ICLR 2018最佳论文AMSGrad能够取代Adam吗

3,665 阅读10分钟
原文链接: mp.weixin.qq.com
作者:Filip Korzeniowski 编译:weakish

编者按:Google的Reddi等关于Adam收敛性的论文最近被评为ICLR 2018最佳论文,其中提出了一个Adam的变体AMSGrad。那么,在实践中,AMSGrad是不是能够取代Adam(目前深度学习中最流行的优化方法之一)呢?让我们一起来看奥地利林茨大学(JKU)博士Filip Korzeniowski所做的试验。

在ICLR 2018最佳论文On the Convergence of Adam and Beyond(关于Adam的收敛性及其他)中,Google的Reddi等指出了Adam收敛性证明的缺陷,并提出了一个Adam算法的变体AMSGrad。论文通过一个合成任务和少量试验展示了AMSGrad的优势。然而,它仅仅使用了小型网络(MNIST上的单层MLP,CIFAR-10上的小型卷积网络),并且没有表明测试精确度(显然,比起交叉熵损失,我们更加关心精确度)。从训练和测试损失上看,他们在CIFAR-10上训练的卷积网络,比当前最先进的结果要差很多(我们并不知道精确度)。

由于我一般习惯使用Adam,所以我决定在更实际的网络上评估一下AMSGrad。请注意,我这里训练的模型也不大,也不是当前最先进的,但绝对比论文展示的更实际。

我在Lasagne的Adam实现的基础上做了修改,实现了AMSGrad。我还添加了一个关闭Adam的偏置纠正(bias correction)的选项。

  1. def amsgrad(loss_or_grads, params, learning_rate=0.001, beta1=0.9,

  2.            beta2=0.999, epsilon=1e-8, bias_correction=True):

  3.    all_grads = get_or_compute_grads(loss_or_grads, params)

  4.    t_prev = theano.shared(utils.floatX(0.))

  5.    updates = OrderedDict()

  6.    # 使用theano常量以避免向上转型(upcast)到float32

  7.    one = T.constant(1)

  8.    t = t_prev + 1

  9.    if bias_correction:

  10.        a_t = learning_rate*T.sqrt(one-beta2**t)/(one-beta1**t)

  11.    else:

  12.        a_t = learning_rate

  13.    for param, g_t in zip(params, all_grads):

  14.        value = param.get_value(borrow=True)

  15.        m_prev = theano.shared(np.zeros(value.shape, dtype=value.dtype),

  16.                               broadcastable=param.broadcastable)

  17.        v_prev = theano.shared(np.zeros(value.shape, dtype=value.dtype),

  18.                               broadcastable=param.broadcastable)

  19.        v_hat_prev = theano.shared(np.zeros(value.shape, dtype=value.dtype),

  20.                                   broadcastable=param.broadcastable)

  21.        m_t = beta1*m_prev + (one-beta1)*g_t

  22.        v_t = beta2*v_prev + (one-beta2)*g_t**2

  23.        v_hat_t = T.maximum(v_hat_prev, v_t)

  24.        step = a_t*m_t/(T.sqrt(v_hat_t) + epsilon)

  25.        updates[m_prev] = m_t

  26.        updates[v_prev] = v_t

  27.        updates[v_hat_prev] = v_hat_t

  28.        updates[param] = param - step

  29.    updates[t_prev] = t

  30.    return updates

首先,让我们检查下实现是否正确。我运行了论文中概述的合成试验(使用随机配置)。下图为所得学习曲线。

这和论文中的图形相当接近了,也和ycmario的重新实现的结果差不多。Adam错误地收敛于1,而x的最佳值为-1.

我接着试验了四种配置:

  • MNIST上的逻辑回归。

  • CIFAR-10上的CifarNet(论文中描述的CNN)。

  • CIFAR-10上的SmallVgg(一个小型的VGG风格网络)

  • CIFAR-10上的Vgg(一个较大的VGG风格网络)

在每种配置中,我为所有下列组合各运行了5遍训练:

  • beta2 ∈ {0.99, 0.999} (据论文建议)

  • 学习率 ∈ {0.01, 0.001, 0.0001}

  • 偏置纠正 ∈ {on, off}

batch大小为128(和原论文一样)。训练了150个epoch,初始学习率线性下降,直到在第150个epoch后降至0. 在CIFAR-10试验中,我同样使用了标准的左右翻转数据增强。相应的代码见GitHub仓库fdlm/amsgrad_experiments。

