
矩阵分解
上一篇介绍了协同过滤,其重点就是在人-物品矩阵上,其中心思想是去对人或者物品进行聚类,从而找到相似人或者相似物品,用群体的智慧为个人进行推荐,但是,这种近邻模型也存在好多问题:
-
随着人和物品的增加,系统的推荐效果并不是线性增加的
-
矩阵中元素稀疏,在计算过程中,随机的增减一个维度,对结果影响很大
为了解决上面的问题,于是就有人发明了矩阵分解的方法,矩阵分解简单讲看下面图:

假设用户物品的评分矩阵 A 是 m 乘以 n 维,即一共有 m 个用户,n 个物品。我们选一个相对 m 和 n 很小的数 k,通过一套算法得到两个矩阵 U 和 V,矩阵 U 的维度是 m 乘以 k,矩阵 V 的维度是 n 乘以 k。
我们现在对上面的整个过程进行解释。
刚开始我们有用户-物品的矩阵,但是呢,整个矩阵中元素非常稀疏,也就是说我们所能得到的有效信息非常好,现在我们希望通过一定的方法来补全信息。

矩阵分解求解方法
现在我们知道了分解原理,下一步就是如何去求解了,介绍两种方法,一种是梯度下降,另一种是交替最小二乘法 ALS。
我们先来看“梯度下降”(Gradient Descent)的方法,要用梯度下降来优化的话,我们需要先定义损失函数:

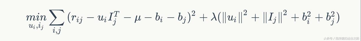
这个损失函数由两部分构成,加号前一部分控制着模型的偏差,加号后一部分控制着模型的方差。
接着我们来看交替最小二乘法 ALS,其原理是:先假设user矩阵的特征值,通过梯度下降求解item的特征值;再假定item的特征值,求解user的特征值,
上面我们对于用户的评分只建模了用户和物品的隐向量,但是实际中有一些用户会给出偏高的评分;有一些物品也会收到偏高的评分,甚至整个平台所有的物品的评分都会有个偏置,基于此,我们修正下我们的损失函数:

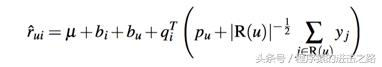
在加入了偏置信息的基础上,我们在加入引入用户的一些隐性行为,将这种隐反馈考虑进来,特别适合一直浏览,但是不怎么进行评价的用户。此时我们建模得到下面的式子:

其中R(u)是用户u有隐性行为的item集合,y则是对item隐性行为的向量建模,如果用户有多个隐性行为,我们同样可以再加上一个隐向量:

更多的关于这svd相关的,可以参考我之前的文章推荐系统算法之surprise实战,理解结合了代码,分析了不同的算法实现。
负采样
下面我们来讨论一个关于隐式反馈的问题,我们以浏览举例子,我们在收集用户浏览数据的时候,一般只有用户明确浏览了哪个物品的记录,一般没有用户明确不浏览哪个文档的记录,这就导致我们的训练样本中数据只有1个类别,因此我们需要一些负采样的手段,可行的方法有两个:
-
随机均匀采样,和正样本保持 1:1
-
按照物品热点采样,理论上这个物品很热门,用户都没有看,这个用户更加有可能是对这个物品真不感兴趣
现在我们已经通过负采样的方式得到了负样本了,下一步是我们在正样本的基础上加入置信度,这个置信度是通过统计用户浏览物品的次数得到,用户如果反复浏览,说明用户对这个物品就越感兴趣,所以我们假设
-
用户没有浏览,分数为0(负采样得到)
-
浏览一次,得分为1,随着浏览次数增加,得分提高
此时我们的损失函数为:

现在假设我们已经计算出用户和物品的隐向量了,接下去我们就要去计算用户对所有物品的评分了,从中选择topk的做推荐,这在工程上就会面临一个计算量问题,在上一篇文章深入浅出推荐系统之简单推荐模型中,讨论协同过滤的时候就有讲过如何进行计算的问题,可以去查看下,其主要思想就是将计算用户对所有物品的评分拆分成了MapReduce任务,非常精妙,其大致原理如下:

