异常点检测算法isolation forest的分布式实现

796 阅读8分钟
原文链接: www.jianshu.com

无监督领域有一个准度和效率双佳的异常点检测算法,我在实践中使用过几次,效果奇好,就是最近几年非常流行的isolation forest(孤立森林)。该算法在sklearn中有现成的包,但是如果大数据的集群上跑的话,目前没有封装好的接口,给分布式任务的部署带来了很多不便(话说spark mllib中集成的算法真心太少了),本文用scala从头进行该算法在spark上的分布式实现,并演示任务在集群上的执行全过程。

一、算法简介

先说一下算法的最少必要知识,细节部分会揉在代码里进行讲解。

1、训练过程:构建森林的树木

iForest由iTree组成。构建每一颗iTree时,从训练数据中抽取N个样本,然后在这些样本中,随机选择一个特征,再随机选择该特征下的一个值,对样本进行二叉划分,然后分别在左右两边的数据集上重复上面的过程,直接达到终止条件,一颗树构建完成。

2、预测过程:计算样本的异常得分

把测试数据在每棵树上沿对应的条件分支往下走,直到达到叶子节点,并记录这过程中经过的路径长度path length(用h(x)表示)。并由此得出异常分数,当分数超过某一阈值,即可判定为异常样本。

二、scala实现

代码主体非原创,参考自国外的一位大神:github.com/hsperr/firs…,有部分修改

1、首先,import编写spark程序所需的包,以及scala的Random模块,用于随机选取功能。
import org.apache.spark.SparkContext._
import org.apache.spark.rdd.RDD
import org.apache.spark.{SparkConf, SparkContext}

import scala.util.Random
2、定义单颗树iTree,第二、三行意味着,每棵树的左右分支ITreeBranch和叶子节点ITreeLeaf都属于iTree的子类。
sealed trait ITree
case class ITreeBranch(left: ITree, right: ITree, split_column: Int, split_value: Double) extends ITree
case class ITreeLeaf(size: Long) extends ITree
3、定义孤立森林的类,完成算法的训练部分,即全部树的构建。

3.1、从样本中抽样,用于构建单个iTree

object IsolationForest {
    def getRandomSubsample(data: RDD[Array[Double]], sampleRatio: Double, seed: Long = Random.nextLong): RDD[Array[Double]] = {
        data.sample(false, sampleRatio, seed=seed)
    }

3.2 、递归构建生成单颗iTree。
参数:
data:上步抽出的样本数据;
maxHeight:树的最大高度即树终止生长的条件;
numColumns:data的特征数量;
currentHeight:树的当前高度。
返回:
一颗完整的ITree

    def growTree(data: RDD[Array[Double]], maxHeight:Int, numColumns:Int, currentHeight:Int = 0): ITree = {
        val numSamples = data.count()
        //递归终止条件,当前树高大于maxHeight或数据量不大于1
        if(currentHeight>=maxHeight || numSamples <= 1){
            return new ITreeLeaf(numSamples)
        }
        //随机选择特征列
        val split_column = Random.nextInt(numColumns)
        val column = data.map(s => s(split_column))
        //随机选择该特征列中的值split_value,用于分割样本
        val col_min = column.min()
        val col_max = column.max()
        val split_value = col_min + Random.nextDouble()*(col_max-col_min)
        //小于分割值的成为左子树,反之右子树
        val X_left = data.filter(s => s(split_column) < split_value).cache()
        val X_right = data.filter(s => s(split_column) >= split_value).cache()

        //递归
        new ITreeBranch(growTree(X_left, maxHeight, numColumns, currentHeight + 1),
            growTree(X_right, maxHeight, numColumns, currentHeight + 1),
            split_column,
            split_value)
    }
}

