本系列教程特点:
基于《机器学习实战》
尽量避免讲太多数学公式,通过简单直白的方式讲解各算法的原理
对于算法实现的代码进行详细讲解哪些读者可以食用:
了解机器学习的基本术语
会Python语言
会numpy和pandas库的使用
写在前面
Logistic回归涉及到高等数学,线性代数,概率论,优化问题。本文尽量以最简单易懂的叙述方式,以少讲公式原理,多讲形象化案例为原则,给读者讲懂Logistic回归。如对数学公式过敏,引发不适,后果自负。
Logistic回归原理与推导
Logistic回归中虽然有回归的字样,但该算法是一个分类算法,如图所示,有两类数据(红点和绿点)分布如下,如果需要对两类数据进行分类,我们可以通过一条直线进行划分(w0 * x0 + w1 * x1+w2 * x2)。当新的样本(x1,x2)需要预测时,带入直线函数中,函数值大于0,则为绿色样本(正样本),否则为红样本(负样本)。 推广到高维空间中,我们需要得到一个超平面(在二维是直线,在三维是平面,在n维是n-1的超平面)切分我们的样本数据,实际上也就是求该超平面的W参数,这很类似于回归,所以取名为Logistic回归。

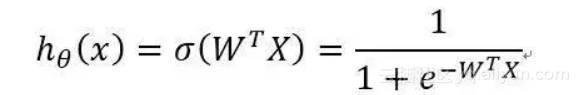
sigmoid函数
当然,我们不直接使用z函数,我们需要把z值转换到区间[0-1]之间,转换的z值就是判断新样本属于正样本的概率大小。我们使用sigmoid函数完成这个转换过程,公式如下。通过观察sigmoid函数图,如图所示,当z值大于0时,σ值大于0.5,当z值小于0时,σ值小于于0.5。利用sigmoid函数,使得Logistic回归本质上是一个基于条件概率的判别模型。

目标函数
其实,我们现在就是求W,如何求W呢,我们先看下图,我们都能看出第二个图的直线切分的最好,换句话说,能让这些样本点离直线越远越好,这样对于新样本的到来,也具有很好的划分,那如何用公式表示并计算这个目标函数呢?

我们把sigmoid公式应用到z函数中:

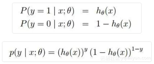
通过条件概率可推出下面公式,对公式进行整合为一个,见下。

假定样本与样本之间相互独立,那么整个样本集生成的概率即为所有样本生成概率的乘积:

这个公式过于复杂,不太容易求导,这里通过log转换:

这时就需要这个目标函数的值最大,以此求出θ。
梯度上升法
在介绍梯度上升法之前,我们看一个中学知识:求下面函数在x等于多少时,取最大值。

函数图:

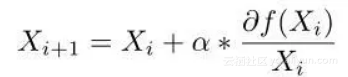
解:求f(x)的导数:2x,令其为0,求得x=0时,取最大值为0。但在函数复杂时,求出导数也很难计算函数的极值,这时就需要使用梯度上升法,通过迭代,一步步逼近极值,公式如下,我们顺着导数的方向(梯度)一步步逼近。

利用梯度算法计算该函数的x值:
def f(x_old):
return -2*x_old
def cal():
x_new = -6
x_old = 0
eps = 0.01
while abs(x_new-x_old)>presision:
presision = 0.00001
x_old=x_new
-0.0004892181072978443
x_new=x_old+eps*f(x_old)
return x_new
目标函数求解
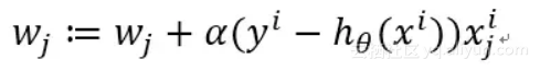
这里,我们对函数求偏导,得到迭代公式如下:

Logistic回归实践
数据情况
读入数据,并绘图显示:
def loadDataSet():
dataMat = [];labelMat = []
fr = open('数据/Logistic/TestSet.txt')
for line in fr.readlines():
dataMat.append([1.0, float(lineArr[0]), float(lineArr[1])])
lineArr = line.strip().split()
return dataMat, labelMat
labelMat.append(int(lineArr[2]))

训练算法
利用梯度迭代公式,计算W:
def sigmoid(inX):
return 1.0/(1 + np.exp(-inX))
def gradAscent(dataMatIn, labelMatIn):
dataMatrix = np.mat(dataMatIn)
labelMat = np.mat(labelMatIn).transpose()
m,n = np.shape(dataMatrix)
alpha = 0.001
maxCycles = 500
h = sigmoid(dataMatrix * weights)
weights = np.ones((n,1))
for k in range(maxCycles):
error = labelMat - h
return weights
weights = weights + alpha * dataMatrix.transpose() * error
通过计算的weights绘图,查看分类结果:

算法优缺点
-
优点:易于理解和计算
-
缺点:精度不高
原文发布时间为:2018-06-23 本文作者:罗罗攀 本文来自云栖社区合作伙伴“Python爱好者社区”,了解相关信息可以关注“ Python爱好者社区”。