【图像处理】利用双线性插值算法进行图像的缩放

1,950 阅读3分钟
原文链接: www.cnblogs.com

本文地址:www.cnblogs.com/zzw-in/p/Bi… 

首先我们来看一下双线性插值的定义:

百度百科上的定义:双线性插值,又称为双线性内插。在 数学上,双线性插值是有两个变量的 插值函数的线性插值扩展,其核心思想是在两个方向分别进行一次线性插值。

根据定义,双线性插值就是分别在两个不同方向进行线性插值,这里的"两个方向"一般对应着xy轴。

如下图所示:

image

 

图中已知4个点:clip_image001[19]

对应的值为:clip_image001[21]

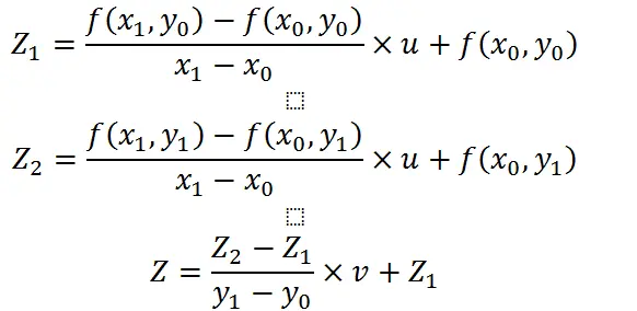
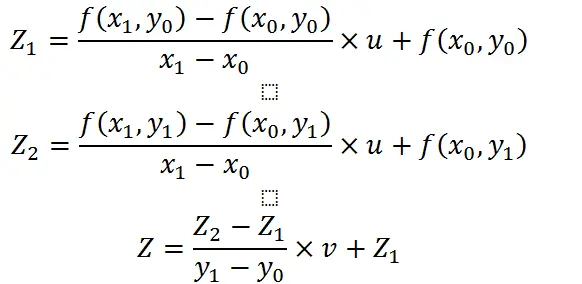
那么如果先对y方向进行插值再对x轴方向进行插值的话,计算思路如下:

clip_image001[23]

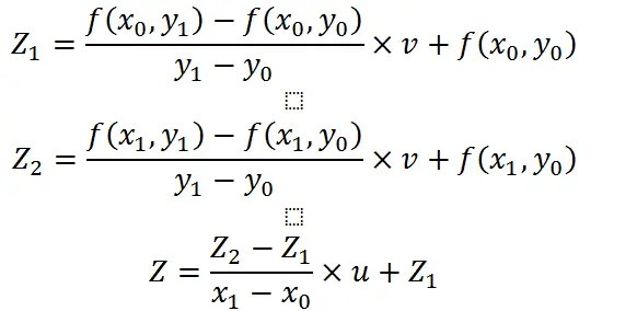
同理,如果先对y方向进行插值再对x轴方向进行插值的话,计算思路如下:

clip_image001[25]

上面就是双线性插值的计算思路。

好的,现在已经对双线性插值的概念有了比较清楚的认识,那么接下来就看看双线新插值在图像缩放里面的应用吧。

在图像缩放中,如果源图像是的图像,而缩放后的图像为,那么原图与缩放后的图在xy方向上的缩放比为clip_image001[31]

clip_image001[33]

image

由于在原图当中并不存在点P的像素值,为了求得这个对应于缩放后的图像在(i,j)位置的像素值,我们就需要根据该位置周围的4个像素点的像素值进行双线性插值得到该点的像素值,这样我们就可以求得缩放后的图像在位置(i,j)上的像素值了。对缩放后的图像的每个像素点遍历一遍,就可以得到整幅缩放后的图像了。整个思路就是:

image

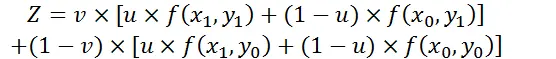
根据上面的双线性插值的公式:

clip_image001[35]

式子当中的clip_image001[37]

所以,经整理可得:

clip_image001[39]

在这里,u、v为浮点坐标的小数部分,是取值[0,1)区间的浮点数。

理论上面已经讲得差不多了,下面来看一下C#的实现代码:

            double xRatio = (double)rect.Width / newRect.Width;//横向比
            double yRatio = (double)rect.Height / newRect.Height;//纵向比

            unsafe
            {
                //源图像的扫描起点
                byte* ptr1 = (byte*)(bmpData1.Scan0);
                //新图像的扫描起点
                byte* ptr2 = (byte*)(bmpData2.Scan0);
                //对新图像的像素点进行遍历
                for (int i = 0; i < bmpData2.Height; i++)
                {
                    double srcY = i * yRatio;//源图像“虚”坐标的y值
                    int IntY = (int)srcY;//向下取整
                    double v = srcY - IntY;//获取小数部分
                    double v1 = 1.0 - v;
                    for (int j = 0; j < bmpData2.Width; j++)
                    {
                        double srcX = j * xRatio;//源图像“虚”坐标的x值
                        int IntX = (int)srcX;//向下取整
                        double u = srcX - IntX;//获取小数部分
                        double u1 = 1.0 - u;

                        int Index00 = IntY * stride1 + IntX * 3;//得到原图左上角的像素位置
                        int Index10;                            //原图左下角的像素位置
                        if (IntY < bmpData1.Height - 1)
                        {
                            Index10 = Index00 + stride1;
                        }
                        else
                        {
                            Index10 = Index00;
                        }
                        int Index01;                            //原图右上角的像素位置
                        int Index11;                            //原图右下角的像素位置
                        if (IntX < bmpData1.Width - 1)
                        {
                            Index01 = Index00 + 3;
                            Index11 = Index10 + 3;
                        }
                        else
                        {
                            Index01 = Index00;
                            Index11 = Index10;
                        }
                        double temp0 = (v1 * (u * ptr1[Index01] + u1 * ptr1[Index00]) +
                                        v * (u * ptr1[Index11] + u1 * ptr1[Index10]));

                        double temp1 = (v1 * (u * ptr1[Index01 + 1] + u1 * ptr1[Index00 + 1]) +
                                        v * (u * ptr1[Index11 + 1] + u1 * ptr1[Index10 + 1]));

                        double temp2 = (v1 * (u * ptr1[Index01 + 2] + u1 * ptr1[Index00 + 2]) +
                                        v * (u * ptr1[Index11 + 2] + u1 * ptr1[Index10 + 2]));

                        ptr2[0] = (byte)temp0;
                        ptr2[1] = (byte)temp1;
                        ptr2[2] = (byte)temp2;
                        ptr2 += 3;
                    }
                    ptr2 += offset2;
                }
            }
 

image

image

参考文章:

blog.sina.com.cn/s/blog_afe2…

blog.csdn.net/qiqi5521/ar…

www.cnblogs.com/Imageshop/a…