红黑树

423 阅读12分钟

注:本文对网上一些博客进行详细与修正,并给出C语言实现

红黑树是平衡二叉查找树的一种。为了深入理解红黑树,我们需要从二叉查找树开始讲起。

BST

二叉查找树(Binary Search Tree,简称BST)是一棵二叉树,它的左子节点的值比父节点的值要小,右节点的值要比父节点的值大。它的高度决定了它的查找效率。

在理想的情况下,二叉查找树增删查改的时间复杂度为O(logN)(其中N为节点数),最坏的情况下为O(N)。当它的高度为logN+1时,我们就说二叉查找树是平衡的。

BST

查找

当BST查找的时候,先与当前节点进行比较:

  • 如果相等的话就返回当前节点;
  • 如果少于当前节点则继续查找当前节点的左节点;
  • 如果大于当前节点则继续查找当前节点的右节点。

直到当前节点指针为空或者查找到对应的节点,程序查找结束。

//查找某一个值
BiTNode SearchValue(BiTNode root, int x)
{
    if (root == NULL)
        return NULL;

    BiTNode current = root;
    while (current != NULL)
    {
        if (x < current->value)
            current = current->left;
        else if (x > current->value)
            current = current->right;
        else
            return current;
    }
    return NULL;
}

插入

插入操作先通过循环查找到待插入的节点的父节点,和查找父节点的逻辑一样,都是比大小,小的往左,大的往右。找到父节点后,对比父节点,小的就插入到父节点的左节点,大就插入到父节点的右节点上。

//插入节点
BiTNode Insert(BiTNode root, int x)
{
    BiTNode node = (BiTNode)malloc(sizeof(struct BiTree));
    node->value = x;
    if ((root) == NULL)
    {
        return node;
    }
    BiTNode current = root;
    while (current != NULL)
    {
        if (current->value == x)
        {
            break;
        }
        else if (current->value > x)
        {
            if (current->left == NULL)
            {
                current->left = node;
                break;
            }
            current = current->left;
        }
        else
        {
            if (current->right == NULL)
            {
                current->right = node;
                break;
            }
            current = current->right;
        }
    }
    return root;
}

删除

删除操作的步骤如下:

  1. 查找到要删除的节点。
  2. 如果待删除的节点是叶子节点,则直接删除。
  3. 如果待删除的节点不是叶子节点,则先找到待删除节点的右节点的最小节点,用该最小节点的值替换待删除的节点的值,然后删除这个最小节点。

BST remove

BST存在的问题

BST存在的主要问题是,数在插入的时候会导致树倾斜,不同的插入顺序会导致树的高度不一样,而树的高度直接的影响了树的查找效率。理想的高度是logN,最坏的情况是所有的节点都在一条斜线上,这样的树的高度为N。

红黑树

基于BST存在的问题,一种新的树——平衡二叉查找树(Balanced BST)产生了。平衡树在插入和删除的时候,会通过旋转操作将高度保持在logN。其中两款具有代表性的平衡树分别为AVL树和红黑树。AVL树由于实现比较复杂,而且插入和删除性能差,在实际环境下的应用不如红黑树。

红黑树(Red-Black Tree,以下简称RBTree) 的实际应用非常广泛,比如Linux内核中的完全公平调度器、高精度计时器、ext3文件系统等等,各种语言的函数库如Java的TreeMap和TreeSet,C++ STL的map、multimap、multiset等。

RBTree也是函数式语言中最常用的持久数据结构之一,在计算几何中也有重要作用。值得一提的是,Java 8中HashMap的实现也因为用RBTree取代链表,性能有所提升。

定义

RBTree的定义如下:

  1. 任何一个节点都有颜色,黑色或者红色
  2. 根节点是黑色的
  3. 所有叶子都是黑色(叶子是NIL节点)
  4. 父子节点之间不能出现两个连续的红节点(每个红色节点必须有两个黑色的子节点)
  5. 从任一节点到其每个叶子的所有简单路径都包含相同数目的黑色节点。

数据结构表示如下:

typedef struct Node
{
    struct Node *parent; //父节点
    struct Node *left;   //左子树
    struct Node *right;  //右子树
    int value;           //value
    bool color;          //节点颜色
} * RBTree;

