欢迎大家前往腾讯云+社区,获取更多腾讯海量技术实践干货哦~
本文由wataloo发表在专栏wataloo的试验田
1 设计概要
1.1 设计原则和目的
英雄AI的目的主要有:
1.新手过渡局,让玩家刚进入到游戏时,和较弱电脑对战,培养成就感,避免尚未熟悉游戏导致的挫折流失。
2.人机对战,给玩家练习新英雄或者挑战高难度电脑的机会。
3.温暖局,对连败玩家,匹配机器人去补偿一场胜利,舒缓连败挫折。
4.掉线托管,用强度合理的AI来补位掉线玩家,减少其他在线玩家的掉线局有损体验。
英雄AI的设计原则是:优秀的AI并不要求是尽量的和人表现一致,也不是多么的精准和无懈可击,而是能够和玩家进行很好的交互,提升游戏体验。
1.2 设计思路
我们的AI实现分为四个阶段,正好类似于玩家的成长。
第一阶段是基本战术AI,主要包括:混线,买装备,逃避危险,回城,补兵。是一种单兵作战AI。模仿新手玩家的刚刚开始学习操作。
第二阶段是增加一些事件响应用来控制英雄的走位和换线,包括敌塔下撤退,救援己方塔,包括抱团。模仿玩家已经开始渐渐了解塔的属性,初步开始与其他玩家合作。
第三阶段是协同战术AI,该AI周期性的判断是否应该果断出击打出一波局部进攻。它会在比较短的时间内控制局部范围内的单位一起行动,会有走位,配合使用技能等较细致的行为,是一种小团队AI。模仿玩家已经开始熟悉所有英雄,微操提升,对Gank略有心得。
第四阶段是战略AI,整体协调全部玩家在地图上的分布,野区,兵线。模仿玩家已经有较强的团队意识,会分工和配合了。
2 名词解释
1. **单体战术AI:**每个英雄都会配备自己独特的战术AI,此AI将实现战斗细节,比如英雄何时该释放技能,对谁释放;如何走位规避风险或者形成Gank优势站位;怎么补兵;购买贩卖何种道具;何时追击何时逃跑等等。
2. 全局AI:全局AI是一种综合考虑场上所有战斗因素之后对单体发布指令的控制器。全局AI所关注的事情主要有:兵线英雄的分布,Gank发动时机,逃避危险,救援建筑。全局AI是通过给单位添加指令buff和修改单体战术AI的参数来实现的。
3. AI参数:我们将尽可能的暴露出AI的各种行为参数,并通过AI参数来控制电脑的AI难度强度。高难度AI,意味着它优先使用较高收益的战略。而低难度AI则可以选择比较低收益的战略。我们的不同难度AI是通过修改AI的一系列参数来实现的。
4. 行为树:树形结构的行为流程处理,每个Tick到来时,行为树按照一定的规则进行搜索和执行相应节点,直到到达某个返回true的叶节点,之后结束当前Tick。
5. Gank 小组:Gank小组是一个动态的局部的概念,当我方英雄A周边有敌对英雄时,英雄A就是属于某个Gank小组的,Gank小组的其他成员必须和A距离很近。
6. Gank 行为:Gank行为是一种对集体行为的模仿,其本质仍然是单体AI,但Gank发动时机是通过全局AI来控制的。处于Gank状态的机器人会表现出与单体行动很不一样的行为,比如坦克可能宁死也不撤退,ADC优先释放控制技能。
3 行为树实现
3.1行为树脑图
行为树脑图是一个多叉树,各个父节点的所有子节点节点按照从左到右、从上到下的顺序逐个检测,只要返回True了,之下的节点都不再执行。灰色注释为节点执行的先决条件,灰色节点不满足则直接返回False。脑图中的

对应着行为树中的Selector节点。
行为树工具基本思想都一致,但使用起来还是有较大差别的。常见的是Unity3D的BehaviorDesigner插件,虚幻四自带的行为树组件,公司内部的Behaviac。我最喜欢的是BehaviorDesigner,学习时还是推荐Behaviac,传送门:www.behaviac.com/language/zh…
原因比较简单,只有它是中文。

这是一个尚未展开的行为树,每个超链接都对应一个子树,会逐个展开来讲解。
3.1.1购买道具

英雄购买道具需要提前写好英雄对应的阶段道具设置。
比如:

每隔一段时间检测一次金钱是否可以买卖下阶段的道具。
3.1.2濒死逃亡

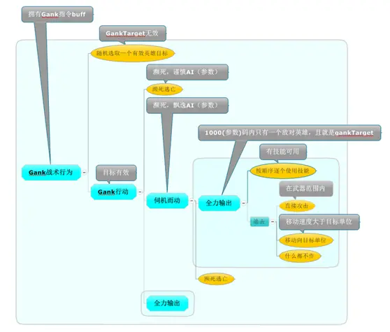
3.1.3 Gank战术行为

每个英雄都需要单独编写此子树。首先搜寻最优攻击目标,而后检测是否能用技能组合一次秒之。
最优技能释放目标搜索
满足以下条件的单位应该优先被锁定:
1.HP较低
2.AP或者MP较高
3.物理或魔法护甲较低
4.处在友方其他英雄攻击范围内
我们可以使用如下计算公式(本文里面的任何公式都不一定是最优解的,但都满足定性的设计要求):

其中a,b为参数,AllyNearBy为敌方英雄600码内我方英雄数量,每增加一个盟友,敌人的诱惑程度增加b。推荐参数值a=0.7, b=0.3
技能是否使用只对最优释放目标进行考虑。
3.1.4推兵线

英雄磨血节点需要考虑收益,计算公式:

收益值要考虑率较多因素,包括敌我双方血量,敌方英雄的同盟单位,收益值可能为负值。
3.1.5执行AI行动指令

AI行动指令一般都是通过行为树之外的全局AI脚本来产生,并通知给AI行为树。常见的使用方式是,用一个全局AI脚本来产生各种指令,将指令传递给行为树,实现全局AI控制单位。
3.2 AI事件响应
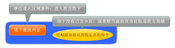
3.2.1英雄躲避塔的攻击

避免英雄冲塔行为。
3.2.2全局GankAI

周期计算Gank形势。通知AI是否该Gank或者集体逃亡。
3.2.3救援塔

当塔受到攻击时触发,用来产生AI指令,控制AI行为。
3.2.4兵线分布调整

当游戏运行时间超过6分钟时,AI要开始抱团,强推一路,之后每三分钟都要进行一次抱团检测。
兵线危机值计算:
兵线局势需要考察的因素:英雄数量,士兵数量,塔的数量,前塔的HP,推荐公式:

