JB的Python之旅-人工智能篇-TensorFlow-“Hello world”

1,283 阅读14分钟

前言

通过上文介绍,主要对人工智能等知识进行了扫盲,并且对TensorFlow基本用法有了解,记住是没可能的,只能说扫盲,后面需要用的时候再回头看;
上文链接
介绍完基础知识,一般来说,都需要写一个hello world,但对于TensorFlow来说,并非真的是输出hello world,单纯输出hello world在上篇文章也有提及到:

import tensorflow as tf
import os
os.environ["TF_CPP_MIN_LOG_LEVEL"]='2'

hello = tf.constant("Hello,TensorFlow")
#创建了图,里面放入hello,TensorFlow
sess = tf.Session()
#定义了一个会话
print(sess.run(hello))
#执行图计算

如果仅仅是print,跟机器学习扯不到边,那机器学习的hello world是什么呢?是MNIST手写体识别

MNIST数据集介绍

MNIST是一个入门级的计算机视觉数据集,它包含各种手写数字图片:

MNIST数据集是含标注信息的,以上图片分别代表5, 0, 4和1。
MNIST数据集的官网是Yann LeCun's website

目的

训练一个机器学习模型用于预测图片里面的数字

MNIST 数据下载

手动下载

直接点击上面提及到的MNIST官网:http://yann.lecun.com/exdb/mnist/

把这4个内容下载即可,听说需要翻墙,因此这里直接提供链接给需要的同学下载:
链接:https://pan.baidu.com/s/1o9Ghq8gB6ywRuHozJBv7kg 密码:mcab

下载完后,不需要解压,直接放到一个目录即可

自动下载

首先贴出github地址:https://github.com/tensorflow/tensorflow/tree/master/tensorflow/examples/tutorials/mnist

新建一个input_data.py的文件:

# Copyright 2015 The TensorFlow Authors. All Rights Reserved.
#
# Licensed under the Apache License, Version 2.0 (the "License");
# you may not use this file except in compliance with the License.
# You may obtain a copy of the License at
#
#     http://www.apache.org/licenses/LICENSE-2.0
#
# Unless required by applicable law or agreed to in writing, software
# distributed under the License is distributed on an "AS IS" BASIS,
# WITHOUT WARRANTIES OR CONDITIONS OF ANY KIND, either express or implied.
# See the License for the specific language governing permissions and
# limitations under the License.
# ==============================================================================

"""Functions for downloading and reading MNIST data."""
from __future__ import absolute_import
from __future__ import division
from __future__ import print_function

import gzip
import os
import tempfile

import numpy
from six.moves import urllib
from six.moves import xrange  # pylint: disable=redefined-builtin
import tensorflow as tf
from tensorflow.contrib.learn.python.learn.datasets.mnist import read_data_sets

使用的时候,新建一个py文件,比如test.py,与input_data.py同一级目录下,然后执行下面的命令来下载mnist数据集,这样就会生成要给data文件夹:

#下载用于训练和测试的mnist数据集的源码

import input_data
# 调用input_data
mnist = input_data.read_data_sets('data/', one_hot=True)
print(mnist)

执行后看到有这几句就行了,虽然有报错,但是不理会,能正常下载就行了

文件 内容
train-images-idx3-ubyte.gz 训练集图片 - 55000 张 训练图片, 5000 张 验证图片
train-labels-idx1-ubyte.gz 训练集图片对应的数字标签
t10k-images-idx3-ubyte.gz 测试集图片 - 10000 张 图片
t10k-labels-idx1-ubyte.gz 测试集图片对应的数字标签

载下来的数据集被分成两部分:
60000行的训练数据集和10000行的测试数据集

一般来说,训练数据集是用来训练模型,验证数据集可以检验所训练出来的模型的正确性和是否过拟合,测试集是不可见的(相当于一个黑盒),
但我们最终的目的是使得所训练出来的模型在测试集上的效果(这里是准确性)达到最佳。

每一个MNIST数据单元有两部分组成:
一张包含手写数字的图片和一个对应的标签
一般把这些图片设为“xs”,把这些标签设为“ys”。训练数据集和测试数据集都包含xs和ys,
比如训练数据集的图片是 mnist.train.images ,训练数据集的标签是 mnist.train.labels。

每一张图片是一个28*28的像素点矩阵,我们可以用一个同大小的二维整数矩阵来表示。如下:

