简介
狄克斯特拉算法由荷兰计算机科学家艾兹赫尔·狄克斯特拉在1956年提出是一个解决的是有向图中最短路径问题,在狄克斯特拉算法中,给每段都分配了一个权重,狄克斯特拉算法找出总权重最小的路径
狄克斯特拉算法的使用
思考
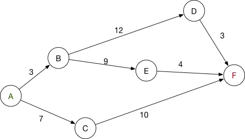
下图是一个加权团,数字代表权重
为了方便理解我们可以把A点看成是家,F点看成是公司,权重看成花费的时间,那么如何才能找到从家到公司的耗时最短的路线呢?
使用
狄克斯特拉算法包含4个步骤
- 找出最优节点,即距离当前节点权重值最小的节点
- 更新该节点的邻居的开销
- 重复这个过程,直接对图中的每个节点都这样做
- 计算最终路径
以图0_1为例,我们来看一下计算过程
找出最优节点,并记录下父节点,未知节点暂时认为是无穷大
第一步
| Base | B | C | D | E | F | |
|---|---|---|---|---|---|---|
| 第一步 | A | A/3 | A/7 | ∞ | ∞ | ∞ |
最优节点为 B ,权重为 3
第二步
| Base | B | C | D | E | F | |
|---|---|---|---|---|---|---|
| 第一步 | A | A/3 | A/7 | ∞ | ∞ | ∞ |
| 第二步 | B | A/3 | A/7 | B/15 | B/12 | ∞ |
最优节点为 C ,权重为 7
第三步
| Base | B | C | D | E | F | |
|---|---|---|---|---|---|---|
| 第一步 | A | A/3 | A/7 | ∞ | ∞ | ∞ |
| 第二步 | B | A/3 | A/7 | B/15 | B/12 | ∞ |
| 第三步 | C | A/3 | A/7 | B/15 | B/12 | C/17 |
最优节点为 E ,权重为 12
第四步
| Base | B | C | D | E | F | |
|---|---|---|---|---|---|---|
| 第一步 | A | A/3 | A/7 | ∞ | ∞ | ∞ |
| 第二步 | B | A/3 | A/7 | B/15 | B/12 | ∞ |
| 第三步 | C | A/3 | A/7 | B/15 | B/12 | C/17 |
| 第四步 | E | A/3 | A/7 | B/15 | B/12 | E/16 |
E: 12+4 = 16 < F:17 < D: 15 + 3 = 18 所以 F 节点的权重替换为 16最优节点为 D ,权重为 16