机器学习:xgboost的原理没你想像的那么难

1,651 阅读20分钟
原文链接: www.jianshu.com

xgboost 已然火爆机器学习圈,相信不少朋友都使用过。要想彻底掌握xgboost,就必须搞懂其内部的模型原理。这样才能将各个参数对应到模型内部,进而理解参数的含义,根据需要进行调参。本文的目的就是让大家尽可能轻松地理解其内部原理。主要参考文献是陈天奇的这篇文章introduction to xgboost。在我看来,这篇文章是介绍xgboost最好的,没有之一。英语好的同学建议直接看英文,若有不是很理解的地方,再来参考本文。

1、你需要提前掌握的几个知识点

1、监督学习
监督学习就是训练数据有标签的学习。比如说,我有10万条数据,每个数据有100个特征,还有一个标签。标签的内容取决于学习的问题,如果数据是病人进行癌症诊断做的各项检查的结果,标签就是病人是否得癌症。是为1,不是为0.

监督学习就是要从这10万条数据中学习到根据检查结果诊断病人是否得癌症的知识。由于学习的范围限定在这10万条数据中,也就是说,学习的知识必须是从这10万条数据中提炼出来。形象地理解,就是在这10万条带标签数据的“监督”下进行学习。因此称为监督学习。
2、监督学习的成果
监督学习学习到的知识如何表示,又是如何被我们人类使用呢?简单讲,学习到的知识用一个模型来表示,我们人类就用这个模型来使用学习到的知识。
那么,模型是什么东西?
模型就是一个数学表达式。最简单的一个模型就是线性模型,它长这个样子:y^i=∑_j θ_j*x_ij。用我们上面的例子讲,x_i就是我们10万条数据中的第i条,x_ij就是第i条数据中的第j个检查结果。y^i就是模型对这条数据的预测结果,这个值越大,表明病人得癌症的概率也大。通常,我们还需将y^i处理成0到1的值,以更清晰地表明这是一个概率预测,处理的方法一般是用sigmoid函数,不熟悉的朋友可参考其他资料。θ_j就是第j个检查结果对病人是否得癌症的“贡献度”,它是我们模型的参数,也就是我们从10万条数据中学习到的知识。

可见,所谓监督学习,就是两步,一是定出模型确定参数,二是根据训练数据找出最佳的参数值,所谓最佳,从应用角度看,就是最大程度地吸收了10万条训练数据中的知识,但从我们寻找参数的过程来看,却有另一番解释,下文会详细解释,找到最佳参数后,我们就得出一个参数都是已知的模型,此时,知识就在其中,我们可以自由使用。

3、如何找出最佳参数
以上面的线性模型为例,病人有100个检查结果,那么就有100个参数θ_j(j从1到100)。每个参数可取值都是实数,100个参数的组合显然有无穷多个,我们怎么评判一组参数是不是最佳的呢?
此时,我们需要另外一个函数来帮助我们来确定参数是否是最佳的,这就是目标函数(object function)。

目标函数如何确定呢?用我们上面的例子来讲,我们要判断病人是否得癌症,假设我们对上面的线性模型的值y^i进行了处理,将它规约到了0到1之间。我们的10万条训练数据中,得癌症的病人标签为1,没得的标签为0.那么显然,最佳的参数一定就是能够将得癌症的病人全预测为1,没得癌症的病人全部预测为0的参数。这几乎就是完美的参数! 因此,我们的目标函数可以设为MSE函数:obj = ∑_i (sigmoid(∑_jθ_j*x_ij) - y_i)^2

上面的函数的意思就是对第i条数据,将模型预测的值规约到0到1,然后与该条数据的真是标签值(0和1)做差,再求平方。这个平方值越大,表明预测的越不准,就是模型的预测误差,最后,我们将模型对10万条数据的预测误差求和。就得出了一组具体的参数的预测好坏的度量值。

果真这样就完美了吗? 不是的。上面的目标函数仅仅评测了参数对训练数据来说的好坏,并没有评测我们使用模型做预测时,这组参数表现好坏。也就是说,对训练数据来说是好的参数,未必在预测时就是好的。为什么?