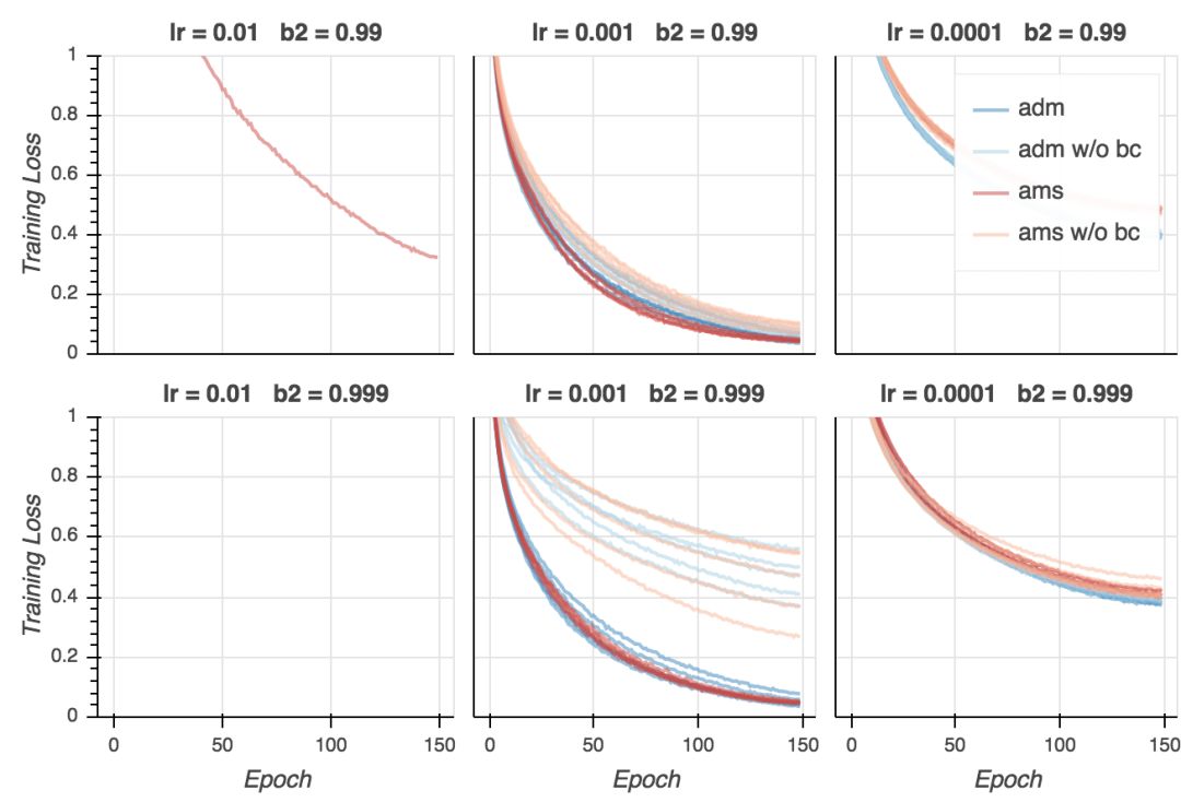
让我们首先关注Vgg配置。虽然这些配置各有其古怪之处,我们可以从结果得出的结论却是类似的。

CIFAR-10上的Vgg

我这里使用的卷积网络结构如下:

每层卷积之后是batch normalisation和rectifier激活函数。虚线标志着dropout,相应的概率标明在线的上方。细节详见代码。

在下面的图形中,Adam的结果用蓝色表示,AMSGrad的结果用红色表示。较淡的颜色表明偏置纠正关闭了。每条线表示一次训练。

训练损失

在我的试验中,训练损失非常接近0,而论文中的数值则是0.3. 这当然是因为我用的是大得多的模型。我们同时看到,如果学习率不是太低的话,AMSGrad看起来在最后的训练阶段收敛得快一点,并且大多数情况下,使用偏置纠正有助于收敛。不过,最后所有变体在大多数超参数配置下(学习率过低除外)收敛至相似的最终损失。如果我们仔细查看,我们会发现在最后的若干epoch上Adam超越了AMSGrad。这没什么大不了的——毕竟这是训练损失。然而,这类模型(以及训练方案)和论文中报告的CifarNet模型的结果很不一样,论文中的情况是,AMSGrad的训练损失比Adam低很多。

