深度学习在CTR预估中的应用 | CTR深度模型大盘点

257 阅读19分钟
原文链接: click.aliyun.com

深度学习凭借其强大的表达能力和灵活的网络结构在 NLP、图像、语音等众多领域取得了重大突破。在广告领域,预测用户点击率(Click Through Rate,简称 CTR)领域近年也有大量关于深度学习方面的研究,仅这两年就出现了不少于二十多种方法。

本文就近几年 CTR 预估领域中学术界的经典方法进行探究,并比较各自之间模型设计的初衷和各自优缺点。通过十种不同 CTR 深度模型的比较,不同的模型本质上都可以由基础的底层组件组成。

本文中出现的变量定义:

516da44af08d4b7ad8ff0551f9d5d5d2ca225106 n: 特征个数,所有特征 one-hot 后连接起来的整体规模大小
516da44af08d4b7ad8ff0551f9d5d5d2ca225106f: 特征 field 个数,表示特征类别有多少个
516da44af08d4b7ad8ff0551f9d5d5d2ca225106k: embedding 层维度,在 FM 中是隐向量维度

516da44af08d4b7ad8ff0551f9d5d5d2ca225106H1: 深度网络中第一个隐层节点个数,第二层 H2,以此类推

深度学习模型

1. Factorization-machine (FM)

FM 模型可以看成是线性部分的 LR,还有非线性的特征组合 xixj 交叉而成,表示如下:

d235302fb1036d711aa305c5fecc31e3b27463c6

其中 vi 是第 i 维特征的隐向量,长度 k<<n,包含 k 个描述特征的因子。参数个数为 k*n。所有包含 xi 的非零组合特征都可以用来训练 vi,缓解数据稀疏问题。

370f8d88dbc5d07d052cdfc4eb2a107720d3a318

图1:FM模型结构

图 1 是从神经网络的角度表示 FM, 可以看成底层为特征维度为 n 的离散输入,经过 embedding 层后,对 embedding 层线性部分(LR)和非线性部分(特征交叉部分)累加后输出。

FM 等价于 FM + embedding,待学习的参数如下:

516da44af08d4b7ad8ff0551f9d5d5d2ca225106LR 部分:1+n
516da44af08d4b7ad8ff0551f9d5d5d2ca225106embedding 部分:n*k

FM 下文中将作为各种网络模型的基础组件。

2. Deep Neural Network (DNN)

549e10eebb228327fa5df97c14ca5a8434bb3c4a

图2:DNN模型结构

图 2 是经典的 DNN 网络, 结构上看就是传统的多层感知机(MultiLayer Perceptron,简称 MLP)。

在 MLP 网络中,输入是原始的特征 n 维特征空间,假设第一层隐层节点数为 H1,第二层为 H2,以此类推。在第一层网络中,需要学习的参数就是 n*H1。

对于大多数 CTR 模型来说,特征体系都极其庞大而且稀疏,典型的特征数量级 n 从百万级到千万级到亿级甚至更高,这么大规模的 n 作为网络输入在 CTR 预估的工业界场景中是不可接受的。

下面要讲到的大多数深度学习 CTR 网络结构,都围绕着如何将 DNN 的高维离散输入,通过 embedding 层变成低维稠密的输入工作来展开。

DNN 待学习参数:

n*H1+H1*H2+H2*H3+H3*o

o 为输出层大小,在 CTR 预估中为 1。

DNN(后文称 MLP)也将作为下文各种模型的基础组件之一。

3. Factorization-machine supported Neural Networks (FNN)

在上述的 DNN 中,网络的原始输入是全部原始特征,维度为 n,通常都是百万级以上。然而特征维度 n 虽然空间巨大,但如果归属到每个特征所属的 field(维度为 f),通常 f 维度会小很多。

如果有办法将每个特征用其所属的 field 来表示,原始输入将大大减少不少。Factorisation-machine Supported Neural Networks,简称 FNN 就是基于这种思想提出来的。