3.3、将多棵iTree组建成完整森林iforest
参数:
data:全部训练数据;
numTrees:森林中树的个数;
subSampleSize:每棵树采样的大小;
seed:随机种子。
返回:
孤立森林

def buildForest(data: RDD[Array[Double]], numTrees: Int = 2, subSampleSize: Int = 256, seed: Long = Random.nextLong) : IsolationForest = {
        val numSamples = data.count()
        val numColumns = data.take(1)(0).size
        val maxHeight = math.ceil(math.log(subSampleSize)).toInt
        val trees = Array.fill[ITree](numTrees)(ITreeLeaf(1))

        val trainedTrees = trees.map(s=>growTree(getRandomSubsample(data, subSampleSize/numSamples.toDouble, seed), maxHeight, numColumns))

        IsolationForest(numSamples, trainedTrees)
    }
4、定义预测功能类

4.1 预测功能类定义为IsolationForest的样例类,
参数
num_samples:单课iTree的样本数目
trees:已经构建好的孤立森林iforest

主函数predict,
参数x:要预测的单条样本数组,
返回:异常得分Anomaly Score
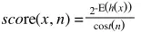
步骤:
在每一棵iTree上,计算样本达到叶子节点走过的路径长度,然后将得到的不同路径长度按照如下公式进行计算,得到异常得分,走过的路径越短,得分越高,代表越异常。


image.png

公式中,h(x)代表路径长度,E(h(x))代表在不同的iTree上路径长度的均值,即群体决策,分母是用来归一化的。

case class IsolationForest(num_samples: Long, trees: Array[ITree]) {
    def predict(x:Array[Double]): Double = {
        val predictions = trees.map(s => pathLength(x, s, 0)).toList
        println(predictions.mkString(","))
        math.pow(2, -(predictions.sum/predictions.size)/cost(num_samples)) //Anomaly Score
    }

上面代码用到的cost 方法和pathLength方法定义如下, cost方法参数为二叉树中的样本个数,范围该二叉树的平均路径长度,公式为:


image.png
    def cost(num_items:Long): Int =
        //二叉搜索树的平均路径长度。0.5772156649:欧拉常数
        (2*(math.log(num_items-1) + 0.5772156649)-(2*(num_items-1)/num_items)).toInt

pathLength方法是一个递归计算,因为每走一步,接下来面对的仍然是一颗树,分支树或者叶子节点。
参数:样本x,单颗树tree,当前的路径长度path_length,初始值应传入0。
返回:最终的路径长度

    @scala.annotation.tailrec
    final def pathLength(x:Array[Double], tree:ITree, path_length:Int): Double ={
        tree match{ //match方法,让tree进行如下两种模式匹配
            //如果ITree匹配到的类型是叶子节点,那么,查看该节点的样本数size,如果size大于1,则加上该size对应的二叉搜索树的平均路径长度,如果size等于1,则直接加1
            case ITreeLeaf(size) => 
                if (size > 1)
                    path_length + cost(size)
                else 
                    path_length + 1

            //如果ITree匹配到的类型是一颗分支子树,该子树还会有left分支,right分支,以及分类的依据特征列split_column,和该特征列的分割值split_value
            case ITreeBranch(left, right, split_column, split_value) => 
                val sample_value = x(split_column)  //传入的样本x在该特征上的取值

                if (sample_value < split_value)  //如果小于分割值则在左子树上进行递归计算,如果大于分割值则在右子树上进行递归计算
                    pathLength(x, left, path_length + 1)
                else
                    pathLength(x, right, path_length + 1)
        }
    }
}

5、读取数据进行预测

本节定义最终要调用运行的main方法,我把样例数据放在了本地,也可以放到hdfs上,csv格式,已经做好了标准化,概览如下


训练数据概览.png

5.1、一些对spark的基本设置

object Runner{
    def main(args:Array[String]): Unit ={
        Random.setSeed(1337)

        val conf = new SparkConf()
            .setAppName("IsolationTree")
            .setMaster("local")

        val sc = new SparkContext(conf)
        //禁止对输出文件进行压缩
        sc.hadoopConfiguration.set("mapred.output.compress", "false")  

