首页
沸点
课程
数据标注
HOT
AI Coding
更多
直播
活动
APP
插件
直播
活动
APP
插件
搜索历史
清空
创作者中心
写文章
发沸点
写笔记
写代码
草稿箱
创作灵感
查看更多
登录
注册
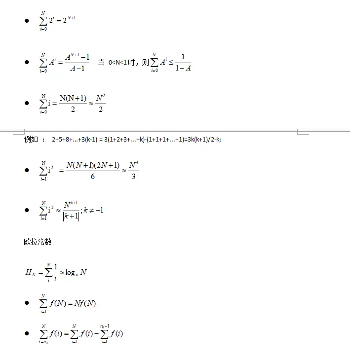
数据结构中常用的数学公式
浩宇碧海
2018-05-19
790
阅读1分钟
1:指数
2:对数
3:级数
浩宇碧海
7
文章
6.8k
阅读
0
粉丝
目录
收起