数据结构——二叉树遍历

531 阅读4分钟

二叉树遍历原理

二叉树的遍历:是指从根结点出发,按照某种次序依次访问二叉树中的所有结点,使得每个结点被访问一次且仅被访问一次。

这里有两个关键词:访问和次序。

访问其实是要根据实际的需要来确定具体做什么,比如对每个结点进行相关计算,输出打印等。它算作是一个抽象操作。

二叉树的遍历次序不同于线性结构,最多也就是从头到尾、循环和双向等简单的遍历方式。树的结点之间不存在唯一的前驱和后继关系,在访问一个结点后,下一个被访问的结点面临着不同的选择。

二叉树遍历方法

二叉树的遍历方式可以有很多,如果我们限制从左到右的顺序,就主要分为四种:

  1. 前序遍历
  2. 中序遍历
  3. 后序遍历
  4. 层序遍历

1、前序遍历

若二叉树为空,则空操作返回,否则先访问根结点,然后前序遍历左子树,再前序遍历右子树。如下图遍历顺序为:ABDGHCEIF。

这里写图片描述

2、中序遍历

若二叉树为空,则空操作返回,否则从根结点开始(注意并不是先访问根结点),中序遍历根结点左子树,然后访问根结点,最后中序遍历右子树,如下图遍历顺序为:GDHBAEICF。

这里写图片描述

3、后序遍历

若二叉树为空,则空操作返回,否则从左到右先叶子后结点的方式遍历访问左右子树,最后是访问根结点,如下图遍历顺序为:GHDBIEFCA。

这里写图片描述

4、层序遍历

若二叉树为空,则空操作返回,否则从树的第一层开始,也就是从根结点开始访问,从上而下逐层遍历,在同一层中,按从左到右的顺序对结点逐个访问,如下图遍历顺序为:ABCDEFGHI。

这里写图片描述

我们提到的四种遍历方式,其实都是在把树种的结点编程某种意义上的线性序列,这样给程序执行带来了好处。

层序遍历很好理解,就是逐层遍历,每层从左到右逐个遍历;前序、中序、后序遍历最根本的区别就是双亲结点的访问时机:前序是先访问双亲结点,然后左孩子,最后右孩子;中序是左孩子,双亲,右孩子;后序是左孩子、右孩子最后双亲结点。

树的定义就使用了递归这一方式,当然,对树的遍历也是使用递归(注意递归算法一定要有结束递归的标志),关于二叉树遍历的算法,就不再详细描述了。

推导遍历结果

有一种题目是为了考察你对二叉树遍历的掌握程度,会这样出题:已知一棵二叉树的前序遍历顺序是ABCDEF,中序遍历顺序是CBAEDF,请问这棵树的后序遍历是什么?

对于这样的题目,如果真正了解各种遍历规则,其实是不难的。

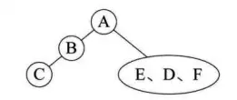
三种遍历都是从根结点开始,前序遍历是先打印再递归左和右,所有前序遍历序列为ABCDEF,第一个字母A就是根结点;再由中序遍历序列CBAEDF,可以只带C和B是A的左子树上的结点,E、D、F是A的右子树上的结点,我们可以得到以下这样的图:

这里写图片描述

然后再看前序序列中的C和B,先B再C,所以B应该是A的左孩子,C就只能说B的孩子了,至于C是B的左还是右孩子,再看中序序列CBAEDF,C在B之前打印,说明C是B的左孩子,如图:

这里写图片描述

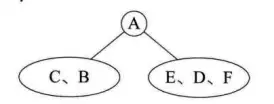
再看前序中的E、D、F,他们的顺序是ABCDEF,意味着D是A的右孩子,E和F是D的子孙(注意,他们中有一个不一定是孩子,还可能是孙子)。再看中序序列是CBAEDF,E在D的左侧,F在右侧,所以E是D的左孩子,F是D的右孩子,如图:

这里写图片描述

为了避免推导失误,我们最好自己再按此树推导一遍前序和中序遍历序列。根据二叉树结构图,轻松得到后序遍历为CBEFDA。

这里我们可以得到两个二叉树遍历的性质:

  1. 已知前序遍历序列和中序遍历序列,可以唯一确定一棵二叉树;
  2. 已知后序遍历序列和中序遍历序列,可以唯一确定一棵二叉树;

注意:已知前序和后序遍历,是不能确定一棵二叉树的。

更多精彩内容,关注我的微信公众号——Android机动车

这里写图片描述