现在总结下上面讲的隐向量模型,隐向量模型尝试建立从隐藏变量到最终预测值之间的关系,在前面介绍的矩阵分解中,我们的输入是用户id和物品id,然后通过矩阵分解的方法,我们得到了用户的隐藏向量和物品的隐藏向量。
分解机
上面这种方法的问题是:我们无法对用户和物品显性特征的建模,譬如我们已经得到了用户的用户画像,或者物品的物品画像,但是我们不能融合进入我们的模型,我们如果要对这些显性特征进行建模的话,一个可行的方案就是逻辑回归,于是有人就对矩阵分解和逻辑回归进行了结合,提出了"分解机"的模型.
分解机FM的基本原理是:不仅对显性变量建模,而且对显性变量之间的关系进行建模,在对显性变量关系建模的过程中使用了隐变量的方法。
另外分解机的一个优势是可以部分解决冷启动问题,因为即使没有用户的反馈数据,我们也能够通过显性变量来预测出一个评分来,更多的关于FM的资料可以看我之前的文章CTR 预估之 FM。
下面我讲下 "CTR 预估之 FM" 文章没有讲的内容,FM是如何能够融合协同过滤、矩阵分解和线性模型的优点的。
以下内容主要来自论文Factorization Machines with libFM.
先来看一张训练数据的图:

上面x是特征向量,y是用户的评分,我们可以看到用户向量中,对用户id和电影id都进行了one-hot编码,然后还加入了用户的历史行为和时间特征,此时的预测公式是:

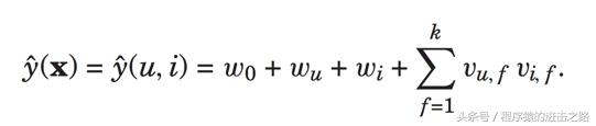
现在假设我们只有用户id和电影id这两个特征,则输入特征是:

预测公式变为:

这不就是我们上面介绍的了加入了偏置信息的矩阵分解svd。
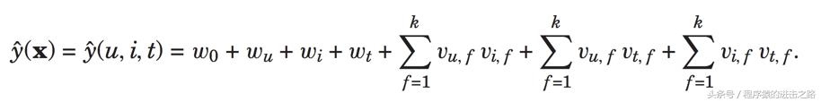
现在我们加入时间特征,则输入特征为:

预测为:

此时就变为了pairwise interaction tensor factorization model (PITF).
我们继续看一个复杂点的例子,我们有用户id和电影id,此时加入用户之前有过评分的电影 m
个,并且设置每个电影的权重为1/m,则此时有输入特征为:

预测为:

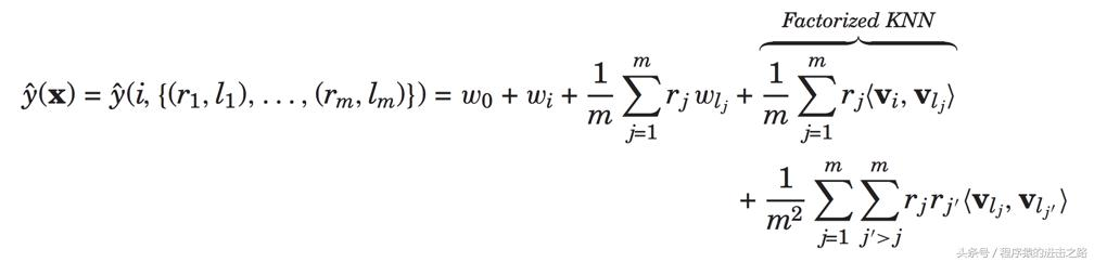
接着我们再来看不仅将用户的有过行为的电影建模进来,并且还将其对每个电影的评分特征加入,此时输入可以表示为:

上面表示对于物品i,用户已经对于(l1,l2,...lm)的评分分别为(r1,r2,..rm),
此时预测部分的物品相关为:

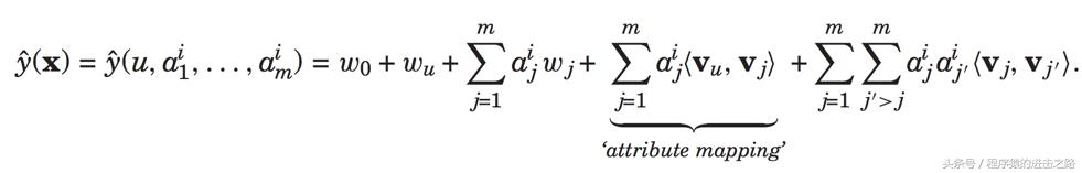
最后介绍一个对于用户属性特征的建模,输入特征为:

预测为:

所以我们可以看到分解机FM真的是非常强大,能够通过一个模型融合协同过滤、矩阵分解和线性模型。
总结
本文介绍了基于隐变量原理两种算法:矩阵分解svd和分解机FM,其求解方法有:梯度下降和交替最小二乘法;在介绍完求解方法后,我们讨论svd的一些变种,以及集大成者FM是如何进行多模型融合的。
关于本文介绍的算法,我将会在GitHub上在腾讯的ad数据集上进行实现,欢迎持续关注。
你的鼓励是我继续写下去的动力,期待我们共同进步。
原味地址:https://www.zybuluo.com/zhuanxu/note/1107003