  • 一是10万条数据中有错误存在
  • 二是10万条数据未必涵盖了所有种类的样本,举个极端的例子,假如10万条数据全是60岁以上老人的检查结果,我们用学习到的模型取预测一个10岁的小孩,很可能是不准的。

那么,怎么评测一组参数对预测是好是坏呢? 答案是测了才知道!

这不是废话吗。

事实就是这样。真实的预测是最权威的评判。但我们还是可以有所作为的,那就是正则化。

所谓正则化就是对参数施加一定的控制,防止参数走向极端。以上面的例子来说,假如10万条数据中,得癌症的病人都是60岁以上老人,没得癌症的病人都是30岁以下年轻人,检查结果中有一项是骨质密度,通常,老人骨质密度低,年轻人骨质密度高。那么我们学习到的模型很可能是这样的,对骨质密度这项对应的参数θ_j设的非常大,其他的参数都非常小,简单讲,模型倾向于就用这一项检查结果去判断病人是否得癌症,因为这样会让目标函数最小。

明眼人一看便知,这样的参数做预测肯定是不好的。

正则化可以帮助我们规避这样的问题。

常用的正则化就是L2正则,也就是所有参数的平方和。我们希望这个和尽可能小的同时,模型对训练数据有尽可能好的预测。

最后,我们将L2正则项加到最初的目标函数上,就得出了最终的目标函数: obj = ∑_i(sigmoid(∑_j θ_j*x_ij) - y_i)^2 + ∑_j(θ_j^2)

能使这个函数值最小的那组参数就是我们要找的最佳参数。这个obj包含的两项分别称为损失函数和正则项
这里的正则项,本质上是用来控制模型的复杂度。

Notes:
上面,我们为了尽可能简单地说明问题,有意忽略了一些重要的方面。比如,我们的例子是分类,但使用的损失函数却是MSE,通常是不这样用的。
对于回归问题,我们常用的损失函数是MSE,即:

回归.PNG

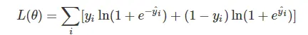
对于分类问题,我们常用的损失函数是对数损失函数:


分类.PNG

乍一看,这个损失函数怪怪的,我们不免要问,为什么这个函数就是能评判一组参数对训练数据的好坏呢?

我们用上面的例子来说明,假如有一条样本,它的标签是1,也就是y_i = 1,那么关于这条样本的损失函数中就只剩下了左边那一部分,由于y_i = 1,最终的形式就是这样的:

对数1.PNG

头上带一个小尖帽的yi就是我们模型的预测值,显然这个值越大,则上面的函数越倾向于0,yi趋向于无穷大时,损失值为0。这符合我们的要求。

同理,对于yi=0的样本也可以做出类似的分析。

至于这个损失函数是怎么推导出来的,有两个办法,一个是用LR,一个是用最大熵。具体的推导过程请参阅其他资料。

2、xgboost

既然xgboost就是一个监督模型,那么我们的第一个问题就是:xgboost对应的模型是什么?
答案就是一堆CART树。
此时,可能我们又有疑问了,CART树是什么?这个问题请查阅其他资料,我的博客中也有相关文章涉及过。然后,一堆树如何做预测呢?答案非常简单,就是将每棵树的预测值加到一起作为最终的预测值,可谓简单粗暴。

下图就是CART树和一堆CART树的示例,用来判断一个人是否会喜欢计算机游戏:

predict1.PNG predict2.PNG

第二图的底部说明了如何用一堆CART树做预测,就是简单将各个树的预测分数相加。

xgboost为什么使用CART树而不是用普通的决策树呢? 简单讲,对于分类问题,由于CART树的叶子节点对应的值是一个实际的分数,而非一个确定的类别,这将有利于实现高效的优化算法。xgboost出名的原因一是准,二是快,之所以快,其中就有选用CART树的一份功劳。

知道了xgboost的模型,我们需要用数学来准确地表示这个模型,如下所示:

predict3.PNG

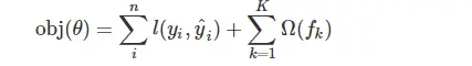
这里的K就是树的棵数,F表示所有可能的CART树,f表示一棵具体的CART树。这个模型由K棵CART树组成。模型表示出来后,我们自然而然就想问,这个模型的参数是什么?因为我们知道,“知识”蕴含在参数之中。第二,用来优化这些参数的目标函数又是什么?

