简单对比git pull和git pull --rebase的使用

1,224 阅读1分钟
原文链接: www.cnblogs.com

 

使用下面的关系区别这两个操作:
git pull = git fetch + git merge
git pull --rebase = git fetch + git rebase

现在来看看git merge和git rebase的区别。

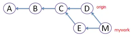
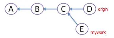
假设有3次提交A,B,C。

在远程分支origin的基础上创建一个名为"mywork"的分支并提交了,同时有其他人在"origin"上做了一些修改并提交了。

其实这个时候E不应该提交,因为提交后会发生冲突。如何解决这些冲突呢?有以下两种方法:

1、git merge
用git pull命令把"origin"分支上的修改pull下来与本地提交合并(merge)成版本M,但这样会形成图中的菱形,让人很困惑。

2、git rebase
创建一个新的提交R,R的文件内容和上面M的一样,但我们将E提交废除,当它不存在(图中用虚线表示)。由于这种删除,小李不应该push其他的repository.rebase的好处是避免了菱形的产生,保持提交曲线为直线,让大家易于理解。

在rebase的过程中,有时也会有conflict,这时Git会停止rebase并让用户去解决冲突,解决完冲突后,用git add命令去更新这些内容,然后不用执行git-commit,直接执行git rebase --continue,这样git会继续apply余下的补丁。在任何时候,都可以用git rebase --abort参数来终止rebase的行动,并且mywork分支会回到rebase开始前的状态。

***************当你发现自己的才华撑不起野心时,就请安静下来学习吧***************