最近学习了时间序列的预测:
我先总结一些时间序列预测的构建步骤:
1)假定序列X={x1,x2,x3,........xn},判断序列是否平稳,主要有一下判断的方法,
1,方差判断:
判断该序列的方差是否平稳,方差应该不随时间t变化而变化
2.协方差的判断:
协方差应该只与时间间隔^t有关
3.均值的判断:
均值与时间t无关
2)如果序列是不平稳的,我们应该利用些函数f(x)使其转化为平稳的序列
1.使用对数log 的方法,使序列变得平稳
logX[]
2.使用求差分的方法,使序列变得平稳,
diff后可以除去时间t 变化趋势对模型的影响、。
3.采用平滑或者消季节性因素的方法,除去一些噪声e(t)的影响
3)序列平稳后,我们需要选定模型,常见的模型有AR,MA,ARMA
中心化RAMA(p,q)模型简写为:
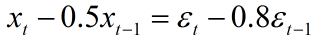
当q=0时,RAMA(p,q)模型就退化成了AR(p)模型; 当p=0时,RAMA(p,q)模型就退化成了MA(q)模型; RAMA(p,q)模型具有自相关系数不截尾,偏自相关系数也不截尾的性质。 以下面ARMA(1,1)模型为例:

综合AR(p)模型,MA(q)模型和ARMA(p,q)模型自相关系数和偏自相关系数的性质得出如下规律:
参考:https://blog.csdn.net/Earl211/article/details/50957029