什么叫中介者模式
- 中介者模式的作用就是解除对象与对象之间的紧耦合关系
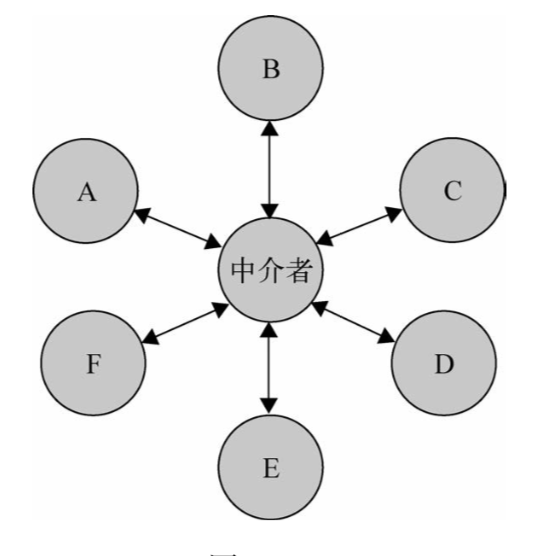
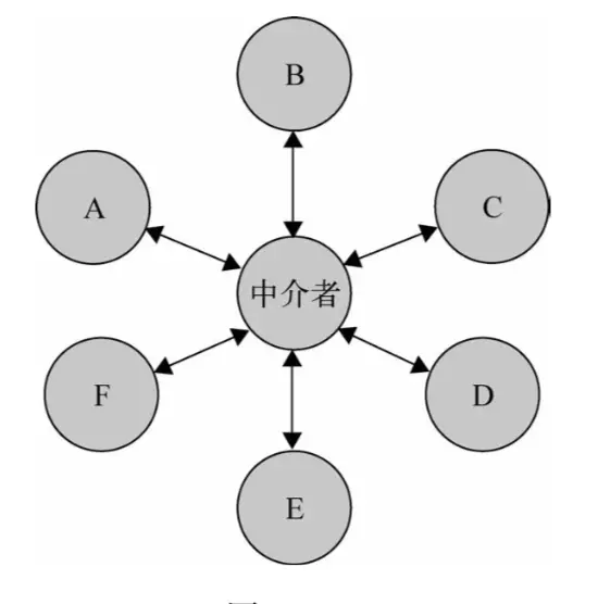
- 增加一个中介者对象后,所有的相关对象都通过中介者对象来通信,而不是互相引用,所以当一个对象发生改变时,只需要通知中介者对象即可。
- 承担两方面责任:中转作用,通过中介者和其他对象进行通信;协调作用,中介者可以进一步的对对象之间的关系进行封装
- 中介者对象不能订阅消息,只有活跃对象才可订阅中介者的消息,中介者是消息的发送者
优势
- 中介者使各对象之间耦合松散,而且可以独立地改变它们之间的交互
- 对象之间的交互,通过中介者进行封装,集中控制交互
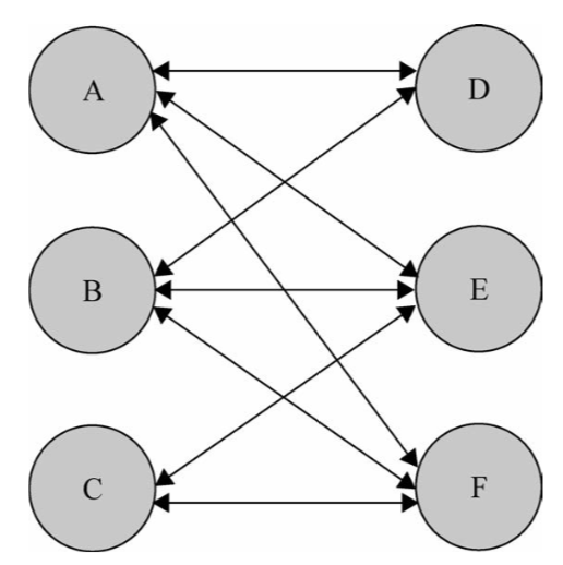
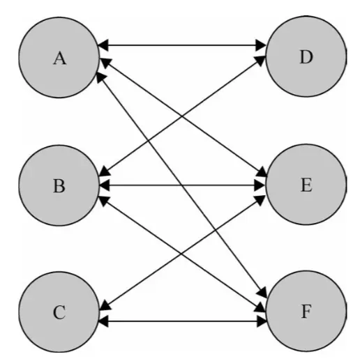
- 中介者和对象一对多的关系取代了对象之间的网状多对多的关系
- 如果对象之间的复杂耦合度导致维护很困难,而且耦合度随项目变化增速很快,就需要中介者重构代码


缺点
- 新增一个中介者对象,如果对象间交互非常复杂,会导致中介者对象很复杂,最后往往难以维护
- 过度集中化,中介者出现故障,导致系统瘫痪
注意事项
- 对于对象间是网状关系的,可以采用中介者模式。
- 感觉用处不是太大,完全可以由接口替代中介者模式
vs 发布-订阅模式
即使有中介者,A和B存在某种联系,因为有联系,为了避免A与更多其他的对象有直接的联系,才诞生出来了中介者,一对多变成了一对一。
发布-订阅模式,有时候也会找个对象统一管理,A订阅了事件和B订阅了事件,但是A和B之间是没有什么联系的。
泡泡糖游戏实例
class Player {
constructor(name, teamColor) {
this.name = name;
this.teamColor = teamColor;
this.state = 'alive';
}
win () {
console.log(this.name, 'win');
}
lose () {
console.log(this.name, 'lose');
}
die () {
this.state = 'dead';
playerDirector.receiveMessage('playerDead', this);
}
remove () {
playerDirector.reciveMessage('removePlayer', this);
}
changeTeam (color) {
playerDirector.receiveMessage('changeTeam', this, color);
}
}
// 工厂创建玩家
const playerFactor = (name, teamColor) => {
const newPlayer = new Player(name, teamColor);
playerDirector.receiveMessage('addPlayer', newPlayer);
return newPlayer;
}
// 中介者
const playerDirector = (() => {
const players = {},
operations = {};
// 新增
operations.addPlayer = (player) => {
const teamColor = player.teamColor;
players[teamColor] = players[teamColor] || [];
players[teamColor].push(player);
};
// 移除
operations.removePlayer = (player) => {
const teamColor = player.teamColor,
teamPlayers = players[teamColor] || [];
teamPlayers = teamPlayers.filter(item => item == player);
}
// 换队
operations.changeTeam = (player, newTeamColor) => {
operations.removePlayer(player);
player.teamColor = newTeamColor;
operations.addPlayer(player);
}
// 玩家死亡
operations.playerDead = (player) => {
const teamColor = player.teamColor,
teamPlayers = players[ teamColor ];
let allDead = !teamPlayers.some(item => item.state !== 'dead');
if(allDead ) {
teamPlayers.forEach(item => {
item.lose();
})
for(color in players) {
if(color !== player.teamColor) {
const winTeam = players[color];
winTeam.forEach(item => {
item.win();
})
}
}
}
}
// 暴漏接口
const receiveMessage = function () {
const message = Array.prototype.shift.call(arguments);
operations[message].apply(this, arguments);
}
return {
receiveMessage: receiveMessage
}
})();
const player1 = playerFactor('红1', 'red');
const player2 = playerFactor('蓝1', 'blue');
const player3 = playerFactor('蓝2', 'blue');
player1.die();