把这个数组展开成一个向量,长度是 28x28 = 784。如何展开这个数组(数字间的顺序)不重要,只要保持各个图片采用相同的方式展开。

在MNIST训练数据集中,mnist.train.images 是一个形状为 [60000, 784] 的张量,
第一个维度表示图片的索引第二个维度表示图片中像素的索引,值介于0和1之间。

相对应的MNIST数据集的标签是介于0到9的数字,用来描述给定图片里表示的数字。
在这里,我们用"one-hot vectors"来表述label的值。
一个one-hot向量除了某一位的数字是1以外其余各维度数字都是0。 vector的长度为label值的数目,vector中有且只有一位为1,其他为0,表示某个数字时在vector中所对应的索引位置设置1
比如,[0,0,0,1,0,0,0,0,0,0]来表示3,[1,0,0,0,0,0,0,0,0,0,0]来表示0;
因此得出 mnist.train.labels 是一个 [60000, 10] 的数字矩阵;

以上是MNIST数据集的描述及TensorFlow中表示。下面介绍Softmax Regression模型。

Softmax Regression模型

我们知道MNIST的每一张图片都表示一个数字,从0到9。我们希望得到给定图片代表每个数字的概率。

比如说,我们的模型可能推测一张包含9的图片代表数字9的概率是80%,但是判断它是8的概率是15%(因为8和9都有上半部分的小圆),判断它是6的概率是5%,然后给予它代表其他数字的概率更小的值。

Softmax Regression是一个简单的模型,很适合用来处理得到一个待分类对象在多个类别上的概率分布。所以,这个模型通常是很多高级模型的最后一步。

Softmax Regression大致分为两步:

Step 1: add up the evidence of our input being in certain classes;
Step 2: convert that evidence into probabilities.

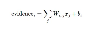
为了得到一张给定图片属于某个特定数字类的证据(evidence),我们对图片像素值进行加权求和。
如果这个像素具有很强的证据说明这张图片不属于该类,那么相应的权值为负数,相反如果这个像素拥有有利的证据支持这张图片属于这个类,那么权值是正数。
下面是一个直观的例子,图片中蓝色表示正值,红色表示负值(蓝色区域的形状趋向于数字形状):

我们也需要加入一个额外的偏置量(bias),因为输入往往会带有一些无关的干扰量。因此对于给定的输入图片 x 它代表的是数字 i 的证据可以表示为:

其中,Wi 和 bi 分别为类别 i 的权值和偏置,j 是输入图片 x 的像素索引。
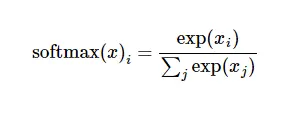
然后,我们将得到的evidence值通过一个”softmax”函数转化为概率值 y :

这里softmax函数的作用相当于是一个转换函数,它的作用是将原始的线性函数输出结果以某种方式转换为我们需要的值,这里我们需要0-9十个类别上的概率分布。softmax函数的定义如下:
展开等式右边的子式,可以得到:
这里的softmax函数能够得到类别上的概率值分布,并保证所有类别上的概率值之和为1. 下面的图示将有助于你理解softmax函数的计算过程:

如果将这个过程公式化,将得到:
如们将这个过程公式化,将得到:

也可以简化成:

看完之后,是不是觉得不明觉厉?开头可能还能理解,但是后面搬出公式了,是不是觉得莫名其妙了?没错,就是要这种感觉,那继续吧~

实现回归模型

为了在Python中进行科学计算工作,我们常常使用一些独立库函数包,例如NumPy来实现复杂的矩阵计算。但是由于Python的运行效率并不够快,所以常常用一些更加高效的语言来实现。但是,这样做会带来语言转换(例如转换回python操作)的开销。

TensorFlow在这方面做了一些优化,可以对你所描述的一系列的交互计算的流程完全独立于Python之外,从而避免了语言切换的开销。

为了使用TensorFlow,我们需要引用该库函数:

import tensorflow as tf

利用一些符号变量来描述交互计算的过程,创建如下:

x = tf.placeholder(tf.float32, [None, 784])

说明下,placeholder函数可以理解为形参,用于定义过程,在执行的时候再赋具体的值;

这里的 x 不是一个特定的值,而是一个占位符,即需要时指定。
我们在TensorFlow运行计算时输入这个值。我们希望能够输入任意数量的MNIST图像,每一张图展平成784维的向量。我们用2维的浮点数张量来表示这些图,这个张量的形状是[None,784(28*28) ]。(这里的None表示此张量的第一个维度可以是任何长度的。)

