集合

166 阅读2分钟

增大装填因子,可以减少冲突的几率,从而提高查找效率
设计冲突少的散列函数,可以提高查找效率
处理冲突时,无法避免差生聚集的现象,可以使用相应的方法来减少聚集现象的产生

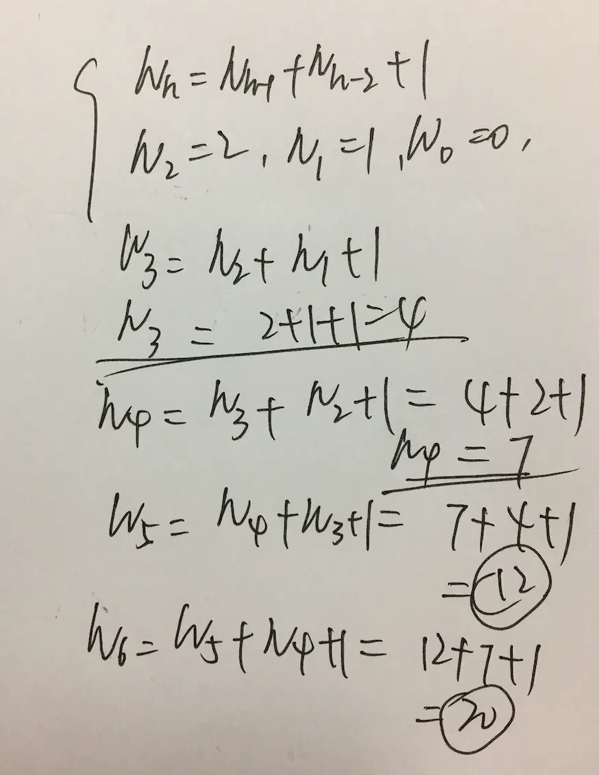
平衡二叉树中,如果非叶节点的平衡因子均为1,说明是含有最少结点的最小平衡二叉树,也就是斐波那契树 满足

D

B树中,根节点,最少有两棵子树,叶子节点不存任何信息,非叶子节点(费根节点),最少有m/2向上取整棵子树,每个节点,最多有m棵子树
本题中,根节点一个关键字,非根非叶子节点,最少有5/2向上取整,也就是3棵子树,两个关键字,一共为5个关键字

D

D 4阶B树,非根节点,最少含有2个子树,也就是最多1个关键字,最多含有4棵子树,也就是最多3个节点

C 如果只有根节点,也满足题意,但是,最后插入的元素是根节点,而不是叶子节点

B

各有n个,则间隔插入,同时最后一个直接插入,一共需要比较n+n-1 = 2*n-1次

折半查找,最坏情况下,为O(logN),分块查找,二叉排序树查找,顺序查找,最坏情况下的时间复杂度为O(N)

B

C

A

A

D

折半查找的时间复杂度为O(logN)
平均查找长度为:

B
判定树不是完全二叉树,但是具有n个节点的判定树与具有n个节点的完全二叉树的高度相同 具有N个节点的完全二叉树的高度为:

顺序查找法适合于顺序存储结构或者链式存储结构,注意不要与二分查找等混淆

查找成功时,有序表,无序表的平均查找长度均为n+1/2 查找失败时,有序表可以及时判定查找失败,而无序表不能及时判定查找失败,必须从头查找到尾部,所以无序表查找失败的查找长度长于有序表