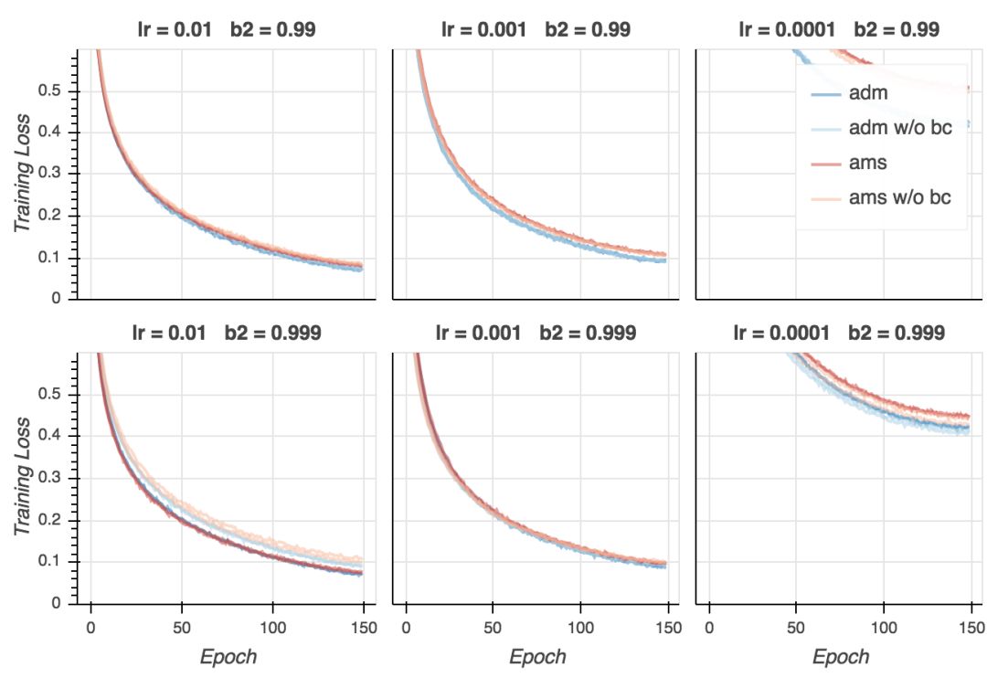
验证损失

验证损失的表现不同。我们看到,AMSGrad持续超越Adam,特别是在后期的epoch中。两个算法达到了相似的最小验证误差(在第20-25个epoch周围),但自此之后,Adam看起来过拟合地更厉害,至少是就交叉熵损失而言。所以AMSGrad可以弥补Adam经常比标准SGD(随机梯度下降)概括性差这一点吗?需要做一些标准SGD的试验来回答这一问题。

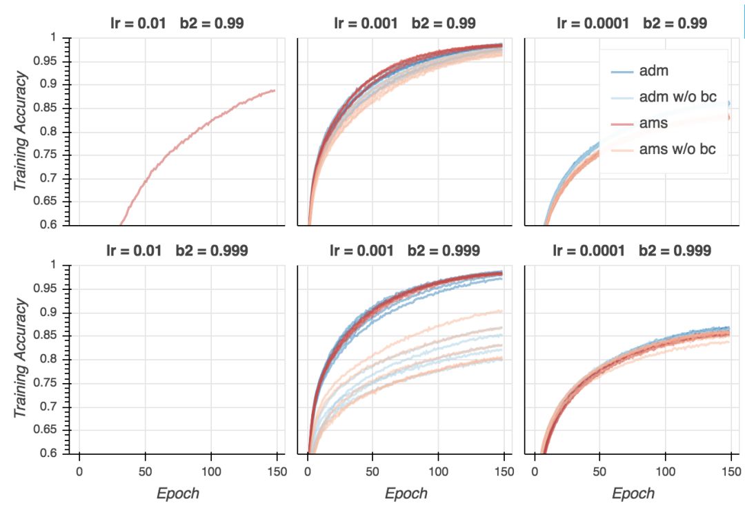
训练精确度

让我们看下精确度。在分类问题中,精确度是一个比交叉熵损失重要得多的量度。毕竟,我们在乎的是我们的模型成功分类了多少样本。首先,让我们看下训练精确度。就CIFAR-10而言,大部分强大的模型能够达到接近100%的精确度,如果训练是恰当的话(事实上,即使使用随机标签,它们仍能达到100%精确度。)