其中a,b,c为参数,Lane表示兵线1,2,3。对应10v10游戏推荐参数设置:a=8, b=2, c=6, d=0.2,e=20
兵线危机值可以是负值,危机值越高则兵线越危险,值越低则兵线越安全。我们每10秒计算一次兵线危机值,根据兵线的状况来决定是否援助和抱团。
抱团是一个较为稳定的行为,我们设定每次防守抱团之后都要锁定切换兵线行为3分钟,进攻抱团锁定2分钟。
从另外两条兵线抽调英雄到最危险兵线。派遣数量服从规律:抽调后兵线上 我方英雄数目/敌方英雄数目>0.65(参数),尽可能多抽调英雄,但也确保不会让被抽调的兵线变得很不安全。派遣数目可以是0,表示全线吃紧,每条兵线都无法抽调英雄去支援其他兵线。初期,每条兵线最少也要保留一个英雄。
3.3 Gank详解
3.3.1 Gank行为基本设定
首先要明确几个设计前提:
1.Gank行为优先级要高于单体行为优先级,或者说,Gank行为执行期间会屏蔽掉大多数单体AI行为。
2.Gank行为需要考虑到局部范围内(比如说整个屏幕)所有单位(包括敌方),而后控制所有我方英雄一起行动。
3.Gank AI控制下的机器人可能会表现出和单体AI完全不一致的行为,比如肉可能直接冲到敌人人堆中,吸收仇恨,至死方休;ADC和APC最优先的策略可能不是输出,而是控制;部分机器人输出伤害优先级要高于逃避危险。
4.Gank行为并非常态。达成一定条件之后才会触发。比如某个时刻敌我力量对比呈现一边倒
Gank小队的生成
Gank是局部小团队行为。必须考察周边敌我英雄和塔的个数,英雄和塔的潜在杀伤。Gank是个局部行为,只有距离很近的那些单位才会被认为是处于同一个Gank小组内。Gank小组是个动态变化的单位组。需要每隔一段时间重新生成一次。
生成方案:
寻找Gank中心英雄,Gank中心英雄只是根据位置搜索产生的,并不意味着它们会在Gank中处于核心地位。每隔一个周期(2秒,参数)先遍历某阵营场上全部英雄,统计这些英雄身边敌对英雄的数目。并按照递减顺序排列。身边敌对英雄越多,该英雄越可能处于Gank中心位置。按顺序遍历己方英雄(只遍历身边有敌对英雄的),如果它们还未参与Gank,则以该英雄为中心,在一定半径(2000,参数)内搜索敌我未参与Gank的英雄,将盟友英雄写入Gank小队,并标记它们已经参与Gank了,将敌方英雄写入Gank目标小队(目标小队并不是敌方的实际Gank小队,敌方的实际Gank小队生成方式和我方一致)。如此,所有可能正处于交战状态的英雄就按照区域划分到了不同的Gank小组。
Gank的发起和结束
Gank小队是动态生成的,每一时刻Gank小队都是存在的,但发起Gank行为是需要条件的。
每隔一段时间要检测一下Gank小队的实力对比.
1. 如果我放Gank小队实力明显强于目标敌方小队,则发动Gank,并锁定5(参数)秒。Gank期间英雄优先执行Gank AI,屏蔽掉单体行为。Gank结束锁定后。重新生成Gank小组,重新判断形势,决定是否发起新的Gank。
2. 当我方Gank小队实力明显弱于敌方时,集体执行撤退到己方前沿塔。但并不进入Gank行为。
3. 均衡局面,如果有敌方单位可秒(可秒的含义是,gank小组的输出期望是目标单位hp的1.6(参数)倍),则立刻发动Gank。否则调整我方站位,综合防御最强的英雄位置保持不变,脆皮远离敌小队中心,但不能离开坦克超过(1000参数)。调整站位是单体AI行为,战略AI通过参数来控制单体行为(发送指令buff,发送目标位置)。
3.3.2技能伤害量化
如果希望AI精准的释放技能,量化技能伤害是至关重要的。并不是所有技能都是直接立即伤害的,AI要怎么理解自己的被动技能和buff技能?
我们做的处理是:
- 默认在一次Gank周期中AI可以普通攻击三次,或者5秒。
- 将被动技能,比如暴击和加速之类的,直接量化为三次攻击或5秒攻击中的伤害收益。
- 晕眩技能根据晕眩时间量化成额外伤害百分比。
- 辅助技能仅仅起加强队友作用的,伤害量化为0
当技能全部量化成具体数字之后,就能计算每个英雄在单次Gank中的伤害输出期望值了。
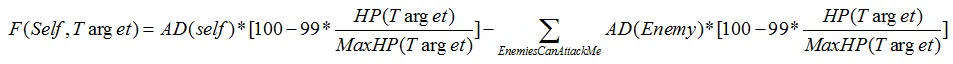
英雄威胁值
我们用英雄威胁值来表征英雄在单次Gank中的伤害输出期望值。
威胁值的计算:
首先遍历场上所有英雄,根据英雄技能等级和CD状态预估出来技能的三种伤害(物理,魔法,真实)数据。
对峙双方如果威胁值总和差别很大(参数60%),则认为非均衡局面出现。优势一方会立刻发起Gank,进入团战模式。而劣势一方会立刻进入集体撤退状态。
威胁值相差不是很大时,英雄表现为单兵行动。此时威胁值的主要作用是敌对目标选择。
3.3.3 GankTarget选择
GankTarget的选择方式——寻找最具吸引力的敌方单位,改进版的吸引力公式:

这个公式综合考虑的因素有:敌人是否高AD或者高AP?物理护甲和魔法护甲如何?当前血量?我方集火的情况下,伤害总输出能杀死他几次?
最大吸引值得敌方英雄会成为Gank小组的共同目标
4 总结
在本文中,我们按照从零开始逐步展开,完整描述了MOBA英雄AI的设计流程。限于篇幅,我们仅仅描述了最核心的框架,诸多细节都未展开。在手游 MOBA《全民超神》项目中,按照这个框架,我们在短短一个月时间内就实现了英雄AI。
本方案原创了两个核心设定:Gank和技能伤害量化。
Gank的设定让AI能够有效的躲避危险,也能很精准的捕捉战机,完成很多让人赞叹的绝妙击杀。
伤害量化,让AI理解自己技能的特性。对AI行为收益优化帮助很大。
问答
相关阅读
用人工智能打王者荣耀:匹茨堡大学&腾讯AI Lab为游戏AI引入MCTS方法
此文已由作者授权腾讯云+社区发布,原文链接:https://cloud.tencent.com/developer/article/1146677?fromSource=waitui
欢迎大家前往腾讯云+社区或关注云加社区微信公众号(QcloudCommunity),第一时间获取更多海量技术实践干货哦~