我们先来看第二个问题,模型的目标函数,如下所示:

predict4.PNG

这个目标函数同样包含两部分,第一部分就是损失函数,第二部分就是正则项,这里的正则化项由K棵树的正则化项相加而来,你可能会好奇,一棵树的正则化项是什么?可暂时保持住你的好奇心,后面会有答案。现在看来,它们都还比较抽象,不要着急,后面会逐一将它们具体化。

3、训练xgboost

上面,我们获取了xgboost模型和它的目标函数,那么训练的任务就是通过最小化目标函数来找到最佳的参数组。

问题是参数在哪里?

我们很自然地想到,xgboost模型由CART树组成,参数自然存在于每棵CART树之中。那么,就单一的 CART树而言,它的参数是什么呢? 根据上面对CART树的介绍,我们知道,确定一棵CART树需要确定两部分,第一部分就是树的结构,这个结构负责将一个样本映射到一个确定的叶子节点上,其本质上就是一个函数。第二部分就是各个叶子节点上的分数。

似乎遇到麻烦了,你要说叶子节点的分数作为参数,还是没问题的,但树的结构如何作为参数呢?而且我们还不是一棵树,而是K棵树!

让我们想像一下,如果K棵树的结构都已经确定,那么整个模型剩下的就是所有K棵树的叶子节点的值,模型的正则化项也可以设为各个叶子节点的值的平方和。此时,整个目标函数其实就是一个K棵树的所有叶子节点的值的函数,我们就可以使用梯度下降或者随机梯度下降来优化目标函数。现在这个办法不灵了,必须另外寻找办法。

4、加法训练

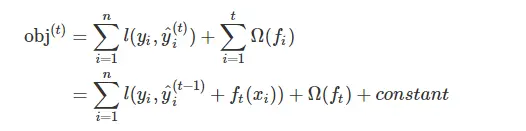
所谓加法训练,本质上是一个元算法,适用于所有的加法模型,它是一种启发式算法。关于这个算法,我的另一篇讲GBDT的文章中有详细的介绍,这里不再重复,不熟悉的朋友,可以看一下。运用加法训练,我们的目标不再是直接优化整个目标函数,这已经被我们证明是行不通的。而是分步骤优化目标函数,首先优化第一棵树,完了之后再优化第二棵树,直至优化完K棵树。整个过程如下图所示:

predict6.PNG

在第t步时,我们添加了一棵最优的CART树f_t,这棵最优的CART树f_t是怎么得来的呢?非常简单,就是在现有的t-1棵树的基础上,使得目标函数最小的那棵CART树,如下图所示:

10.PNG

上图中的constant就是前t-1棵树的复杂度,再忍耐一会儿,我们就会知道如何衡量树的复杂度了,暂时忽略它。

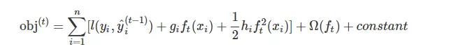
假如我们使用的损失函数时MSE,那么上述表达式会变成这个样子:

11.PNG

这个式子非常漂亮,因为它含有f_t(x_i)的一次式和二次式,而且一次式项的系数是残差。你可能好奇,为什么有一次式和二次式就漂亮,因为它会对我们后续的优化提供很多方便,继续前进你就明白了。
注意:f_t(x_i)是什么?它其实就是f_t的某个叶子节点的值。之前我们提到过,叶子节点的值是可以作为模型的参数的。

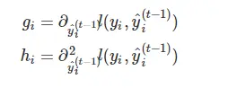
但是对于其他的损失函数,我们未必能得出如此漂亮的式子,所以,对于一般的损失函数,我们需要将其作泰勒二阶展开,如下所示:

12.PNG

其中:

13.PNG

这里有必要再明确一下,gi和hi的含义。gi怎么理解呢?现有t-1棵树是不是?这t-1棵树组成的模型对第i个训练样本有一个预测值y^i是不是?这个y^i与第i个样本的真实标签yi肯定有差距是不是?这个差距可以用l(yi,y^i)这个损失函数来衡量是不是?现在gi和hi的含义你已经清楚了是不是?