正如我们看到的,训练精确度和训练损失的表现差不多:AMSGrad比Adam收敛得快,但最终的结果差不多。如果超参数不是太离谱的话,不管使用哪种算法,我们都能达到差不多100%的精确度(同样,学习率不能太低)。

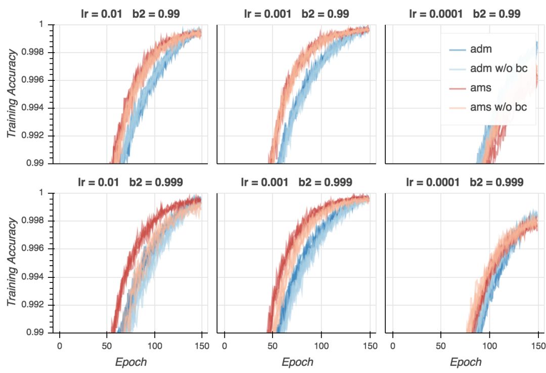
最后,到了最有意思的部分——验证精确度。

验证精确度

现在是失望时刻。尽管在所有超参数配置上,AMSGrad的验证损失更低,从验证精确性来看,基本是平局。在某些设定下,Adam表现更好(lr = 0.01、b2 = 0.999),在其他一些设定下,AMSGrad(lr = 0.001、b2 = 0.999)表现更好。在所有配置中取得最好结果的是Adam(lr = 0.001、b2 = 0.99),但我认为这一差别并不显著。看起来,给定合适的超参数设定,两个算法的表现差不多好。

讨论

论文指出了Adam收敛性证明的一个致命缺陷,并展示了一个证明成立的Adam变体,AMSGrad。然而,我发现论文对AMSGrad的实际影响的试验评估比较有限。在论文中,作者声称(着重由我所加)“AMSGrad在训练损失和精确度上表现得比Adam好多了。此外,这一表现提升同样转换到了测试损失上。”不幸的是,就我使用的模型和训练方案而言,我的试验不能证实这些:

  • 无论是基于损失,还是基于精确度,两者在训练集上的表现类似。

  • AMSGrad的测试(这里是验证)损失确实比较低。然而,

  • 测试损失上的提升并没有转换为更好的测试精确度(公平起见,作者从来没有声称这一点)。

  • 测试损失和测试精确度间的表现差异提出了一个关键的问题:类别交叉熵训练用于分类的神经网络有多合适?我们能做得更好吗?

特此声明:我确实非常欣赏论文作者指出Adam弱点的工作。尽管我并没有验证证明(显然,直到这篇论文,都没人验证Adam的证明),我倾向于相信他们的结论。同时,人造样本确实表明Adam在特定条件下无法工作。我认为这是一篇好论文。

然而,实际影响需要更多的以经验为基础的探索。我在本文中描述的试验并没有表明Adam和AMSGrad之间在实践上有很大的差异。


附录

这里我展示其他设定的结果。

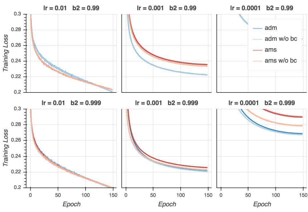
MNIST上的逻辑回归

这一设定和论文中的一个试验类似。唯一的差别是学习率:论文使用的是α/√t,其中t为迭代,而我使用的是之前提到的每个epoch后的线性衰减。让我们看下结果。

训练损失

我们首先看到的是,线性学习率衰减可以得到低得多的训练损失。在论文中,训练曲线看起来在5000多次迭代(batch大小128,约13个epoch)后,在约0.25处保持平坦。而在我的试验中,取决于超参数,它达到了0.2. 另外一个有趣的发现是,在所有配置中,Adam取得了最低的最终训练损失。这和论文中的结果相反,特别是论文声称的,相比Adam,AMSGrad对参数变动更加强韧(robust)。

