概述
神经网络结构由输入层,隐藏层和输出层构成,神经网络中的每一个结点都与上一层所有的结点都有连接,我们称之为全连接,如下图

在图中的神经网络中,原始的输入数据,通过第一层隐含层的计算得出的输出数据,会传到第二层隐含层。而第二层的输出,又会作为输出层的输入数据。
向前传播
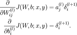
计算出输入层数据传输到隐藏层:
由下图可知我们可以计算出隐藏层的第一个神经元的值:

其中为激活函数
由下图可知我们可以计算出隐藏层的第二个神经元的值:

由下图可知我们可以计算出隐藏层的第三个神经元的值:

到此我们己经算出所有从输入层到隐藏层的所有值。
计算隐藏层到输出层的过程:
由下图可知我们可以计算出隐藏层到第一个输出神经元的值:

同理可以得出,
的值:
为了简化我们以后的数据处理流程,现在我们设第层的输入数据为向量
,权重为
,偏置变量为
。则我们从上面的求解流程可以得出
层的数据为:
至此神经网络的前向传播过程己经讲完。
反向传播
反向转播的思想就是,我们通过前向传播后计算出网络的输出值,知道输出值后我们就可以求出输出层的残差,再从输出层反向把残差传回各层的神经元中。
假设我们有一个固定样本集 ,它包含
个样例。我们可以用批量梯度下降法来求解神经网络。具体来讲,对于单个样例
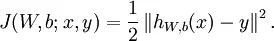
,其代价函数如下图(摘自网络):

我们可以定义整体代价函数如下图(摘自网络):
以上关于定义中的第一项是一个均方差项。第二项是一个规则化项(也叫权重衰减项),其目的是减小权重的幅度,防止过度拟合。
有了总体代价函数后,我们的目标可以转化成求代价函数的最小值。我们使用梯度下降算法求代价函数的最小值,所以我们得出以下公式:
我们对总体代价函数求偏导:
通过上面两个式子可以看出,我们把问题转化成求与
的值
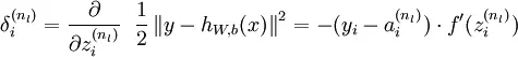
所以对于第 层(输出层)的每个输出单元
,我们根据以下公式计算残差(下图摘自网络):

对 的各个层,第
层的第
个节点的残差计算方法如下(下图摘自网络):

计算我们需要的偏导数,计算方法如下:

BP神经网络python实现
# -*- coding: utf-8 -*-
'''
Created on
@author: Belle
'''
from numpy.random.mtrand import randint
import numpy as np
'''双曲函数'''
def tanh(value):
return (1 / (1 + np.math.e ** (-value)))
'''双曲函数的导数'''
def tanhDer(value):
tanhValue = tanh(value)
return tanhValue * (1 - tanhValue)
'''
Bp神经网络model
'''
class BpNeuralNetWorkModel:
def __init__(self, trainningSet, label, layerOfNumber, studyRate):
'''学习率'''
self.studyRate = studyRate
'''计算隐藏层神经元的数量'''
self.hiddenNeuronNum = int(np.sqrt(trainningSet.shape[1] + label.shape[1]) + randint(1, 10))
'''层数据'''
self.layers = []
'''创建输出层'''
currentLayer = Layer()
currentLayer.initW(trainningSet.shape[1], self.hiddenNeuronNum)
self.layers.append(currentLayer)
'''创建隐藏层'''
for index in range(layerOfNumber - 1):
currentLayer = Layer()
self.layers.append(currentLayer)
'''输出层后面不需要求权重值'''
if index == layerOfNumber - 2:
break
nextLayNum = 0
'''初始化各个层的权重置'''
if index == layerOfNumber - 3:
'''隐藏层到输出层'''
nextLayNum = label.shape[1]
else:
'''隐藏层到隐藏层'''
nextLayNum = self.hiddenNeuronNum
currentLayer.initW(self.hiddenNeuronNum, nextLayNum)
'''输出层的分类值'''
currentLayer = self.layers[len(self.layers) - 1]
currentLayer.label = label
'''神经网络前向传播'''
def forward(self, trainningSet):
'''计算输入层的输出值'''
currentLayer = self.layers[0]
currentLayer.alphas = trainningSet
currentLayer.caculateOutPutValues()
preLayer = currentLayer
for index in range(1, len(self.layers)):
currentLayer = self.layers[index]
'''上一层的out put values就是这一层的zValues'''
currentLayer.zValues = preLayer.outPutValues
'''计算alphas'''
currentLayer.caculateAlphas()
'''最后一层不需要求输出值,只要求出alpha'''
if index == len(self.layers) - 1:
break
'''输入层计算out puts'''
currentLayer.caculateOutPutValues()
'''指向上一层的layer'''
preLayer = currentLayer
'''神经网络后向传播'''
def backPropogation(self):
layerCount = len(self.layers)
'''输出层的残差值'''
currentLayer = self.layers[layerCount - 1]
currentLayer.caculateOutPutLayerError()
'''输出层到隐藏层'''
preLayer = currentLayer
layerCount = layerCount - 1
while layerCount >= 1:
'''当前层'''
currentLayer = self.layers[layerCount - 1]
'''更新权重'''
currentLayer.updateWeight(preLayer.errors, self.studyRate)
if layerCount != 1:
currentLayer.culateLayerError(preLayer.errors)
layerCount = layerCount - 1
preLayer = currentLayer
'''
创建层
'''
class Layer:
def __init__(self):
self.b = 0
'''使用正态分布的随机值初始化w的值'''
def initW(self, numOfAlpha, nextLayNumOfAlpha):
self.w = np.mat(np.random.randn(nextLayNumOfAlpha, numOfAlpha))
'''计算当前层的alphas'''
def caculateAlphas(self):
'''alpha = f(z)'''
self.alphas = np.mat([tanh(self.zValues[row1,0]) for row1 in range(len(self.zValues))])
'''求f'(z)的值(即f的导数值)'''
self.zDerValues = np.mat([tanhDer(self.zValues[row1,0]) for row1 in range(len(self.zValues))])
'''计算out puts'''
def caculateOutPutValues(self):
'''计算当前层z = w * alpha的的下一层的输入值'''
self.outPutValues = self.w * self.alphas.T + self.b
'''计算输出层的残差'''
def caculateOutPutLayerError(self):
self.errors = np.multiply(-(self.label - self.alphas), self.zDerValues)
print("out put layer alphas ..." + str(self.alphas))
'''计算其它层的残差'''
def culateLayerError(self, preErrors):
self.errors = np.mat([(self.w[:,column].T * preErrors.T * self.zDerValues[:,column])[0,0] for column in range(self.w.shape[1])])
'''更新权重'''
def updateWeight(self, preErrors, studyRate):
data = np.zeros((preErrors.shape[1], self.alphas.shape[1]))
for index in range(preErrors.shape[1]):
data[index,:] = self.alphas * (preErrors[:,index][0,0])
self.w = self.w - studyRate * data
'''
训练神经网络模型
@param train_set: 训练样本
@param labelOfNumbers: 训练总类别
@param layerOfNumber: 神经网络层数,包括输出层,隐藏层和输出层(默认只有一个输入层,隐藏层和输出层)
'''
def train(train_set, label, layerOfNumber = 3, sampleTrainningTime = 5000, studyRate = 0.6):
neuralNetWork = BpNeuralNetWorkModel(train_set, label, layerOfNumber, studyRate)
'''训练数据'''
for row in range(train_set.shape[0]):
'''当个样本使用梯度下降的方法训练sampleTrainningTime次'''
for time in range(sampleTrainningTime):
'''前向传播 '''
neuralNetWork.forward(train_set[row,:])
'''反向传播'''
neuralNetWork.backPropogation()
测试代码
# -*- coding: utf-8 -*-
'''
Created on 2018��5��27��
@author: Belle
'''
import BpNeuralNetWork
import numpy as np
train_set = np.mat([[0.05, 0.1], [0.3, 0.2]])
labelOfNumbers = np.mat([0.1, 0.99, 0.3])
layerOfNumber = 4
bpNeuralNetWork = BpNeuralNetWork.train(train_set, labelOfNumbers, layerOfNumber)
以下是测试代码的输出值