如果你还是觉得抽象,我们来看一个具体的例子,假设我们正在优化第11棵CART树,也就是说前10棵 CART树已经确定了。这10棵树对样本(x_i,y_i=1)的预测值是y^i=-1,假设我们现在是做分类,我们的损失函数是


分类.PNG

在y_i=1时,损失函数变成了


image.png

我们可以求出这个损失函数对于y^i的梯度,如下所示:


image.png

将y^i =-1代入上面的式子,计算得到-0.27。这个-0.27就是g_i。该值是负的,也就是说,如果我们想要减小这10棵树在该样本点上的预测损失,我们应该沿着梯度的反方向去走,也就是要增大y^i 的值,使其趋向于正,因为我们的y_i=1就是正的。

来,答一个小问题,在优化第t棵树时,有多少个gi和hi要计算?嗯,没错就是各有N个,N是训练样本的数量。如果有10万样本,在优化第t棵树时,就需要计算出个10万个gi和hi。感觉好像很麻烦是不是?但是你再想一想,这10万个gi之间是不是没有啥关系?是不是可以并行计算呢?聪明的你想必再一次感受到了,为什么xgboost会辣么快!

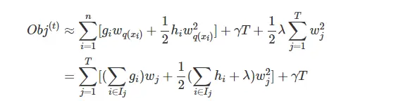
好,现在我们来审视下这个式子,哪些是常量,哪些是变量。式子最后有一个constant项,聪明如你,肯定猜到了,它就是前t-1棵树的正则化项。l(yi, yi^t-1)也是常数项。剩下的三个变量项分别是第t棵CART树的一次式,二次式,和整棵树的正则化项。再次提醒,这里所谓的树的一次式,二次式,其实都是某个叶子节点的值的一次式,二次式。

我们的目标是让这个目标函数最小化,常数项显然没有什么用,我们把它们去掉,就变成了下面这样:

14.PNG

好,现在我们可以回答之前的一个问题了,为什么一次式和二次式显得那么漂亮。因为这些一次式和二次式的系数是gi和hi,而gi和hi可以并行地求出来。而且,gi和hi是不依赖于损失函数的形式的,只要这个损失函数二次可微就可以了。这有什么好处呢?好处就是xgboost可以支持自定义损失函数,只需满足二次可微即可。强大了我的哥是不是?

5、模型正则化项

上面的式子已然很漂亮,但是,后面的Ω(ft)仍然是云遮雾罩,不清不楚。现在我们就来定义如何衡量一棵树的正则化项。这个事儿并没有一个客观的标准,可以见仁见智。为此,我们先对CART树作另一番定义,如下所示:


16.PNG

需要解释下这个定义,首先,一棵树有T个叶子节点,这T个叶子节点的值组成了一个T维向量w,q(x)是一个映射,用来将样本映射成1到T的某个值,也就是把它分到某个叶子节点,q(x)其实就代表了CART树的结构。w_q(x)自然就是这棵树对样本x的预测值了。

有了这个定义,xgboost就使用了如下的正则化项:

17.PNG

注意:这里出现了γ和λ,这是xgboost自己定义的,在使用xgboost时,你可以设定它们的值,显然,γ越大,表示越希望获得结构简单的树,因为此时对较多叶子节点的树的惩罚越大。λ越大也是越希望获得结构简单的树。

为什么xgboost要选择这样的正则化项?很简单,好使!效果好才是真的好。

6、见证奇迹的时刻

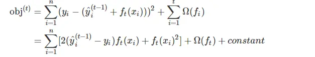
至此,我们关于第t棵树的优化目标已然很清晰,下面我们对它做如下变形,请睁大双眼,集中精力:

18.PNG

这里需要停一停,认真体会下。Ij代表什么?它代表一个集合,集合中每个值代表一个训练样本的序号,整个集合就是被第t棵CART树分到了第j个叶子节点上的训练样本。理解了这一点,再看这步转换,其实就是内外求和顺序的改变。如果感觉还有困难,欢迎评论留言。