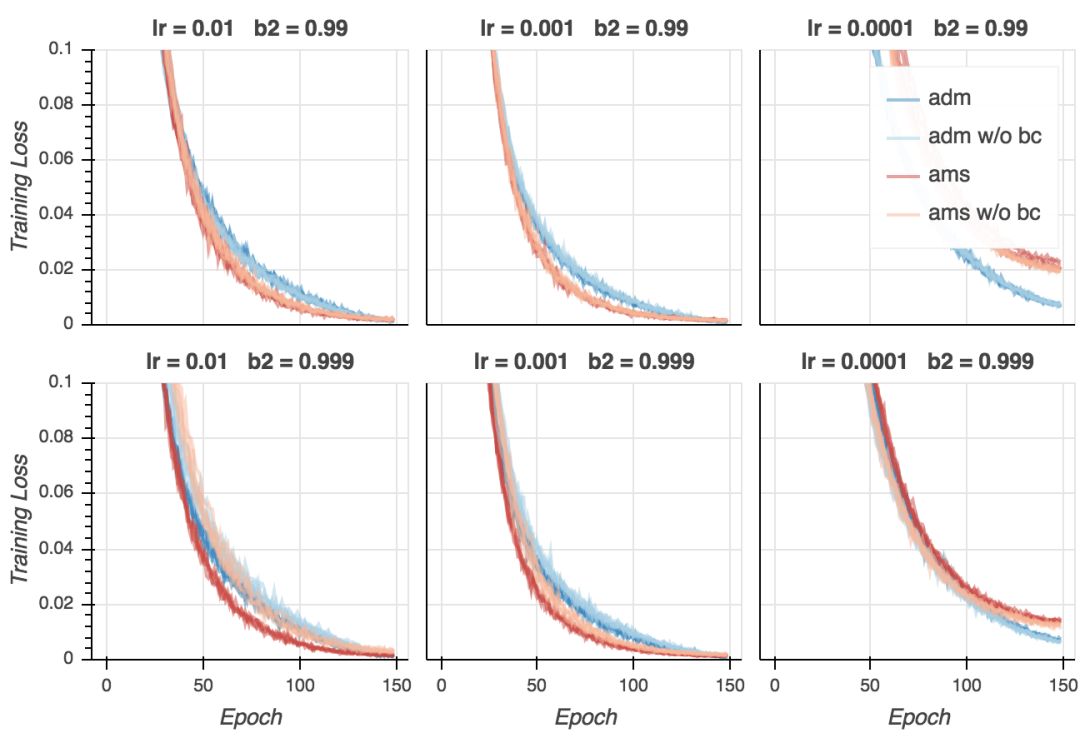
验证损失

这里情况有所不同。AMSGrad通常给出最低的验证损失(除非我们用了过低的学习率)。然而,在lr = 0.002、b2 = 0.99时,Adam取得了最低的验证损失(差别微乎其微),不过之后发散了。