使用Variable(变量)来表示模型中的权值和偏置,这些参数是可变的。如下:

W = tf.Variable(tf.zeros([784, 10]))
b = tf.Variable(tf.zeros([10]))

说明下,zeros是创建一个所有的参数为0的tensor对象;
这里的W和b均被初始化为0值矩阵。W的维数为784 * 10,是因为我们需要将一个784维的像素值经过相应的权值之乘转化为10个类别上的evidence值;b是十个类别上累加的偏置值。

现在,实现softmax regression模型仅需要一行代码:

y = tf.nn.softmax(tf.matmul(x,W) + b)

其中,matmul函数实现了 x 和 W 的乘积,这里 x 为二维矩阵,所以放在前面。可以看出,在TensorFlow中实现softmax regression模型是很简单的。

训练模型

为了训练模型,首先需要定义一个指标来评估这个模型是好的。
其实,在机器学习,通常定义指标来表示一个模型是坏的,这个指标称为成本(cost)或损失(loss),然后尽量最小化这个指标。但是,这两种方式是相同的。

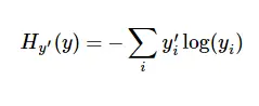
一个非常常见的,非常漂亮的成本函数是“交叉熵”(cross-entropy)。交叉熵产生于信息论里面的信息压缩编码技术,但是它后来演变成为从博弈论到机器学习等其他领域里的重要技术手段。它的定义如下:

这里 y 是所预测的概率分布,而 y′ 是真实的分布(one-hot vector表示的图片label)。
直观上,交叉熵函数的输出值表示了预测的概率分布与真实的分布的符合程度。
如果想更加深入地理解交叉熵函数,可参考这篇博文

为了实现交叉熵函数,我们需要先设置一个占位符在存放图片的正确label值,

y_ = tf.placeholder("float", [None,10])

然后可以用−∑y′log(y),计算交叉熵:

cross_entropy = -tf.reduce_sum(y_*tf.log(y))

首先,用 tf.log 计算 y 的每个元素的对数。
接下来,把 y_ 的每一个元素和 tf.log(y) 的对应元素相乘。
最后,用 tf.reduce_sum 计算张量的所有元素的总和。(注意,这里的交叉熵不仅仅用来衡量单一的一对预测和真实值,而是所有100幅图片的交叉熵的总和。对于100个数据点的预测表现比单一数据点的表现能更好地描述我们的模型的性能。)

现在我们知道我们需要我们的模型做什么啦,用TensorFlow来训练它是非常容易的。
因为TensorFlow拥有一张描述你各个计算单元的图,它可以自动地使用反向传播算法(backpropagation algorithm)来有效地确定你的变量是如何影响你想要最小化的那个成本值的。
然后,TensorFlow会用你选择的优化算法来不断地修改变量以降低成本。

train_step = tf.train.GradientDescentOptimizer(0.01).minimize(cross_entropy)

在这里,使用了一个学习率为0.01的梯度下降算法来最小化代价函数。梯度下降是一个简单的计算方式,即使得变量值朝着减小代价函数值的方向变化。TensorFlow也提供了许多其他的优化算法,仅需要一行代码即可实现调用。

TensorFlow在这里实际上所做的是,它会在后台给描述你的计算的那张图里面增加一系列新的计算操作单元用于实现反向传播算法和梯度下降算法。然后,它返回给你的只是一个单一的操作,当运行这个操作时,它用梯度下降算法训练你的模型,微调你的变量,不断减少成本。

在模型训练之前,还需要对所有的参数进行初始化:

init = tf.initialize_all_variables()

可以在一个Session里面运行模型,并且进行初始化:

sess = tf.Session()
sess.run(init)   

接下来,进行模型的训练,这里循环训练1000次:

for i in range(1000):
  batch_xs, batch_ys = mnist.train.next_batch(100)
  sess.run(train_step, feed_dict={x: batch_xs, y_: batch_ys})

每一次的循环中,我们取训练数据中的100个随机数据,这种操作成为批处理(batch)。
然后,每次运行train_step时,将之前所选择的数据,填充至所设置的占位符中,作为模型的输入。

使用一小部分的随机数据来进行训练被称为随机训练(stochastic training)- 在这里更确切的说是随机梯度下降训练。
在理想情况下,我们希望用我们所有的数据来进行每一步的训练,因为这能给我们更好的训练结果,但显然这需要很大的计算开销。
所以,每一次训练我们可以使用不同的数据子集,这样做既可以减少计算开销,又可以最大化地学习到数据集的总体特性。

模型的评价

那,怎么评估我们的模型如何呢?

