之前已经谈过了树的存储结构,并且说到顺序存储对树这一种一对多的关系的结构实现起来比较困难。但是二叉树是一种特殊的树,由于它的特殊性,使得用顺序存储结构也可以实现。
二叉树的顺序存储结构
二叉树的顺序存储结构就是用一维数组存储二叉树中的结点,并且结点的存储位置,也就是数组的下标,要能体现结点之间的逻辑关系,如双亲与孩子的关系,左右兄弟的关系等。
先来看完全二叉树的顺序存储,一棵完全二叉树如图所示:

将这颗二叉树存入到数组中,相应的下表对应其同样的位置,如图:

由于二叉树严格的定义,所以用顺序存储结构也可以表现出二叉树的结构来。
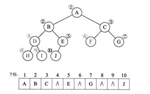
当然对于一般的二叉树,尽管层序编号不能反映逻辑关系,但是可以将其按完全二叉树编号,只不过,把不存在的结点设置为^就可以。下图浅色部分表示不存在:

考虑一种极端的情况,一棵深度为k的右斜树,他只有k个结点,却需要分配2的k次-1个存储单元,造成明显的浪费,如图,所以顺序存储结构一般只用于完全二叉树:

二叉链表
既然顺序存储适用性不强,就要考虑链式存储结构。
**二叉树最多有两个孩子,所以为他设计一个数据域和两个指针域是最合适不过的,我们把这样的链表叫做二叉链表。**结构图如下:

其中data是数据域,lchild和rchild都是指针域,分别存放指向左孩子和右孩子的指针。

就如同树的存储结构一样,如果需要,还可以增加一个指向其双亲结点的指针域,这样就叫做三叉链表。由于与树的存储结构类似,就不再详细描述了,不了解的可以阅读这篇文章:数据结构学习笔记——树(上)
更多精彩内容,关注我的微信公众号——Android机动车
