探索 YOLO v3 实现细节 - 第5篇 Loss

7,030 阅读9分钟

YOLO,即You Only Look Once的缩写,是一个基于卷积神经网络(CNN)的物体检测算法。而YOLO v3是YOLO的第3个版本(即YOLOYOLO 9000YOLO v3),检测效果,更准更强。

YOLO v3的更多细节,可以参考YOLO的官网

YOLO

YOLO是一句美国的俗语,You Only Live Once,你只能活一次,即人生苦短,及时行乐。

本文主要分享,如何实现YOLO v3的算法细节,Keras框架。这是第5篇,损失函数Loss,精巧地设计,中心点、宽高、框置信度和类别置信度等4个部分的损失值。当然还有第6篇,至第n篇,毕竟,这是一个完整版 :)。

本文的GitHub源码github.com/SpikeKing/k…

已更新:

欢迎关注,微信公众号 深度算法 (ID: DeepAlgorithm) ,了解更多深度技术!


1. 损失层

在模型的训练过程中,不断调整网络中的参数,优化损失函数loss的值达到最小,完成模型的训练。在YOLO v3中,损失函数yolo_loss封装自定义Lambda的损失层中,作为模型的最后一层,参于训练。损失层Lambda的输入是已有模型的输出model_body.output和真值y_true,输出是1个值,即损失值。

损失层的核心逻辑位于yolo_loss中,yolo_loss除了接收Lambda层的输入model_body.output和y_true,还接收锚框anchors、类别数num_classes和过滤阈值ignore_thresh等3个参数。

实现:

model_loss = Lambda(yolo_loss,
                    output_shape=(1,), name='yolo_loss',
                    arguments={'anchors': anchors,
                               'num_classes': num_classes,
                               'ignore_thresh': 0.5}
                    )(model_body.output + y_true)

其中,model_body.output是已有模型的预测值,y_true是真实值,两者的格式相同,如下:

model_body: [(?, 13, 13, 18), (?, 26, 26, 18), (?, 52, 52, 18)]
y_true: [(?, 13, 13, 18), (?, 26, 26, 18), (?, 52, 52, 18)]

接着,在yolo_loss方法中,参数是:

  • args是Lambda层的输入,即model_body.output和y_true的组合;
  • anchors是二维数组,结构是(9, 2),即9个anchor box;
  • num_classes是类别数;
  • ignore_thresh是过滤阈值;
  • print_loss是打印损失函数的开关;

即:

def yolo_loss(args, anchors, num_classes, ignore_thresh=.5, print_loss=True):

2. 参数

在损失方法yolo_loss中,需要设置若干参数:

  • num_layers:层的数量,是anchors数量的3分之1;
  • yolo_outputsy_true:分离args,前3个是yolo_outputs预测值,后3个是y_true真值;
  • anchor_mask:anchor box的索引数组,3个1组倒序排序,678对应13x13,345对应26x26,123对应52x52;即[[6, 7, 8], [3, 4, 5], [0, 1, 2]];
  • input_shapeK.shape(yolo_outputs[0])[1:3],第1个预测矩阵yolo_outputs[0]的结构(shape)的第1~2位,即(?, 13, 13, 18)中的(13, 13)。再x32,就是YOLO网络的输入尺寸,即(416, 416),因为在网络中,含有5个步长为(2, 2)的卷积操作,降维32=5^2倍;
  • grid_shapes:与input_shape类似,K.shape(yolo_outputs[l])[1:3],以列表的形式,选择3个尺寸的预测图维度,即[(13, 13), (26, 26), (52, 52)];
  • m:第1个预测图的结构的第1位,即K.shape(yolo_outputs[0])[0],输入模型的图片总量,即批次数;
  • mf:m的float类型,即K.cast(m, K.dtype(yolo_outputs[0]))
  • loss:损失值为0;

即:

num_layers = len(anchors) // 3  # default setting
yolo_outputs = args[:num_layers]
y_true = args[num_layers:]
anchor_mask = [[6, 7, 8], [3, 4, 5], [0, 1, 2]] if num_layers == 3 else [[3, 4, 5], [1, 2, 3]]
# input_shape是输出的尺寸*32, 就是原始的输入尺寸,[1:3]是尺寸的位置,即416x416
input_shape = K.cast(K.shape(yolo_outputs[0])[1:3] * 32, K.dtype(y_true[0]))
# 每个网格的尺寸,组成列表
grid_shapes = [K.cast(K.shape(yolo_outputs[l])[1:3], K.dtype(y_true[0])) for l in range(num_layers)]

m = K.shape(yolo_outputs[0])[0]  # batch size, tensor
mf = K.cast(m, K.dtype(yolo_outputs[0]))

loss = 0

3. 预测数据

yolo_head中,将预测图yolo_outputs[l],拆分为边界框的起始点xy、宽高wh、置信度confidence和类别概率class_probs。输入参数:

  • yolo_outputs[l]或feats:第l个预测图,如(?, 13, 13, 18);
  • anchors[anchor_mask[l]]或anchors:第l个anchor box,如[(116, 90), (156,198), (373,326)];
  • num_classes:类别数,如1个;
  • input_shape:输入图片的尺寸,Tensor,值为(416, 416);
  • calc_loss:计算loss的开关,在计算损失值时,calc_loss打开,为True;

即:

grid, raw_pred, pred_xy, pred_wh = \
    yolo_head(yolo_outputs[l], anchors[anchor_mask[l]], num_classes, input_shape, calc_loss=True)
    
def yolo_head(feats, anchors, num_classes, input_shape, calc_loss=False):

接着,统计anchors的数量num_anchors,即3个。将anchors转换为与预测图feats维度相同的Tensor,即anchors_tensor的结构是(1, 1, 1, 3, 2),即:

num_anchors = len(anchors)
# Reshape to batch, height, width, num_anchors, box_params.
anchors_tensor = K.reshape(K.constant(anchors), [1, 1, 1, num_anchors, 2])

下一步,创建网格grid:

  • 获取网格的尺寸grid_shape,即预测图feats的第1~2位,如13x13;
  • grid_ygrid_x用于生成网格grid,通过arange、reshape、tile的组合,创建y轴的0~12的组合grid_y,再创建x轴的0~12的组合grid_x,将两者拼接concatenate,就是grid;
  • grid是遍历二元数值组合的数值,结构是(13, 13, 1, 2);

即:

grid_shape = K.shape(feats)[1:3]
grid_shape = K.shape(feats)[1:3]  # height, width
grid_y = K.tile(K.reshape(K.arange(0, stop=grid_shape[0]), [-1, 1, 1, 1]),
                [1, grid_shape[1], 1, 1])
grid_x = K.tile(K.reshape(K.arange(0, stop=grid_shape[1]), [1, -1, 1, 1]),
                [grid_shape[0], 1, 1, 1])
grid = K.concatenate([grid_x, grid_y])
grid = K.cast(grid, K.dtype(feats))

下一步,将feats的最后一维展开,将anchors与其他数据(类别数+4个框值+框置信度)分离

feats = K.reshape(
    feats, [-1, grid_shape[0], grid_shape[1], num_anchors, num_classes + 5])

下一步,计算起始点xy、宽高wh、框置信度box_confidence和类别置信度box_class_probs

  • 起始点xy:将feats中xy的值,经过sigmoid归一化,再加上相应的grid的二元组,再除以网格边长,归一化;
  • 宽高wh:将feats中wh的值,经过exp正值化,再乘以anchors_tensor的anchor box,再除以图片宽高,归一化;
  • 框置信度box_confidence:将feats中confidence值,经过sigmoid归一化;
  • 类别置信度box_class_probs:将feats中class_probs值,经过sigmoid归一化;

即:

box_xy = (K.sigmoid(feats[..., :2]) + grid) / K.cast(grid_shape[::-1], K.dtype(feats))
box_wh = K.exp(feats[..., 2:4]) * anchors_tensor / K.cast(input_shape[::-1], K.dtype(feats))
box_confidence = K.sigmoid(feats[..., 4:5])
box_class_probs = K.sigmoid(feats[..., 5:])

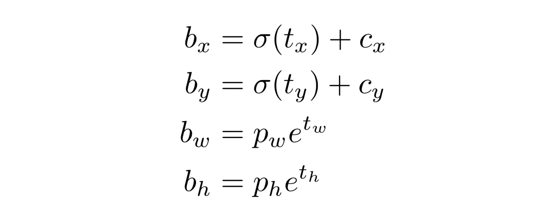
其中,xywh的计算公式,tx、ty、tw和th是feats值,而bx、by、bw和bh是输出值,如下:

xywh

这4个值box_xy, box_wh, box_confidence, box_class_probs的范围均在0~1之间。

由于计算损失值,calc_loss为True,则返回:

  • 网格grid:结构是(13, 13, 1, 2),数值为0~12的全遍历二元组;
  • 预测值feats:经过reshape变换,将18维数据分离出3维anchors,结构是(?, 13, 13, 3, 6)
  • box_xybox_wh归一化的起始点xy和宽高wh,xy的结构是(?, 13, 13, 3, 2),wh的结构是(?, 13, 13, 3, 2);box_xy的范围是(0~1),box_wh的范围是(0~1);即bx、by、bw、bh计算完成之后,再进行归一化。