9a1b76edddf1a8b92e0263d43b07be10b2e9a2c2

图3:FNN模型结构

FNN 假设每个 field 有且只有一个值为 1,其他均为 0。x 为原始输入的特征,它是大规模离散稀疏的。它可以分成 n 个 field,每一个 field 中,只有一个值为 1,其余都为 0(即 one hot)。

field i 的输入可以表示成 x[start_i: end_i],Wi 为field i 的 embedding 矩阵。z为 embedding 后的向量,是一个 k 维的向量,它由一次项 wi ,二次项 vi=(vi1,vi2,…vik) 组成,其中 k 是 FM 中二次项的向量的维度。而后面的 l1,l2 则为神经网络的全连接层的表示。

除此之外,FNN 还具有以下几个特点

FM 参数需要预训练

FM 部分的 embedding 需要预先进行训练,所以 FNN 不是一个 end-to-end 模型。在其他论文中,有试过不用 FM 初始化 embedding,而用随机初始化的方法,要么收敛速度很慢,要么无法收敛。有兴趣的同学可以实验验证下。

无法拟合低阶特征

FM 得到的 embedding 向量直接 concat 连接之后作为 MLP 的输入去学习高阶特征表达,最终的 DNN 输出作为 CTR 预估值。因此,FNN 对低阶信息的表达比较有限。

每个 field 只有一个非零值的强假设

FNN 假设每个 fileld 只有一个值为非零值,如果是稠密原始输入,则 FNN 失去意义。对于一个 fileld 有几个非零值的情况,例如用户标签可能有多个,一般可以做 average/sum/max 等处理。

本质上讲,FNN = LR+DEEP = LR + embedding + MLP,参数如下:

516da44af08d4b7ad8ff0551f9d5d5d2ca225106LR 部分: 1+n

516da44af08d4b7ad8ff0551f9d5d5d2ca225106embedding 部分: n*k

516da44af08d4b7ad8ff0551f9d5d5d2ca225106MLP 部分: f*k*H1+H1*H2+H2

可以看到,对比 DNN,在进入 MLP 部分之前,网络的输入由 n 降到了 f*k(f 为 field 个数,几十到几百之间,k 为隐向量维度,一般 0~100)。

4. Product-based Neural Network (PNN)

FNN 的 embedding 层直接 concat 连接后输出到 MLP 中去学习高阶特征。

PNN,全称为 Product-based Neural Network,认为在 embedding 输入到 MLP 之后学习的交叉特征表达并不充分,提出了一种 product layer 的思想,既基于乘法的运算来体现体征交叉的 DNN 网络结构,如图 4 所示。

8cc09fb619c278d6500fa2bb6ca0f43088140fb5

图4:PNN模型结构

对比 FNN 网络,PNN 的区别在于中间多了一层 Product Layer 层。Product Layer 层由两部分组成,左边 z 为 embedding 层的线性部分,右边为 embedding 层的特征交叉部分。

除了 Product Layer 不同,PNN 和 FNN 的 MLP 结构是一样的。这种 product 思想来源于,在 CTR 预估中,认为特征之间的关系更多是一种 and“且”的关系,而非 add"加”的关系。 例如,性别为男且喜欢游戏的人群,比起性别男和喜欢游戏的人群,前者的组合比后者更能体现特征交叉的意义。

根据 product 的方式不同,可以分为 inner product (IPNN) 和 outer product (OPNN),如图 5 所示。

00e005f4f07ea929d461987968ed98a94de89de1

图5:PNN (左图 IPNN,右图 OPNN)

Product Layer 的输出为:

a47e1adac2b9653c1bd9dda8cdaa73fada5037ac

Inner Product-based Neural Network

IPNN 的叉项使用了内积 g(fi, fj) = <fi, fj>。f 个 filed,两两求内积共计交叉项 p 部分的参数共 f*(f-1)/2(f 为特征的 field 个数,原始论文里用的 N)个,线性部分 z 部分参数共 f*k 个。需要学习的参数为:

516da44af08d4b7ad8ff0551f9d5d5d2ca225106FM 部分:1+ n + n*k

516da44af08d4b7ad8ff0551f9d5d5d2ca225106product部分:(f*k + f*(f-1)/2)*H1

516da44af08d4b7ad8ff0551f9d5d5d2ca225106MLP 部分:H1*H2+H2*1

Outer Product-based Neural Network

OPNN 用矩阵乘法来表示特征的交叉,g(fi, fj)=fifit。f 个 field 两两求矩阵乘法,交叉项 p 共 f*(f-1)/2*k*k 个参数。线性部分 z 部分参数共 f*k 个。需要学习的参数为:

516da44af08d4b7ad8ff0551f9d5d5d2ca225106FM 部分: 1+ n + n*k

516da44af08d4b7ad8ff0551f9d5d5d2ca225106product 部分:(f*k + f*(f-1)/2*k*k)*H1

516da44af08d4b7ad8ff0551f9d5d5d2ca225106MLP 部分:H1*H2+H2*1

5. Wide & Deep Learning (Wide & Deep)

前面介绍的两种变体 DNN 结构 FNN 和 PNN,都在 embedding 层对输入做处理后输入 MLP,让神经网络充分学习特征的高阶表达,deep 部分是有了,对高阶的特征学习表达较强,但 wide 部分的表达是缺失的,模型对于低阶特征的表达却比较有限。

Google 在 2016 年提出了大名鼎鼎的 Wide & Deep 结构正是解决了这样的问题。Wide & Deep 结合了 Wide 模型的优点和 Deep 模型的优点,网络结构如图 6 所示,Wide 部分是 LR 模型,Deep 部分是 DNN 模型。

40b2dd7795d1885c1e0687efc3d47f97f0b1cce8

图6:Wide & Deep 模型结构

在这个经典的 Wide & Deep 模型中,Google 提出了两个概念,Generalization(泛化性)和 Memory(记忆性)。

Memory(记忆性)

Wide 部分长处在于学习样本中的高频部分,优点是模型的记忆性好,对于样本中出现过的高频低阶特征能够用少量参数学习;缺点是模型的泛化能力差,例如对于没有见过的 ID 类特征,模型学习能力较差。

Generalization(泛化性)

Deep 部分长处在于学习样本中的长尾部分,优点是泛化能力强,对于少量出现过的样本甚至没有出现过的样本都能做出预测(非零的 embedding 向量);缺点是模型对于低阶特征的学习需要用较多参才能等同 Wide 部分效果,而且泛化能力强某种程度上也可能导致过拟合出现 bad case。

除此之外,Wide & Deep 模型还有如下特点

人工特征工程

LR 部分的特征,仍然需要人工设计才能保证一个不错的效果。因为 LR 部分是直接作为最终预测的一部分,如果作为 Wide 部分的 LR 特征工程做的不够完善,将影响整个 Wide & Deep 的模型精度。

联合训练

模型是 end-to-end 结构,Wide 部分和 Deep 部分是联合训练的。

Embedding 层 Deep 部分单独占有

LR 部分直接作为最后输出,因此 embedding 层是 Deep 部分独有的。

Wide & Deep 等价于 LR + embedding + MLP,需要学习的网络参数有:

516da44af08d4b7ad8ff0551f9d5d5d2ca225106LR: 1+n

516da44af08d4b7ad8ff0551f9d5d5d2ca225106embedding 部分:n*k

516da44af08d4b7ad8ff0551f9d5d5d2ca225106MLP 部分:f*k*H1 + H1*H2 + H2*1

6. Factorization-Machine based Neural Network (DeepFM)

Google 提出的 Wide & Deep 框架固然强大,但由于 Wide 部分是个 LR 模型,仍然需要人工特征工程。

Wide & Deep 给整个学术界和工业界提供了一种框架思想。基于这种思想,华为诺亚方舟团队结合 FM 相比 LR 的特征交叉的功能,将 Wide & Deep 部分的 LR 部分替换成 FM 来避免人工特征工程,于是有了 DeepFM,网络结构如图 7 所示。

d574ee514174e49680c6afe75a80bef5763777d3

图7:DeepFM 模型结构

比起 Wide & Deep 的 LR 部分,DeepFM 采用 FM 作为 Wide 部分的输出,FM 部分如图 8 所示。

a4b618683114fe597a55fb1944d55bcd673b9b6e

图8:DeepFM 模型中的 FM 部分结构

除此之外,DeepFM 还有如下特点

低阶特征表达

Wide 部分取代 WDL 的 LR,比 FNN 和 PNN 更能捕捉低阶特征信息。

Embedding 层共享

Wide & Deep 部分的 embedding 层得需要针对 Deep 部分单独设计;而在 DeepFM 中,FM 和 Deep 部分共享 embedding 层,FM 训练得到的参数既作为 Wide 部分的输出,也作为 DNN 部分的输入。

end-end训练

embedding 和网络权重联合训练,无需预训练和单独训练。

DeepFM 等价于 FM + embedding + DNN:

516da44af08d4b7ad8ff0551f9d5d5d2ca225106FM 部分:1+n

516da44af08d4b7ad8ff0551f9d5d5d2ca225106embedding 部分:n*k

516da44af08d4b7ad8ff0551f9d5d5d2ca225106DNN 部分:f*k*H1 + H1*H2+H1

通过 embedding 层后,FM 部分直接输出没有参数需要学习,进入 DNN 部分的参数维度从原始 n 维降到 f*k 维。

7. Neural Factorization Machines (NFM)

前面的 DeepFM 在 embedding 层后把 FM 部分直接 concat 起来(f*k 维,f 个 field,每个 filed 是 k 维向量)作为 DNN 的输入。

Neural Factorization Machines,简称 NFM,提出了一种更加简单粗暴的方法,在 embedding 层后,做了一个叫做 BI-interaction 的操作,让各个 field 做 element-wise 后 sum 起来去做特征交叉,MLP 的输入规模直接压缩到 k 维,和特征的原始维度 n 和特征 field 维度 f 没有任何关系。

网络结构如图 9 所示:

448517b134c2c6ea191c8b00ac6cd9051c3241e8

图9:NFM 模型结构

这里论文只画出了其中的 Deep 部分,Wide 部分在这里省略没有画出来。

Bi-interaction 听名字很高大上,其实操作很简单:就是让 f 个 field 两两 element-wise 相乘后,得到 f*(f-1)/2 个向量,然后直接 sum 起来,最后得到一个 k 维的向量。所以该层没有任何参数需要学习。

NFM 等价于 FM + embedding + MLP,需要学习的参数有:

516da44af08d4b7ad8ff0551f9d5d5d2ca225106FM部分:1+n

516da44af08d4b7ad8ff0551f9d5d5d2ca225106embedding部分:n*k

516da44af08d4b7ad8ff0551f9d5d5d2ca225106MLP部分:k*H1 + H1*H2+…+Hl*1

NFM 在 embedding 做了 bi-interaction 操作来做特征的交叉处理,优点是网络参数从 n 直接压缩到 k(比 FNN 和 DeepFM 的 f*k 还少),降低了网络复杂度,能够加速网络的训练得到模型;但同时这种方法也可能带来较大的信息损失。

8. Attention Neural Factorization Machines (AFM)

前面提到的各种网络结构中的 FM 在做特征交叉时,让不同特征的向量直接做交叉,基于的假设是各个特征交叉对 CTR 结果预估的贡献度是一样的。这种假设其实是不合理的,不同特征在做交叉时,对 CTR 预估结果的贡献度是不一样的。

