于SVM的优秀博客与其他学习资料,而个人感觉本系列博客与其他关于SVM的文章相比,多了一些细节的证明,比如线性分类器原理,支持向量原理等等。 同样是SVM,在《支持向量机导论》中有170+页的内容,而在《机器学习》(周志华)一书中仅仅是一个章节的内容,中间略过了细节推导的过程,这些被略过的推导过程在本系列博客中都会加入,也是在自学时验证过程中的一些总结,如有问题请指正。

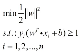
在上一篇的内容中(学习SVM(二) 如何理解支持向量机的最大分类间隔),我们最后我们推导出优化目标为:


其中约束条件为n个,这是一个关于w和b的最小值问题。

根据拉格朗日乘子法:就是求函数f(x1,x2,…)在g(x1,x2,…)=0的约束条件下的极值的方法。其主要思想是将约束条件函数与原函数联系到一起,使能配成与变量数量相等的等式方程,从而求出得到原函数极值的各个变量的解。即可以求得:


其中a就是拉格朗日乘子法进入的一个新的参数,也就是拉格朗日乘子。 那么问题就变成了:


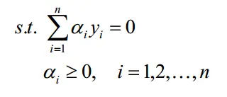
所谓的对偶问题就是:


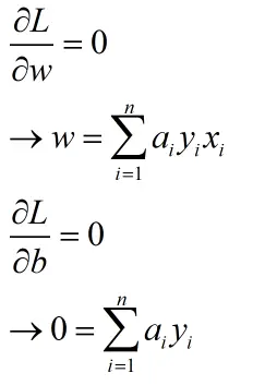
做这种转换是为了后面的求解方便,因为最小值问题,求导就可以啦!! 下面对w和b分别求偏导(这里是纯数学计算,直接给结果了):


在这里求出了两个结果,带入到L(w,b,a)中:


所以问题被转化成为:



注意这里的约束条件有n+1个。

添加符号,再一次转化条件:



相关阅读:学习SVM(四)-理解SVM中的支持向量(Support-Vector)