即:

if calc_loss == True:
    return grid, feats, box_xy, box_wh

4. 损失函数

在计算损失值时,循环计算每1层的损失值,累加到一起,即

for l in range(num_layers):
        // ... 
        loss += xy_loss + wh_loss + confidence_loss + class_loss

在每个循环体中:

  • 获取物体置信度object_mask,最后1个维度的第4位,第0~3位是框,第4位是物体置信度;
  • 类别置信度true_class_probs,最后1个维度的第5位;

即:

object_mask = y_true[l][..., 4:5]
true_class_probs = y_true[l][..., 5:]

接着,调用yolo_head重构预测图,输出:

  • 网格grid:结构是(13, 13, 1, 2),数值为0~12的全遍历二元组;
  • 预测值raw_pred:经过reshape变换,将anchors分离,结构是(?, 13, 13, 3, 6)
  • pred_xypred_wh归一化的起始点xy和宽高wh,xy的结构是(?, 13, 13, 3, 2),wh的结构是(?, 13, 13, 3, 2);

再将xy和wh组合成预测框pred_box,结构是(?, 13, 13, 3, 4)。

grid, raw_pred, pred_xy, pred_wh = \
    yolo_head(yolo_outputs[l], anchors[anchor_mask[l]], 
              num_classes, input_shape, calc_loss=True)
pred_box = K.concatenate([pred_xy, pred_wh])

接着,生成真值数据:

  • raw_true_xy:在网格中的中心点xy,偏移数据,值的范围是0~1;y_true的第0和1位是中心点xy的相对位置,范围是0~1;
  • raw_true_wh:在网络中的wh针对于anchors的比例,再转换为log形式,范围是有正有负;y_true的第2和3位是宽高wh的相对位置,范围是0~1;
  • box_loss_scale:计算wh权重,取值范围(1~2);

实现:

# Darknet raw box to calculate loss.
raw_true_xy = y_true[l][..., :2] * grid_shapes[l][::-1] - grid
raw_true_wh = K.log(y_true[l][..., 2:4] / anchors[anchor_mask[l]] * input_shape[::-1])  # 1
raw_true_wh = K.switch(object_mask, raw_true_wh, K.zeros_like(raw_true_wh))  # avoid log(0)=-inf
box_loss_scale = 2 - y_true[l][..., 2:3] * y_true[l][..., 3:4]  # 2-w*h

接着,根据IoU忽略阈值生成ignore_mask,将预测框pred_box和真值框true_box计算IoU,抑制不需要的anchor框的值,即IoU小于最大阈值的anchor框。ignore_mask的shape是(?, ?, ?, 3, 1),第0位是批次数,第1~2位是特征图尺寸。

实现:

ignore_mask = tf.TensorArray(K.dtype(y_true[0]), size=1, dynamic_size=True)
object_mask_bool = K.cast(object_mask, 'bool')

def loop_body(b, ignore_mask):
    true_box = tf.boolean_mask(y_true[l][b, ..., 0:4], object_mask_bool[b, ..., 0])
    iou = box_iou(pred_box[b], true_box)
    best_iou = K.max(iou, axis=-1)
    ignore_mask = ignore_mask.write(b, K.cast(best_iou < ignore_thresh, K.dtype(true_box)))
    return b + 1, ignore_mask

_, ignore_mask = K.control_flow_ops.while_loop(lambda b, *args: b < m, loop_body, [0, ignore_mask])
ignore_mask = ignore_mask.stack()
ignore_mask = K.expand_dims(ignore_mask, -1)

损失函数:

  • xy_loss:中心点的损失值。object_masky_true的第4位,即是否含有物体,含有是1,不含是0。box_loss_scale的值,与物体框的大小有关,2减去相对面积,值得范围是(1~2)。binary_crossentropy是二值交叉熵。
  • wh_loss:宽高的损失值。除此之外,额外乘以系数0.5,平方K.square()。
  • confidence_loss:框的损失值。两部分组成,第1部分是存在物体的损失值,第2部分是不存在物体的损失值,其中乘以忽略掩码ignore_mask,忽略预测框中IoU小于阈值的框。
  • class_loss:类别损失值。
  • 将各部分损失值的和,除以均值,累加,作为最终的图片损失值。

细节实现:

object_mask = y_true[l][..., 4:5]  # 物体掩码
box_loss_scale = 2 - y_true[l][..., 2:3] * y_true[l][..., 3:4]  # 框损失比例
z * -log(sigmoid(x)) + (1 - z) * -log(1 - sigmoid(x))  # 二值交叉熵函数
iou = box_iou(pred_box[b], true_box)  # 预测框与真正框的IoU