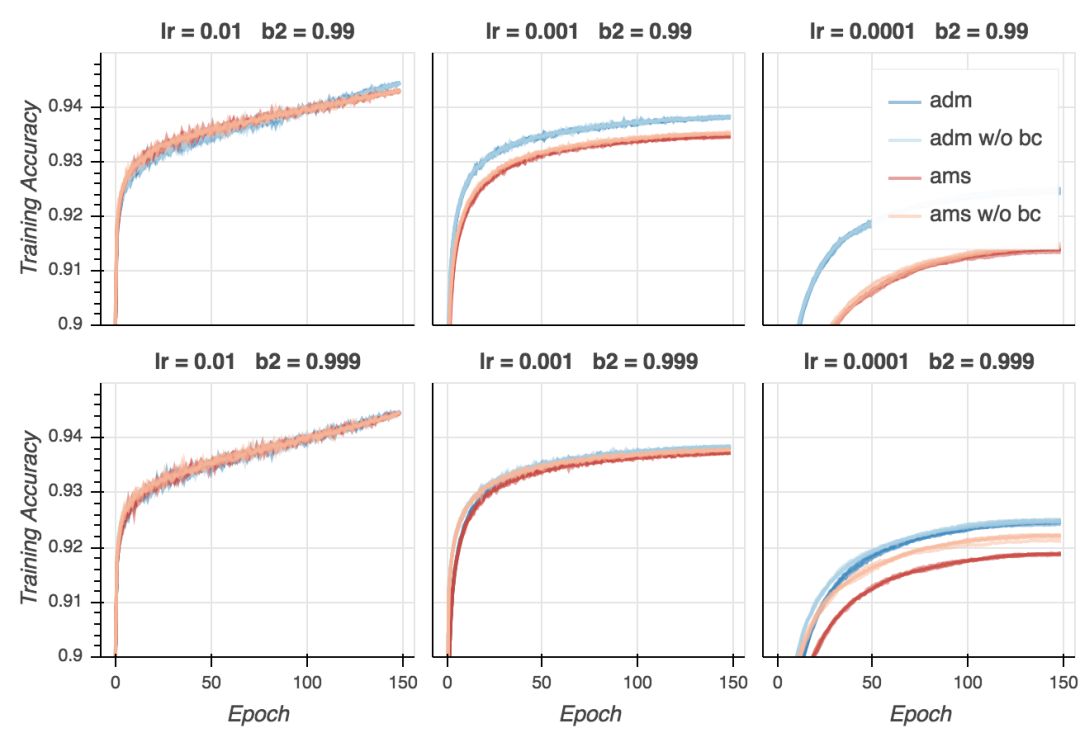
训练精确度

训练精确度的表现和训练损失非常类似,验证精确度同样如此。

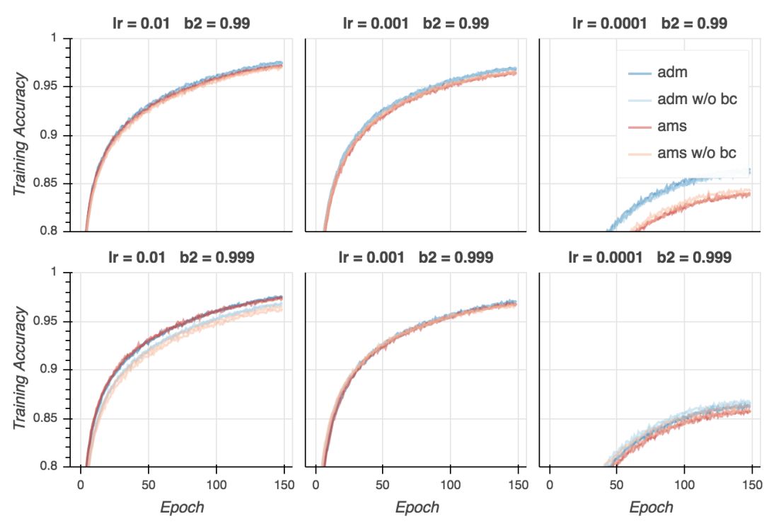
验证精确度

从这些结果来看,在实践层面,相比Adam,AMSGrad并没有明确的优势。结果取决于学习率和beta2的选择。同样,结果并未确认AMSGrad对超参数变动更强韧这一主张。

CIFAR-10上的CifarNet

我尝试重现实现论文描述的卷积神经网络。然而,我没能重现训练取现。取决于学习率和beta2,我要么得到了更好的训练损失(但是验证损失更差),要么两者都比论文中的差。由于论文并未提供模型的所有细节(例如,我们不知道初始化方案,是否使用了L2正则化),很难查找原因。不管怎么说,下面是我得到的结果。

训练损失

我们看到,两个算法在较高的学习率下都不能收敛。就训练损失而言,学习率0.001看起来效果最好。尽管Adam取得了最低的训练损失,但AMSGrad的训练看起来更稳定(差异较小),不过我认为需要更多试验来确认这一点。

验证损失

在取得最佳训练损失的配置上,验证损失很糟糕地发散了。两种算法都受到了类似的影响。看起来基于较低的学习率训练的模型概括性要好很多。我在这里说点扫兴的话,精确度的图片会大不一样。

训练精确度

训练精确度的表现和训练损失类似。

验证精确度

这里是最有意思的部分了。我们之前看到验证损失糟糕地发散的模型,验证精确度实际上是最优的。就验证损失而言看起来概括性更好的模型,从验证精确性的角度而言,概括性并不好。记住这一点很重要。

取决于设定,Adam或AMSGrad以微小的优势超越彼此。更重要的是,和当前最先进模型相比,模型的表现差太多了(只有78%的精确度),不管使用的是什么优化算法。

CIFAR-10上的SmallVgg

这是我在本文主要部分所用模型的一个较小的版本。在每层中,使用一半的过滤器,每块(block)只使用两个卷积层。我将省略这些试验的结果的解释,因为它们并没有增加了什么新的内容。

训练损失

验证损失

训练精确度

验证精确度

原文地址:https://fdlm.github.io/post/amsgrad/