进一步,我们可以做如下简化:

19.PNG

其中的Gj和Hj应当是不言自明了。

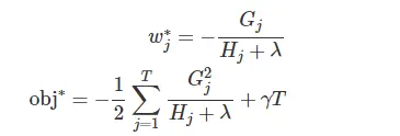
对于第t棵CART树的某一个确定的结构(可用q(x)表示),所有的Gj和Hj都是确定的。而且上式中各个叶子节点的值wj之间是互相独立的。上式其实就是一个简单的二次式,我们很容易求出各个叶子节点的最佳值以及此时目标函数的值。如下所示:

20.PNG

obj*代表了什么呢? 它表示了这棵树的结构有多好,值越小,代表这样结构越好!也就是说,它是衡量第t棵CART树的结构好坏的标准。注意~注意~注意~,这个值仅仅是用来衡量结构的好坏的,与叶子节点的值可是无关的。为什么?请再仔细看一下obj*的推导过程。obj*只和Gj和Hj和T有关,而它们又只和树的结构(q(x))有关,与叶子节点的值可是半毛关系没有。如下图所示:

23.PNG

Note:这里,我们对w*_j给出一个直觉的解释,以便能获得感性的认识。我们假设分到j这个叶子节点上的样本只有一个。那么,w*_j就变成如下这个样子:


image.png

这个式子告诉我们,w*_j的最佳值就是负的梯度乘以一个权重系数,该系数类似于随机梯度下降中的学习率。观察这个权重系数,我们发现,h_j越大,这个系数越小,也就是学习率越小。h_j越大代表什么意思呢?代表在该点附近梯度变化非常剧烈,可能只要一点点的改变,梯度就从10000变到了1,所以,此时,我们在使用反向梯度更新时步子就要小而又小,也就是权重系数要更小。

7、找出最优的树结构

好了,有了评判树的结构好坏的标准,我们就可以先求最佳的树结构,这个定出来后,最佳的叶子结点的值实际上在上面已经求出来了。

问题是:树的结构近乎无限多,一个一个去测算它们的好坏程度,然后再取最好的显然是不现实的。所以,我们仍然需要采取一点策略,这就是逐步学习出最佳的树结构。这与我们将K棵树的模型分解成一棵一棵树来学习是一个道理,只不过从一棵一棵树变成了一层一层节点而已。如果此时你还是有点蒙,没关系,下面我们就来看一下具体的学习过程。
我们以上文提到过的判断一个人是否喜欢计算机游戏为例子。最简单的树结构就是一个节点的树。我们可以算出这棵单节点的树的好坏程度obj*。假设我们现在想按照年龄将这棵单节点树进行分叉,我们需要知道:
1、按照年龄分是否有效,也就是是否减少了obj的值
2、如果可分,那么以哪个年龄值来分。

为了回答上面两个问题,我们可以将这一家五口人按照年龄做个排序。如下图所示:

29.PNG

按照这个图从左至右扫描,我们就可以找出所有的切分点。对每一个确定的切分点,我们衡量切分好坏的标准如下:

27.PNG

这个Gain实际上就是单节点的obj*减去切分后的两个节点的树obj*,Gain如果是正的,并且值越大,表示切分后obj*越小于单节点的obj*,就越值得切分。同时,我们还可以观察到,Gain的左半部分如果小于右侧的γ,则Gain就是负的,表明切分后obj反而变大了。γ在这里实际上是一个临界值,它的值越大,表示我们对切分后obj下降幅度要求越严。这个值也是可以在xgboost中设定的。

扫描结束后,我们就可以确定是否切分,如果切分,对切分出来的两个节点,递归地调用这个切分过程,我们就能获得一个相对较好的树结构。

注意:xgboost的切分操作和普通的决策树切分过程是不一样的。普通的决策树在切分的时候并不考虑树的复杂度,而依赖后续的剪枝操作来控制。xgboost在切分的时候就已经考虑了树的复杂度,就是那个γ参数。所以,它不需要进行单独的剪枝操作。

8、大功告成

最优的树结构找到后,确定最优的叶子节点就很容易了。我们成功地找出了第t棵树!撒花!!!