Attention Neural Factorization Machines,简称 NFM 模型,利用了近年来在图像、NLP、语音等领域大获成功的 attention 机制,在前面讲到的 NFM 基础上,引入了 attention 机制来解决这个问题

AFM 的网络结构如图 10 所示。和 NFM 一样,这里也省略了 Wide 部分,只画出了 Deep 部分结构。

822314521822455440bb919e4d67a595f388fe65

图10:AFM 模型结构

AFM 的 embedding 层后和 NFM 一样,先让 f 个 field 的特征做了 element-wise product 后,得到 f*(f-1)/2 个交叉项。

和 NFM 直接把这些交叉项 sum 起来不同,AFM 引入了一个 Attention Net,认为这些交叉特征项每个对结果的贡献是不同的,例如 xi 和 xj 的权重重要度,用 aij 来表示。

从这个角度来看,其实 AFM 就是个加权累加的过程。Attention Net 部分的权重 aij 不是直接学习,而是通过如下公式表示:

8eb307add3afd7fc4cd0a37d66fea9a4fefa24dc

这里 t 表示 attention net 中的隐层维度,k 和前面一样,为 embedding 层的维度。所以这里需要学习的参数有 3 个,W, b, h,参数个数共 t*k+2*t 个。

得到 aij 权重后,对各个特征两两点积加权累加后,得到一个 k 维的向量,引入一个简单的参数向量 pT,维度为 k 进行学习,和 Wide 部分一起得到最终的 AFM 输出。

caf239f9b4e7a30ac8bc27f48aa8894b7d7f5aa9

总结 AFM 的网络结构来说,有如下特点

Attention Network

AFM 的亮点所在,通过一个 Attention Net 生成一个关于特征交叉项的权重,然后将 FM 原来的二次项直接累加,变成加权累加。本质上是一个加权平均,学习 xjxj 的交叉特征重要性。

Deep Network

没有 Deep,卒。

Attention Net 学习得到的交叉项直接学些个 pt 参数就输出了,少了 DNN 部分的表达,对高阶特征部分的进一步学习可能存在瓶颈。另外,FFM 其实也引入了 field 的概念去学习 filed 和 featrue 之间的权重。

没有了 Deep 部分的 AFM,和优化的 FFM 上限应该比较接近。

AFM 等价于 FM + embedding + attention + MLP(一层),需要学习的参数有:

516da44af08d4b7ad8ff0551f9d5d5d2ca225106FM部分参数:1+n

516da44af08d4b7ad8ff0551f9d5d5d2ca225106Embedding部分参数:n*k

516da44af08d4b7ad8ff0551f9d5d5d2ca225106Attention Network部分参数:k*t + t*2

516da44af08d4b7ad8ff0551f9d5d5d2ca225106MLP部分参数:k*1

9. Deep&Cross Network (DCN)

在 CTR 预估中,特征交叉是很重要的一步,但目前的网络结构,最多都只学到二级交叉。

LR 模型采用原始人工交叉特征,FM 自动学习 xi 和 xj 的二阶交叉特征,而 PNN 用 product 方式做二阶交叉,NFM 和 AFM 也都采用了 Bi-interaction 的方式学习特征的二阶交叉。对于更高阶的特征交叉,只有让 Deep 去学习了。

为解决这个问题,Google 在 2017 年提出了 Deep & Cross Network,简称 DCN 的模型,可以任意组合特征,而且不增加网络参数。图 11 为 DCN 的结构。

23310ef4ef375d73eee338a81fa754fd62744e4b

图11:DCN 模型结构

整个网络由 4 部分组成:

Embedding and Stacking Layer

之所以不把 embedding 和 stacking 分开来看,是因为很多时候,embedding 和 stacking 过程是分不开的。

前面讲到的各种 XX-based FM 网络结构,利用 FM 学到的 v 向量可以很好地作为 embedding。

而在很多实际的业务结构,可能已经有了提取到的 embedding 特征信息,例如图像的特征 embedding,text 的特征 embedding,item 的 embedding 等,还有其他连续值信息,例如年龄,收入水平等,这些 embedding 向量 stack 在一起后,一起作为后续网络结构的输入。

当然,这部分也可以用前面讲到的 FM 来做 embedding。为了和原始论文保持一致,这里我们假设 X0 向量维度为 d(上文的网络结构中为 k),这一层的做法就是简单地把各种 embedding 向量 concat 起来。

63effb52fa33787d9e7cc1a93db58b1acdb30b08

在 Embedding and Stacking Layer 之后,网络分成了两路,一路是传统的 DNN 结构。表示如下:

a7f3886b3ea2d6031265aac3d767db295f30fdfd

为简化理解,假设每一层网络的参数有 m 个,一共有 Ld 层,输入层由于和上一层连接,有 d*m 个参数(d 为 x0 向量维度),后续的 Ld-1 层,每层需要 m*(m+1) 个参数,所以一共需要学习的参数有 d*m+m*(m+1)*(Ld-1)。最后的输出也是个 m 维向量 Hl2。

Cross Layer Network 

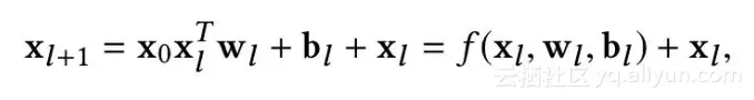
Embedding and Stacking Layer 输入后的另一路就是 DCN 的重点工作了。假设网络有 L1 层,每一层和前一层的关系可以用如下关系表示:

ed86c4489326235ca28841179bd5bb7b8cdfe9a2

可以看到 f 是待拟合的函数,xl 即为上一层的网络输入。需要学习的参数为 wl 和 bl,因为 xl 维度为 d, 当前层网络输入 xl+1 也为 d 维,待学习的参数 wl 和 bl 也都是 d 维度向量。

因此,每一层都有 2*d 的参数(w 和 b)需要学习,网络结构如下:

2060a207ff7a410958d042fcc2b272ddb4ad0462

经过 Lc 层的 Cross Layer Network 后,在该 layer 最后一层 Lc 层的输出为 Lc2 的 d 维向量。

Combination Output Layer

经过 Cross Network 的输出 XL1(d 维)和 Deep Network 之后的向量输入(m 维)直接做 concat,变为一个 d+m 的向量,最后套一个 LR 模型,需要学习参数为 1+d+m。

总结起来,DCN 引入的 Cross Network 理论上可以表达任意高阶组合,同时每一层保留低阶组合,参数的向量化也控制了模型的复杂度。

DCN 等价于 embedding + cross + deep + LR:

516da44af08d4b7ad8ff0551f9d5d5d2ca225106embedding 部分参数:根据情况而定

516da44af08d4b7ad8ff0551f9d5d5d2ca225106cross 部分参数:2*d*Lc(Lc 为 cross 网路层数)

516da44af08d4b7ad8ff0551f9d5d5d2ca225106deep 部分参数:d*(m+1)+m*(m+1)*(Ld-1),Ld 为深度网络层数,m 为每层网络参数

516da44af08d4b7ad8ff0551f9d5d5d2ca225106LR 部分参数:1+d+m

10. Deep Interest Network (DIN)

最后介绍阿里在 2017 年提出的 Deep Interest Network,简称 DIN 模型。与上面的 FNN,PNN 等引入低阶代数范式不同,DIN 的核心是基于数据的内在特点,引入了更高阶的学习范式。

用户的兴趣是多种多样的,从数学的角度来看,用户的兴趣在兴趣空间是一个多峰分布。在预测 CTR 时,用户 embedding 表示的兴趣维度,很多是和当前 item 是否点击无关的,只和用户兴趣中的局部信息有关。

