







再散列,同样可能产生聚集
对于直接定址法,是可以完全避免冲突的,但是容易造成空间的浪费

链地址法在处理冲突时,将同义词放在同一个链表中,同义词冲突不等于聚集,所以不会产生聚集现象
聚集是采取了不恰当的处理冲突的方法,使得不同关键字的元素对同一散列地址进行争夺的现象,当采用线性探测法(包括平方探测法)的时候,容易产生聚集现象













再哈希法是一种处理冲突的方法,如果出现冲突,使用另一个哈希函数,计算下一个哈希地址,不易产生聚集
链地址法不会产生聚集
聚集:非同义词聚集在一起









折半查找属于静态查找表,其判定树是确定的,查找长度不超过判定树的深度(与相同元素个数的完全二叉树深度相同).
二元查找树属于动态查找表,查找长度取决于树的形状,最差情况下是单支树


有序,查找失败的平均查找长度,有序的较短

在每块中,内部元素是无序的,所以需要顺序查找,因此与每块中的元素个数有关,索引只是副本

二叉排序树,平衡二叉排序树(AVL),B树,键树
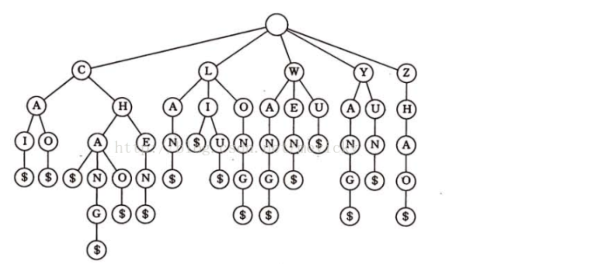
Trie树,又称字典树、前缀树、单词查找树、键树,是一种多叉树形结构


磁带存储介质只能顺序查找








在二叉排序树中插入一个节点,一定作为叶子节点插入

次优二叉树也是非等概率下的二分查找的判定树,是静态查找表
而二叉排序树是动态树表
二叉排序树有多种,高度最小的是最佳的


最坏的情况下为单支,查找长度为n,ASL是平均查找长度,为(n+1)/2


堆只保证根节点大于左孩子节点,小于右孩子节点,不保证根节点的左子树中的所有节点,小于根节点,不保证根节点的右子树中的所有节点,大于根节点



对两棵具有相同关键字而形状不同的二叉排序树,中序遍历的到的序列顺序是一致的