RBTree在理论上还是一棵BST树,但是它在对BST的插入和删除操作时会维持树的平衡,即保证树的高度在[logN,logN+1](理论上,极端的情况下可以出现RBTree的高度达到2*logN,但实际上很难遇到)。这样RBTree的查找时间复杂度始终保持在O(logN)从而接近于理想的BST。RBTree的删除和插入操作的时间复杂度也是O(logN)。RBTree的查找操作就是BST的查找操作。

图例:

An example of a red-black tree

旋转

Rotate分为left-rotate(左旋)和right-rotate(右旋)

注:网上可能有两种版本的旋转,请注意,以下全文均采用此处定义的旋转

旋转规则:

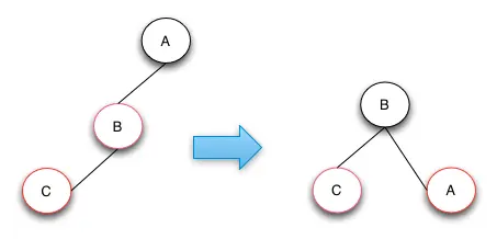
假设当前节点为 node

左旋:(node即为右图中的P)

node节点的父节点变为node的右子树,node的右节点变为node的右子树的左子树,node节点的祖父节点的child节点(可能左可能右)变为node节点的右子树

右旋:(node即为左图中的Q)

node节点的父节点变为node的左子树,node的左节点变为node的左子树的右子树,node节点的祖父节点的child节点(可能左可能右)变为node节点的左子树

Tree rotation.png

查找

RBTree的查找操作和BST的查找操作是一样的。请参考BST的查找操作代码。

插入删除前言:

在红黑树上进行插入操作和删除操作会导致不再匹配红黑树的性质。恢复红黑树的性质需要少量

{\displaystyle {\text{O}}(\log n)}
的颜色变更(实际是非常快速的)和不超过三次树旋转(对于插入操作是两次)。虽然插入和删除很复杂,但操作时间仍可以保持为
{\displaystyle {\text{O}}(\log n)}
次。

插入

约定:新插入的节点初始都是 红色的

无须修复:

  • 新节点C位于树的 上,没有父节点 操作:初始化根节点即可,并将颜色变为黑色
  • 新节点的父节点B是黑色 操作:直接插入即可,易得红黑树所有性质满足,因为新插入的节点为红色的,且与原树不冲突

需要修复:

注:以下均采用父节点为祖父节点的左节点条件,若为右节点,则只需做镜像操作即可

循环条件:需要修复的节点的父节点的颜色为RED

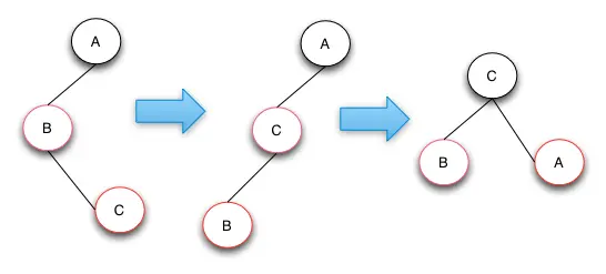
case 1

情况:父节点B和叔父节点C二者都是红色

操作:将父节点和叔叔节点与祖父节点的颜色互换,即维持了 局部的颜色符合RBTree定义的第四条和第五条。下图中,操作完成后A节点变成了新的修复节点。 如果A节点的父节点不是黑色的,则继续做修复操作。

插入修复case 1

case 2

情况:父节点B是红色而叔父节点U是黑色(NIL节点是黑色的),新节点C是其父节点B的左子节点,而父节点B又是其父节点A的左子节点(一条直线上)

操作:将祖父节点A节点进行右旋操作,并且和父节点B互换颜色。通过该修复操作RBTRee的高度和颜色都符合红黑树的定义。

插入修复case 2

case 3

父节点B是红色而叔父节点U是黑色(NIL节点是黑色的),新节点C是其父节点B的右子节点(不在一条直线上)

操作:将父节点B节点进行左旋,这样就从case 3转换成case 2了,B节点成为新的待调整的节点,然后针对case 2进行操作处理就行了。case 2操作做了一个右旋操作和颜色互换来达到目的。

插入修复case 3

循环之后:将root变黑(防止case 1中最后要调整的节点为root,而root的父节点为空,即父节点的颜色为黑,满足跳出循环条件)

删除

删除过程:

  • 如果是叶子节点或者只有一个子节点就直接删除; 删除的图示:
    img
  • 如果有左右节点都有,会用右节点的最小节点(记为T)顶替要删除节点(记为N)的位置,即将N的value替换为T的value,之后删除T;
  • 删除后,如果删除的节点的颜色为黑色就需要做删除修复操作,删除修复的主要思想就是从兄弟节点上 借调黑色的节点 过来或者把两边各变红一个让两边平衡(case2),如果兄弟节点没有黑节点可以借调的话,就只能往上追溯,将每一级的黑节点数减去一个,使得整棵树符合红黑树的定义。
  • 删除修复操作在遇到被调整的节点是红色节点或者到达root节点时,修复操作完毕, 修复之后要将被调整的节点颜色变为黑色(主要防止以下case 2中父节点为红色的)

删除修复操作分为四种情况(删除黑节点后):

注:待调整的节点的初始节点为删除节点的子节点(优先非空子节点),以下删除修复情况只讨论待调整的节点为左节点的情况,若为右节点,则只需做相应的镜像操作即可。

  1. 待调整的节点的兄弟节点是红色的节点;
  2. 待调整的节点的兄弟节点是黑色的节点,且兄弟节点的子节点都是黑色的;
  3. 待调整的节点的兄弟节点是黑色的节点,且兄弟节点的左子节点是红色的,右节点是黑色的;
  4. 待调整的节点的兄弟节点是黑色的节点,且右子节点是是红色的;

循环条件:被调整的节点是黑色节点或者到达root节点

case 1

情况:待调整的B的兄弟节点C是红色节点

操作:交换此兄弟节点和父节点的颜色,再对待调整的节点的父节点A进行左旋

解释:由于兄弟节点是红色节点,无法借调黑节点,所以需要将兄弟节点提升到父节点,由于兄弟节点是红色的,所以兄弟节点的子节点是黑色的,这样就可以从它的子节点借调黑节点了

删除情况1

case 2

情况:待调整的节点B,兄弟节点C,及C的两个儿子节点的颜色都是黑色的

操作:将兄弟节点颜色变为红色,同时将待调整的节点的父节点变为新的待调整的节点继续向上调整

解释:当将兄弟节点也变红之后,达到了局部的平衡了(由于原来计算定义的第五条的时候就是多了一个黑色节点的数量),但是对于祖父节点不一定满足条件,所以继续上溯

删除情况2

case 3

情况:待调整的节点B(B是空节点)的兄弟节点C是黑色,C的左儿子是红色,C的右儿子是黑色

操作:交换兄弟节点的左儿子和兄弟节点的颜色,再对兄弟节点进行右旋

解释:case 3的删除操作是一个中间步骤,目的是转换为case 4状态

删除情况3

case 4

情况:待调整的B和它的兄弟节点C是黑色的,C的右儿子是红色的

解决:交换兄弟节点C和父节点A的颜色(防止父节点A为红色),再对父节点进行左旋,最后将原来兄弟节点的右儿子变黑即可

解释:修复完成,整棵树还是符合红黑树的定义的,因为黑色节点的个数没有改变。

删除情况4

循环之后:将node(待调整节点)变黑(针对case2或者待调整节点初始化为红色直接跳出循环)

RBTree的C语言实现

https://github.com/tofar/RBTree/blob/master/RBTree.c

总结

红黑树通过引入颜色的概念,通过颜色这个约束条件的使用来保持树的高度平衡。作为平衡二叉查找树,旋转是一个必不可少的操作。通过旋转可以降低树的高度,在红黑树里面还可以转换颜色。

红黑树里面的插入和删除的操作比较难理解,这时要注意记住一点:操作之前红黑树是平衡的,颜色是符合定义的。在操作的时候就需要向兄弟节点、父节点、侄子节点借调和互换颜色,要达到这个目的,就需要不断的进行旋转。所以红黑树的插入删除操作需要不停的旋转,一旦借调了别的节点,删除和插入的节点就会达到局部的平衡(局部符合红黑树的定义),但是被借调的节点就不会平衡了,这时就需要以被借调的节点为起点继续进行调整,直到整棵树都是平衡的。在整个修复的过程中,插入修复具体的分为3种情况,删除修复分为4种情况。

整个红黑树的查找,插入和删除都是O(logN)的,原因就是整个红黑树的高度是logN,查找从根到叶,走过的路径是树的高度,删除和插入操作是从叶到根的,所以经过的路径都是logN。

文章来源:

红黑树深入剖析及Java实现

红黑树-wikipedia

演示参照:

红黑树插入删除过程

或者 红黑树从头至尾插入和删除结点的全程演示图