因此,受 attention 机制启发,DIN 在 embedding 层后做了一个 action unit 的操作,对用户的兴趣分布进行学习后再输入到 DNN 中去,网络结构如图 12所示:

35278843226533658652fc75dcd5e727df02bfd6

图12:DIN 模型结构

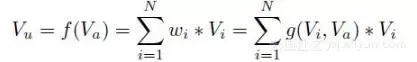
DIN 把用户特征、用户历史行为特征进行 embedding 操作,视为对用户兴趣的表示,之后通过 attention network,对每个兴趣表示赋予不同的权值。

516da44af08d4b7ad8ff0551f9d5d5d2ca225106Vu:表示用户最终向量

516da44af08d4b7ad8ff0551f9d5d5d2ca225106Vi:表示用户兴趣向量(shop_id, good_id..)

516da44af08d4b7ad8ff0551f9d5d5d2ca225106Va:表示广告表示向量

516da44af08d4b7ad8ff0551f9d5d5d2ca225106Wi: 对于候选广告,attention 机制中该兴趣的权重

840f5e68096721fe4f819f233b7c10df7b5b8054

可以看到,对于用户的每个兴趣向量 Vi,都会通过学习该兴趣的权重 Vi, 来作为最终的用户表示。

写在最

前面介绍了 10 种深度学习模型的网络结构,总结起来如下所表示:

b206f43428ebc0c7017085049eb938ace641583b

各种 CTR 深度模型看似结构各异,其实大多数可以用如下的通用范式来表达:

input->embedding:把大规模的稀疏特征 ID 用 embedding 操作映射为低维稠密的 embedding 向量。

embedding 层向量:concat, sum, average pooling 等操作,大部分 CTR 模型在该层做改造。

embedding->output:通用的 DNN 全连接框架,输入规模从 n 维降为 k*f 维度甚至更低。

14ea5a56e5e9c232bb736baba524be5d49d0386b

图13:通用深度学习模型结构


其中,embedding vector 这层的融合是深度学习模型改造最多的地方,该层是进入深度学习模型的输入层,embedding 融合的质量将影响 DNN 模型学习的好坏。

个人总结大体有以下 4 种操作,当然后续可能会有越来越多其他的变形结构。

a5ea88da887a2d46b36594e95e3a151c058bde3a

图14:embedding 层融合方式

另外,DNN 部分,业界也有很多或 state-of-art 或很 tricky 的方法,都可以在里面进行尝试,例如 dropout,在 NFM 的 Bi-interaction 中可以尝试以一定概率 dropout 掉交叉特征增前模型的泛化能力等。

结语

CTR 预估领域不像图像、语音等领域具有连续、稠密的数据以及空间、时间等的良好局部相关性,CTR 预估中的大多数输入都是离散而且高维的,特征也分散在少量不同的 field 上。

要解决这样的一个深度学习模型,面临的第一个问题是怎么把输入向量用一个 embedding 层降维策划那个稠密连续的向量,如本文介绍的用 FM 去做预训练,或者和模型一起联合训练,或者其他数据源提取的 embedding 特征向量去做 concat。

其次,在宽和深的大战中,在 Google 提出了 Wide & Deep 模型框架后,这套体系基本已成为业内的基本框架。无论 Wide 部分或者 Deep 怎么改造,其实本质上还是一些常见组件的结合,或者改造 Wide,或者改造 Weep,或者在 Wide 和 Deep 的结合过程中进行改造。

CTR 预估领域方法变化层出不穷,但万变不离其宗,各种模型本质上还是基础组件的组合,如何结合自己的业务、数据、应用场景去挑选合适的模型应用,可能才是真正的难点所在。



原文发布时间为:2018-04-10

本文作者:辛俊波

本文来自云栖社区合作伙伴“PaperWeekly”,了解相关信息可以关注“ PaperWeekly ”微信公众号