最简洁的Git介绍

359 阅读3分钟
原文链接: www.jianshu.com

一、解决问题

1、Git原理;
2、Git的常见操作;
3、Git常见问题以及相关操作;

二、Git原理

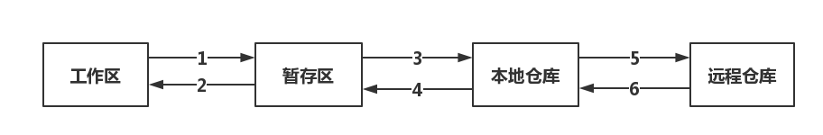
1、四大区域的理解

   1.1、工作区:项目所在目录;
   1.2、暂存区:暂时保存git add 后的文件
   1.3、本地仓库:本地保存文件的修改记录的地方
   1.4、远程仓库:服务端保存文件的修改记录的地方 

2、四大区域之间的转换


Git四大区域转换.png
      2.1、将文件从工作区添加到暂存区命令git add <file>;
      2.2、将文件从暂存区移除到工作区命令git reset head <file>; 
      2.3、将文件从暂存区提交到本地仓库git commit <file>;
      2.4、将某一次改动的文件从本地仓库,返回到暂存区(保存修改内容) 
           git reset —soft  3dee976bb02fe195d726(commit 标识)
      2.5、远程更新代码到本地命令:git pull
      2.6、将本地代码从本地推送到远程 git push

3、常见流程区域的转换(操作前状态:从远程库刚拉下代码)

       3.1、修改文件,文件此时处于工作目录,点击Android studio 下方Version Control 可以看到修改文件         
       3.2、此时使用git commit 提交某个文件是不行的,得先执行git add 把修改文件放到暂存区
       3.3、放到暂存区以后执行git commit 命令可以把代码提交到本地仓库(在文件上点击右键实际上是执行了两步)
       3.4、代码提交本地库,再次修改代码,修改文件又处于工作区状态,这是再次提交仍然需要先git add 再
            git commit 两个操作。
       3.5、执行 git push 本地仓库的代码推送的远程

三、常见的命令操作 1、查看状态

       1.1、查看文件修改状态:git status
       1.2、查看添加记录:git log

2、分支操作

      2.1、查看所有分支 git branch - -all 
      2.2、将某分支合并到当前分支 git merge dev
      2.3、切换到某本地已存在分支git checkout dev
      2.4、在当前分支克隆新分支并切换到新分支 git checkout -b dev

3、提交操作

     3.1、本地提加到暂存区 git add 
     3.2、暂存区添加到本地仓库 git commit
     3.3、本地仓库更新代码 git pull
     3.4、本地代码推到远程 git push
     3.5、恢复到某一次提交(提交以后 的修改全部清除 慎用)
          git reset - -hard  3dee975b85a555d726(commit 标识)
     3.6恢复到某一次提交(提交以后 的修改全部返回暂存区)
         git reset - -soft 3ded635b85a555d726(commit 标识)

四、常见问题以及解决

   1、本地提交出错或想修改提交注释
      git reset - -soft  3dee976bb02fe15a555d726(commit 标识)
      上面命令可以让提交恢复到暂存区,让你重新做人
   2、保存本地工作目录修改状态,切换其他分支干其他事情(最喜欢用命令)
      git stash 保存状态
      git stash pop 恢复
      最神奇命令,很多时候开发到一半,不能提交。但不提交还不能切换其他分支,这时候这个命令就非常神奇
   3、避免冲突扩大话
      在向远程推送代码前先更新代码,解决冲突再提交,然后在推代码