首先得找出那些预测正确的标签。tf.argmax 能给出某个tensor对象在某一维上的其数据最大值所在的索引值。
由于标签向量是由0,1组成,因此最大值1所在的索引位置就是类别标签,比如tf.argmax(y,1)返回的是模型对于任一输入x预测到的标签值,而 tf.argmax(y_,1) 代表正确的标签,我们可以用 tf.equal 来检测我们的预测是否真实标签匹配(索引位置一样表示匹配)。

correct_prediction = tf.equal(tf.argmax(y,1), tf.argmax(y_,1))

correct_prediction是一个布尔值的列表,例如 [True, False, True, True]。
可以使用tf.cast()函数将其转换为[1, 0, 1, 1],以方便准确率的计算(以上的是准确率为0.75)。

accuracy = tf.reduce_mean(tf.cast(correct_prediction, "float"))

最后,我们来获取模型在测试集上的准确率,

print(sess.run(accuracy, feed_dict={x: mnist.test.images, y_: mnist.test.labels}))

Softmax regression模型由于模型较简单,所以在测试集上的准确率在91%左右,这个结果并不算太好。
通过一些简单的优化,准确率可以达到97%,目前最好的模型的准确率为99.7%。(这里有众多模型在MNIST数据集上的运行结果)。

源码

利用Softmax模型实现手写体识别的完整代码如下:
完善了代码的注释,以便阅读起来更好理解,同时增加输出训练过程:

import input_data
import tensorflow as tf
from tensorflow.examples.tutorials.mnist import input_data

mnist = input_data.read_data_sets("data/", one_hot=True)
print("Download Done!")



# 设置权重weights和偏置biases作为优化变量,初始值设为0
weights = tf.Variable(tf.zeros([784, 10]))
biases = tf.Variable(tf.zeros([10]))

# 构建模型
x = tf.placeholder("float", [None, 784])
# 模型的预测值
y = tf.nn.softmax(tf.matmul(x, weights) + biases)     
# 真实值
y_real = tf.placeholder("float", [None, 10])                                        

# 预测值与真实值的交叉熵
cross_entropy = -tf.reduce_sum(y_real * tf.log(y))   
# 使用梯度下降优化器最小化交叉熵
train_step = tf.train.GradientDescentOptimizer(0.01).minimize(cross_entropy)     

# 比较预测值和真实值是否一致
correct_prediction = tf.equal(tf.argmax(y, 1), tf.arg_max(y_real, 1)) 
 # 统计预测正确的个数,取均值得到准确率
accuracy = tf.reduce_mean(tf.cast(correct_prediction, "float")) 

# 开始训练
init = tf.initialize_all_variables()
sess = tf.Session()
sess.run(init)
for i in range(5000):
    # 每次随机选取100个数据进行训练,即所谓的随机梯度下降
    batch_xs, batch_ys = mnist.train.next_batch(100)                                 
    # 正式执行train_step,用feed_dict的数据取代placeholder
    sess.run(train_step, feed_dict={x: batch_xs, y_real:batch_ys})                  
    if i % 100 == 0:
        # 每训练100次后评估模型
        print("Step " + str(i) +",Training Accuracy "+ str(sess.run(accuracy, feed_dict={x: mnist.test.images, y_real: mnist.test.labels})))
print("Accuarcy on Test-dataset: ", sess.run(accuracy, feed_dict={x: mnist.test.images, y_real: mnist.test.labels}))

最后执行的结果:

多次执行,会发现每次都不一样,但基本都是在91%

如果把训练次数增加到10W次,会发现成功率在98%

训练过程截图:

嗯,TensorFlow的hello world就是这样,花了不少时间介绍Softmax模型,尤其是公式那块看的不懂,但感觉,数学在机器学习里面真的很重要~

小结:

本文使用Softmax Regression模型对MNIST数据集进行训练,主要围绕Softmax模型的原理(看不懂篇)以及怎么在TensorFlow里面使用这个模型,更重要的事,从这个模型学习到的设计思想~

谢谢大家~