我们在开始接触SVM时肯定听到过类似这样的话,决定决策边界的数据叫做支持向量,它决定了margin到底是多少,而max margin更远的点,其实有没有无所谓。 然后一般会配一张图说明一下哪些是支持向量(Support Vector),这个图在之前的学习SVM(二) 如何理解支持向量机的最大分类间隔里面就有,这里不在重复贴了。
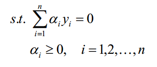
但是问题的关键是,这些Support Vector是怎么被确定的呢? 在学习SVM(三)理解SVM中的对偶问题计算得到新的优化目标:


注意这里的约束条件有n+1个,之后只需要根据Data(x),Label(y)求解出满足条件的拉格朗日系数a,并将a带回求得w和b,于是就有了最后的决策边界。(w,b,x,y,a都是向量)

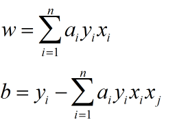
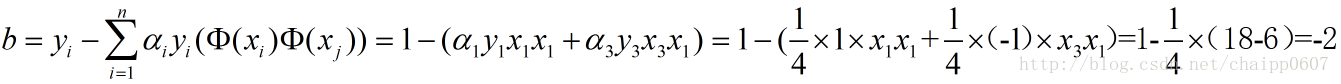
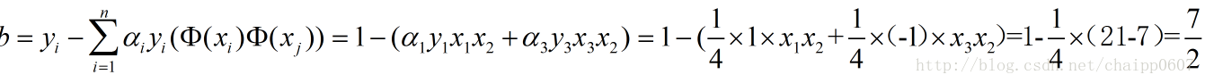
注意:在上面b的公式中,i=1,2,…,n。但是j却没有给值,这是因为j是任意一个支持向量都可以。
在这里对w和b的公式的推导做一个简短说明,w是通过拉格朗日求偏导后推出的;在学习SVM(二) 如何理解支持向量机的最大分类间隔中我们知道最大间隔为:

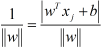
那么支持向量到决策边界的距离为:

同时根据点到直线的距离公式有:

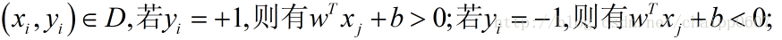
超平面(w,b)能够将训练样本正确分类,即对于

而非支持向量的数据就在求解参数a,w,b的过程中,前面的参数w求得的结果会为0,这样就满足了之前的说法,只有支持向量在影响着决策边界的确定,举个例子:

上图中有3个点,x1(3,3),x2(4,3),x3(1,1),对应的:y1=y2=1,y3=-1。 很显然x1和x3是两个支持向量,在决策平面的两侧,我们带入到上面的公式求解一下: 由于两个求和公式(n=3),所以括号里面的是项会有9个,可以理解为两个for循环嵌套啊(哈~哈~),但是显然这9项里面是有重复的,因为a1a2 = a2a1,所以最后会剩下6项: a1a1,a2a2,a3a3,2a1a3,2a1a2,2a2a3,举个例子确定前面的系数: Ca1a2 = [(x1)(x2)y1y2]a1a2 C=2*(3,3)(4,3)(1)=2(12+9)=42
所以最后的结果如下:

由约束条件得到:a3=a1+a2,带入到min中可以求得一个关于a1 和a2的函数:

要求它的最小值,求偏导啊~

最后求解得到: a1 = 1.5 a2 = -1
而a2 = -1的点不满于a2>0的条件,所以最小值在边界上取得。边界情况要么是a1=0,要么是a2=0,于是: a1=0时,我们应该把a1的值往s对a2的偏导里面带入: a2=2/13 (满足条件) 此时:

a2=0时,我们应该把a2的值往s对a1的偏导里面带入: a1=1/4 (满足条件) 此时:

显然后面的结果更小,所以: a1 = 1/4 a2 = 0 a3 = 1/4
到这里就能验证上面的结论了,a1和a3是x1和x3的系数,x1和x3是支持向量,而x2不是,所以前面的系数是0。因为根据w求解公式,a2=0,所以x2对w权的最后取值没有影响,所以x2不是支持向量。
最后一步,带到上面的式子中求w,b:

w1=w2=0.5 对于支持向量x1,计算b的值:


显然,由于b的公式由支持向量与决策平面的距离推导得到,所以x2的计算结果是错误的。 于是得到最后的决策边界为: 0.5x1+0.5x2+2=0