
随着大型网站的各种高并发访问、海量数据处理等场景越来越多,如何实现网站的高可用、易伸缩、可扩展、安全等目标就显得越来越重要。为了解决这样一系列问题,大型网站的架构也在不断发展。提高大型网站的高可用架构,不得不提的就是分布式。本文主要简单介绍了分布式系统的概念、分布式系统的特点、常用的分布式方案以及分布式和集群的区别等。
这是我博客中之前发过的一篇文章,关于分布式的问题最近准备再扩展一些文章,遂把一些基础文章在公众号再发一遍,给没看过的朋友看一下。
一、集中式系统 在学习分布式之前,先了解一下与之相对应的集中式系统是什么样的。集中式系统用一句话概括就是:一个主机带多个终端。终端没有数据处理能力,仅负责数据的录入和输出。而运算、存储等全部在主机上进行。

拿一个电子商城举例,一个集中式系统的电子商城,通过一个应用实现,该应用部署在一起主机上,对外提供服务。用户的所有操作均通过这一台机器的一个应用实现。
集中式系统的最大的特点就是部署结构非常简单,底层一般采用从IBM、HP等厂商购买到的昂贵的大型主机。因此无需考虑如何对服务进行多节点的部署,也就不用考虑各节点之间的分布式协作问题。
但是,由于采用单机部署。很可能带来系统大而复杂、难于维护、发生单点故障(单个点发生故障的时候会波及到整个系统或者网络,从而导致整个系统或者网络的瘫痪)、 扩展性差等问题。
二、分布式系统在《分布式系统概念与设计》一书中,对分布式系统做了如下定义:
分布式系统是一个硬件或软件组件分布在不同的网络计算机上,彼此之间仅仅通过消息传递进行通信和协调的系统。
简单来说就是一群独立计算机集合共同对外提供服务,但是对于系统的用户来说,就像是一台计算机在提供服务一样。
分布式意味着可以采用更多的普通计算机(相对于昂贵的大型机)组成分布式集群对外提供服务。计算机越多,CPU、内存、存储资源等也就越多,能够处理的并发访问量也就越大。

一个由分布式系统实现的电子商城,在功能上可能被拆分成多个应用,分别提供不同的功能,组成一个分布式系统对外提供服务。
而系统内的各个子系统之间通过网络进行通信和协调,如异步消息或者RPC/HTTP请求调用等。
所以,分布式系统中的计算机在空间上几乎没有任何限制,这些计算机可能被放在不同的机柜上,也可能被部署在不同的机房中,还可能在不同的城市中,对于大型的网站甚至可能分布在不同的国家和地区。

但是,无论空间上如何分布,一个标准的分布式系统应该具有以下几个主要特征:
分布性
分布式系统中的多台计算机之间在空间位置上可以随意分布,系统中的多台计算机之间没有主、从之分,即没有控制整个系统的主机,也没有受控的从机。
透明性
系统资源被所有计算机共享。每台计算机的用户不仅可以使用本机的资源,还可以使用本分布式系统中其他计算机的资源(包括CPU、文件、打印机等)。
同一性
系统中的若干台计算机可以互相协作来完成一个共同的任务,或者说一个程序可以分布在几台计算机上并行地运行。
通信性
系统中任意两台计算机都可以通过通信来交换信息。
和集中式系统相比,分布式系统的性价比更高、处理能力更强、可靠性更高、也有很好的扩展性。
但是,分布式在解决了网站的高并发问题的同时也带来了一些其他问题。
首先,分布式的必要条件就是网络,这可能对性能甚至服务能力造成一定的影响。其次,一个集群中的服务器数量越多,服务器宕机的概率也就越大。另外,由于服务在集群中分布是部署,用户的请求只会落到其中一台机器上,所以,一旦处理不好就很容易产生数据一致性问题。
常用的分布式方案分布式应用和服务
将应用和服务进行分层和分割,然后将应用和服务模块进行分布式部署。这样做不仅可以提高并发访问能力、减少数据库连接和资源消耗,还能使不同应用复用共同的服务,使业务易于扩展。
分布式静态资源
对网站的静态资源如JS、CSS、图片等资源进行分布式部署可以减轻应用服务器的负载压力,提高访问速度。
分布式数据和存储
大型网站常常需要处理海量数据,单台计算机往往无法提供足够的内存空间,可以对这些数据进行分布式存储。
分布式计算
随着计算技术的发展,有些应用需要非常巨大的计算能力才能完成,如果采用集中式计算,需要耗费相当长的时间来完成。分布式计算将该应用分解成许多小的部分,分配给多台计算机进行处理。这样可以节约整体计算时间,大大提高计算效率。
分布式与集群很多人对分布式和集群的概念不是很清楚,容易混淆,这里简单区分一下:
分布式(distributed)是指在多台不同的服务器中部署不同的服务模块,通过远程调用协同工作,对外提供服务。
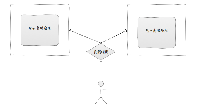
集群(cluster)是指在多台不同的服务器中部署相同应用或服务模块,构成一个集群,通过负载均衡设备对外提供服务。

- MORE | 更多精彩文章 -
如果你看到了这里,说明你喜欢本文。
那么请长按二维码,关注Hollis
转发朋友圈,是对我最大的支持。
