ProgressHUD源码详解
ProgressHUD是iOS开发中常用的等待控件(菊花控件),用户网络请求等
主要结构
ProgressHUD
只包含两个代码文件ProgressHUD.h
和ProgressHUD.m
,以及一个资源文件ProgressHUD.bundle
ProgressHUD
本质上为UIView
的子类
@interface ProgressHUD : UIView
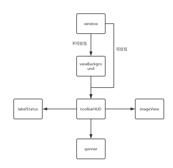
其主要结构包含5部分:
@interface ProgressHUD()
{
UIWindow *window;
UIView *viewBackground;
UIToolbar *toolbarHUD;
UIActivityIndicatorView *spinner;
UIImageView *imageView;
UILabel *labelStatus;
}
以上控件之间的结构关系如下:

初始化控件
- 在
show
方法中调用
+ (void)show
{
dispatch_async(dispatch_get_main_queue(), ^{
[[self shared] hudCreate:nil image:nil spin:YES hide:NO interaction:YES];
});
}
- 初始化
- (void)hudCreate:(NSString *)status image:(UIImage *)image spin:(BOOL)spin hide:(BOOL)hide interaction:(BOOL)interaction
{
//初始化toolbarHUD
if (toolbarHUD == nil)
{
toolbarHUD = [[UIToolbar alloc] initWithFrame:CGRectZero];
toolbarHUD.translucent = YES;
toolbarHUD.backgroundColor = self.hudColor;
toolbarHUD.layer.cornerRadius = 10;
toolbarHUD.layer.masksToBounds = YES;
[self registerNotifications];
}
if (toolbarHUD.superview == nil)
{
//如果与背景视图不可交互,初始化背景视图,背景视图为toolbarHUD的父视图
if (interaction == NO)
{
viewBackground = [[UIView alloc] initWithFrame:window.frame];
viewBackground.backgroundColor = self.backgroundColor;
[window addSubview:viewBackground];
[viewBackground addSubview:toolbarHUD];
}//如果与背景视图可交互,顶层window为toolbarHUD的父视图
else [window addSubview:toolbarHUD];
}
//初始化spinner(菊花),并添加到toolbarHUD
if (spinner == nil)
{
spinner = [[UIActivityIndicatorView alloc] initWithActivityIndicatorStyle:UIActivityIndicatorViewStyleWhiteLarge];
spinner.color = self.spinnerColor;
spinner.hidesWhenStopped = YES;
}
if (spinner.superview == nil) [toolbarHUD addSubview:spinner];
//初始化imageView并添加到toolbarHUD
if (imageView == nil)
{
imageView = [[UIImageView alloc] initWithFrame:CGRectMake(0, 0, 28, 28)];
}
if (imageView.superview == nil) [toolbarHUD addSubview:imageView];
//初始化labelStatus,添加到toolbarHUD
if (labelStatus == nil)
{
labelStatus = [[UILabel alloc] initWithFrame:CGRectZero];
labelStatus.font = self.statusFont;
labelStatus.textColor = self.statusColor;
labelStatus.backgroundColor = [UIColor clearColor];
labelStatus.textAlignment = NSTextAlignmentCenter;
labelStatus.baselineAdjustment = UIBaselineAdjustmentAlignCenters;
labelStatus.numberOfLines = 0;
}
if (labelStatus.superview == nil) [toolbarHUD addSubview:labelStatus];
//文本信息添加
labelStatus.text = status;
labelStatus.hidden = (status == nil) ? YES : NO;
//图片信息添加
imageView.image = image;
imageView.hidden = (image == nil) ? YES : NO;
//spinner(菊花)旋转(或停止)
if (spin) [spinner startAnimating]; else [spinner stopAnimating];
[self hudSize];//尺寸设置
[self hudPosition:nil];//位置设置
[self hudShow];//动画显示
//定时关闭
if (hide) [self timedHide];
}
设置Size
- (void)hudSize
{
CGRect rectLabel = CGRectZero;
CGFloat widthHUD = 100, heightHUD = 100;//toolbarHUD默认的尺寸
if (labelStatus.text != nil)
{
NSDictionary *attributes = @{NSFontAttributeName:labelStatus.font};