5.2、读入csv数据并预处理,lines为RDD格式,这是spark处理数据的基本单元

        val lines = sc.textFile("file:///tmp/spark_data/spark_if_train.csv") //本地路径
        val data =  //对每一行数据以逗号为分隔符进行拆分,从第二个数据开始取,因为第一个数字是索引
            lines
                .map(line => line.split(","))
                .map(s => s.slice(1,s.length))
        val header = data.first() // 取第一行的数据作为列名

        // 去掉列名行并将数据转化为double类型
        val rows = data.filter(line => line(0) != header(0)).map(s => s.map(_.toDouble)) 

        println("Loaded CSV File...")
        println(header.mkString("\n"))  // 看一下列名
        println(rows.take(5).deep.mkString("\n"))  // 看一下前5行数据

5.3、进行iforest的构建和对样本的预测

        // 构建森林,训练数据rows,森林里树的棵树,这里写10,数据量大的话一般是100
        val forest = IsolationForest.buildForest(rows, numTrees=10)

        // 对每一行数据进行预测
        val result_rdd = rows.map(row => row ++ Array(forest.predict(row)))

        // 将结果存入本地文件
        result_rdd.map(lines => lines.mkString(",")).repartition(1).saveAsTextFile("file:///tmp/predict_label")

        // 看一下前10条数据的预测结果
        val local_rows = rows.take(10)
        for(row <- local_rows){
            println("ForestScore", forest.predict(row))
        }
        println("Finished Isolation")
    }
}

以上,isolation forest训练部分和预测部分都做好了。

三、部署到spark上并运行

(图片给自己的机器打了码,略丑😢)

1、基础环境配置

前提1:配置好spark集群,能成功进入下图所示的交互状态。此部分教程自行google~

$ spark-shell
进入spark交互命令行查看是否正常运行.png

前提2:配置好sbt ,用于管理项目依赖,构建项目
参考教程:blog.csdn.net/zcf10027972…

sbt sbtVersion
查看sbt版本信息确保sbt正确安装.png
2、部署脚本

2.1、将上节代码文件命名为Runner.scala 2.2、创建目录结构

cd ~
mkdir -p mysparkapp/iforest_model/src/main/scala

2.3、将Runner.scala移动到~/mysparkapp/iforest_model/src/main/scala文件夹下

mv Runner.scala ~/mysparkapp/iforest_model/src/main/scala/

2.4、新建配置文件conf.sbt,声明我们项目的名称以及对相关版本的依赖信息

cd ~/mysparkapp/iforest_model
vim conf.sbt

在conf.sbt中,添加如下内容,版本信息根据你配置的真实信息来写哦:

name := "IsolationForest"
version := "1.0"
scalaVersion := "2.11.8"
libraryDependencies += "org.apache.spark" %% "spark-core" % "2.2.1"

现在看一下我们的项目结构是否如图所示

find .
查看项目目录结构.png

2.5、将程序打包,仍然在~/mysparkapp/iforest_model下,执行:

sbt package
sbt打包.png

注意黄色箭头指向的文件地址,这是打包好的jar包,供我们稍后提交任务使用。

2.6、正式提交spark任务 在提交spark任务之前,要确保输出目录不存在:

rm -r /tmp/predict_label

然后用spark-submit命令提交任务,需要传入刚刚打包好的jar包路径:

spark-submit --class "Runner" ~/mysparkapp/iforest_model/target/scala-2.11/isolationforest_2.11-1.0.jar

开始运行~~🤗️ 我们打印出了数据的列名、前5条数据、以及前10条数据的异常得分如图所示:


程序执行.png

任务执行完毕,看一下输出文件,图示捞出了前五行,最后一个字段即为预测得分,接下来就可以设定一个阈值,原作论文推荐为0.6,大于阈值的即判定为异常啦。


输出文件.png

图中的第二行数据,得分0.69,其他数据得分均为0.5以下,观察一下它前面的字段,比其他数据都要大出很多,确实为一个异常点~

四、小结

isolation forest由多棵树构成,而树的生长过程并不受其他树影响,所以是一个非常完美的适合分布式并行的算法。样例数据和代码都放到了github.com/scarlettgin…