损失函数实现:

xy_loss = object_mask * box_loss_scale * K.binary_crossentropy(raw_true_xy, raw_pred[..., 0:2],
                                                               from_logits=True)
wh_loss = object_mask * box_loss_scale * 0.5 * K.square(raw_true_wh - raw_pred[..., 2:4])
confidence_loss = object_mask * K.binary_crossentropy(object_mask, raw_pred[..., 4:5], from_logits=True) + \
                  (1 - object_mask) * K.binary_crossentropy(object_mask, raw_pred[..., 4:5],
                                                            from_logits=True) * ignore_mask
class_loss = object_mask * K.binary_crossentropy(true_class_probs, raw_pred[..., 5:], from_logits=True)

xy_loss = K.sum(xy_loss) / mf
wh_loss = K.sum(wh_loss) / mf
confidence_loss = K.sum(confidence_loss) / mf
class_loss = K.sum(class_loss) / mf
loss += xy_loss + wh_loss + confidence_loss + class_loss

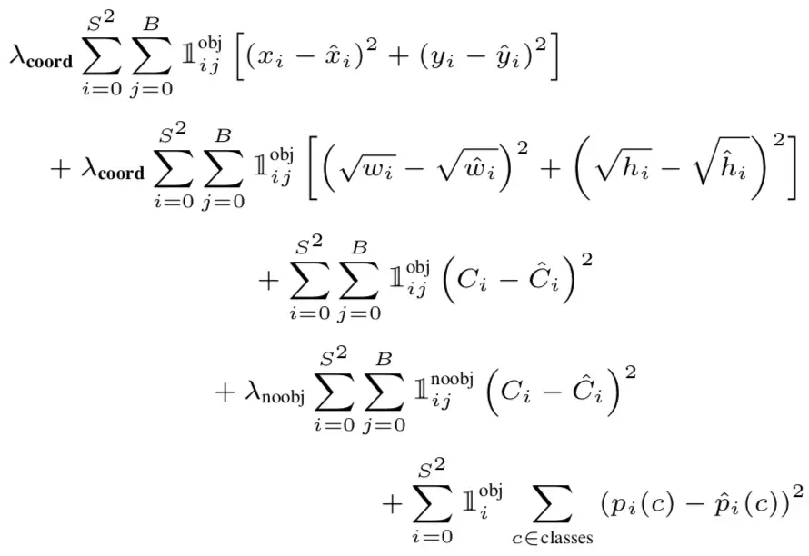
YOLO v1的损失函数公式,与v3略有不同,作为参考:

Loss


补充

1. “...”操作符

在Python中,“...”(ellipsis)操作符,表示其他维度不变,只操作最前或最后1维;

import numpy as np

x = np.array([[1, 2, 3, 4], [5, 6, 7, 8], [9, 10, 11, 12]])
"""
[[ 1  2  3  4]
 [ 5  6  7  8]
 [ 9 10 11 12]]
"""
print(x.shape)  # (3, 4)
y = x[1:2, ...]
"""
[[5 6 7 8]]
"""
print(y)

2. 遍历数值组合

在YOLO v3中,当计算网格值时,需要由相对位置,转换为绝对位置,就是相对值,加上网格的左上角的值,如相对值(0.2, 0.3)在第(1, 1)网格中的绝对值是(1.2, 1.3)。当转换坐标值时,根据坐标点的位置,添加相应的初始值即可。这样,就需要遍历两两的数值组合,如生成0至12的网格矩阵。

通过arange -> reshape -> tile -> concatenate的组合,即可快速完成。

源码:

from keras import backend as K

grid_y = K.tile(K.reshape(K.arange(0, stop=3), [-1, 1, 1]), [1, 3, 1])
grid_x = K.tile(K.reshape(K.arange(0, stop=3), [1, -1, 1]), [3, 1, 1])

sess = K.get_session()
print(grid_x.shape)  # (3, 3, 1)
print(grid_y.shape)  # (3, 3, 1)
z = K.concatenate([grid_x, grid_y])
print(z.shape)  # (3, 3, 2)
print(sess.run(z))
"""
创建3x3的二维矩阵,遍历全部数组0~2
"""

3. ::-1

“::-1”是颠倒数组的值,例如:

import numpy as np

a = np.array([1, 2, 3, 4, 5])
print a[::-1]
"""
[5 4 3 2 1]
"""

4. Session

在Keras中,使用Session测试验证数据,实现:

from keras import backend as K

sess = K.get_session()
a = K.constant([2, 4])
b = K.constant([3, 2])
c = K.square(a - b)
print(sess.run(c))

OK, that's all! Enjoy it!

欢迎关注,微信公众号 深度算法 (ID: DeepAlgorithm) ,了解更多深度技术!