NSInteger options = NSStringDrawingUsesFontLeading | NSStringDrawingTruncatesLastVisibleLine | NSStringDrawingUsesLineFragmentOrigin;
rectLabel = [labelStatus.text boundingRectWithSize:CGSizeMake(200, 300) options:options attributes:attributes context:NULL];//计算文字所需的Rect
//toolbarHUD对应的Rect
widthHUD = rectLabel.size.width + 50;
heightHUD = rectLabel.size.height + 75;
if (widthHUD < 100) widthHUD = 100;
if (heightHUD < 100) heightHUD = 100;
rectLabel.origin.x = (widthHUD - rectLabel.size.width) / 2;
rectLabel.origin.y = (heightHUD - rectLabel.size.height) / 2 + 25;
}
toolbarHUD.bounds = CGRectMake(0, 0, widthHUD, heightHUD);
//imageView对应的位置
CGFloat imageX = widthHUD/2;
CGFloat imageY = (labelStatus.text == nil) ? heightHUD/2 : 36;
imageView.center = spinner.center = CGPointMake(imageX, imageY);
labelStatus.frame = rectLabel;
}
设置postion
- (void)hudPosition:(NSNotification *)notification
{
CGFloat heightKeyboard = 0;
NSTimeInterval duration = 0;
//计算键盘高度
if (notification != nil)
{
NSDictionary *info = [notification userInfo];
CGRect keyboard = [[info valueForKey:UIKeyboardFrameEndUserInfoKey] CGRectValue];
duration = [[info valueForKey:UIKeyboardAnimationDurationUserInfoKey] doubleValue];
if ((notification.name == UIKeyboardWillShowNotification) || (notification.name == UIKeyboardDidShowNotification))
{
heightKeyboard = keyboard.size.height;
}
}
else heightKeyboard = [self keyboardHeight];
//toolbarHUD的水平中心在屏幕中间,垂直中心在除去键盘高度的中心。
CGRect screen = [UIScreen mainScreen].bounds;
CGPoint center = CGPointMake(screen.size.width/2, (screen.size.height-heightKeyboard)/2);
//动态设置toolbarHUD的中心
[UIView animateWithDuration:duration delay:0 options:UIViewAnimationOptionAllowUserInteraction animations:^{
self->toolbarHUD.center = CGPointMake(center.x, center.y);
} completion:nil];
if (viewBackground != nil) viewBackground.frame = window.frame;
}
- 注意:
toolbarHUD
的水平中心在屏幕中间,垂直中心在除去键盘高度的中心。
CGPoint center = CGPointMake(screen.size.width/2, (screen.size.height-heightKeyboard)/2);
toolbarHUD
的垂直中心会根据键盘消息进行调整。
显示
- (void)hudShow
{
if (self.alpha == 0)
{
self.alpha = 1;
toolbarHUD.alpha = 0; //初始设置为完全透明,实现隐藏功能
toolbarHUD.transform = CGAffineTransformScale(toolbarHUD.transform, 1.4, 1.4); //放大
UIViewAnimationOptions options = UIViewAnimationOptionAllowUserInteraction | UIViewAnimationCurveEaseOut; //动画模式设置
//动画显示
[UIView animateWithDuration:0.15 delay:0 options:options animations:^{
self->toolbarHUD.transform = CGAffineTransformScale(self->toolbarHUD.transform, 1/1.4, 1/1.4); //恢复正常
self->toolbarHUD.alpha = 1; //设为不透明,显示出来
} completion:nil];
}
}
隐藏
- (void)hudHide
{
if (self.alpha == 1)
{
UIViewAnimationOptions options = UIViewAnimationOptionAllowUserInteraction | UIViewAnimationCurveEaseIn; //动画模式设置
[UIView animateWithDuration:0.15 delay:0 options:options animations:^{
self->toolbarHUD.transform = CGAffineTransformScale(self->toolbarHUD.transform, 0.7, 0.7); //缩小为原来的0.7倍
self->toolbarHUD.alpha = 0; //设置为透明,实现隐藏
}
completion:^(BOOL finished) {
[self hudDestroy]; //删除各控件的依赖关系,再删除控件
self.alpha = 0;
}];
}
}