极大似然估计

428 阅读6分钟

转载 原地址https://blog.csdn.net/zengxiantao1994/article/details/72787849#t3


以前多次接触过极大似然估计,但一直都不太明白到底什么原理,最近在看贝叶斯分类,对极大似然估计有了新的认识,总结如下:


贝叶斯决策

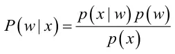
首先来看贝叶斯分类,我们都知道经典的贝叶斯公式:


其中:p(w):为先验概率,表示每种类别分布的概率;:类条件概率,表示在某种类别前提下,某事发生的概率;而为后验概率,表示某事发生了,并且它属于某一类别的概率,有了这个后验概率,我们就可以对样本进行分类。后验概率越大,说明某事物属于这个类别的可能性越大,我们越有理由把它归到这个类别下。

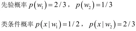
我们来看一个直观的例子:已知:在夏季,某公园男性穿凉鞋的概率为1/2,女性穿凉鞋的概率为2/3,并且该公园中男女比例通常为2:1,问题:若你在公园中随机遇到一个穿凉鞋的人,请问他的性别为男性或女性的概率分别为多少?

从问题看,就是上面讲的,某事发生了,它属于某一类别的概率是多少?即后验概率。

设:

由已知可得:

男性和女性穿凉鞋相互独立,所以

(若只考虑分类问题,只需要比较后验概率的大小,的取值并不重要)。

由贝叶斯公式算出:


问题引出

但是在实际问题中并不都是这样幸运的,我们能获得的数据可能只有有限数目的样本数据,而先验概率和类条件概率(各类的总体分布)都是未知的。根据仅有的样本数据进行分类时,一种可行的办法是我们需要先对先验概率和类条件概率进行估计,然后再套用贝叶斯分类器。

先验概率的估计较简单,1、每个样本所属的自然状态都是已知的(有监督学习);2、依靠经验;3、用训练样本中各类出现的频率估计。

类条件概率的估计(非常难),原因包括:概率密度函数包含了一个随机变量的全部信息;样本数据可能不多;特征向量x的维度可能很大等等。总之要直接估计类条件概率的密度函数很难。解决的办法就是,把估计完全未知的概率密度转化为估计参数。这里就将概率密度估计问题转化为参数估计问题,极大似然估计就是一种参数估计方法。当然了,概率密度函数的选取很重要,模型正确,在样本区域无穷时,我们会得到较准确的估计值,如果模型都错了,那估计半天的参数,肯定也没啥意义了。


重要前提

上面说到,参数估计问题只是实际问题求解过程中的一种简化方法(由于直接估计类条件概率密度函数很困难)。所以能够使用极大似然估计方法的样本必须需要满足一些前提假设。

重要前提:训练样本的分布能代表样本的真实分布。每个样本集中的样本都是所谓独立同分布的随机变量 (iid条件),且有充分的训练样本。


极大似然估计

极大似然估计的原理,用一张图片来说明,如下图所示:


总结起来,最大似然估计的目的就是:利用已知的样本结果,反推最有可能(最大概率)导致这样结果的参数值。

原理:极大似然估计是建立在极大似然原理的基础上的一个统计方法,是概率论在统计学中的应用。极大似然估计提供了一种给定观察数据来评估模型参数的方法,即:“模型已定,参数未知”。通过若干次试验,观察其结果,利用试验结果得到某个参数值能够使样本出现的概率为最大,则称为极大似然估计。

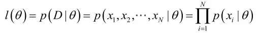
由于样本集中的样本都是独立同分布,可以只考虑一类样本集D,来估计参数向量θ。记已知的样本集为:


似然函数(linkehood function):联合概率密度函数称为相对于的θ的似然函数。


如果是参数空间中能使似然函数最大的θ值,则应该是“最可能”的参数值,那么就是θ的极大似然估计量。它是样本集的函数,记作:



求解极大似然函数

ML估计:求使得出现该组样本的概率最大的θ值。


实际中为了便于分析,定义了对数似然函数:



1. 未知参数只有一个(θ为标量)

在似然函数满足连续、可微的正则条件下,极大似然估计量是下面微分方程的解:


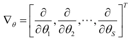
2.未知参数有多个(θ为向量)

则θ可表示为具有S个分量的未知向量:


记梯度算子:


若似然函数满足连续可导的条件,则最大似然估计量就是如下方程的解。


方程的解只是一个估计值,只有在样本数趋于无限多的时候,它才会接近于真实值。


极大似然估计的例子

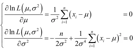
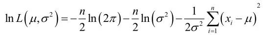
例1:设样本服从正态分布,则似然函数为:


它的对数:


求导,得方程组:


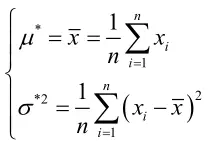
联合解得:


似然方程有唯一解:,而且它一定是最大值点,这是因为当时,非负函数。于是U和的极大似然估计为


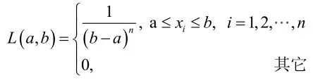
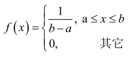
例2:设样本服从均匀分布[a, b]。则X的概率密度函数:


对样本


很显然,L(a,b)作为a和b的二元函数是不连续的,这时不能用导数来求解。而必须从极大似然估计的定义出发,求L(a,b)的最大值,为使L(a,b)达到最大,b-a应该尽可能地小,但b又不能小于,否则,L(a,b)=0。类似地a不能大过,因此,a和b的极大似然估计:



总结

求最大似然估计量的一般步骤:

(1)写出似然函数;

(2)对似然函数取对数,并整理;

(3)求导数;

(4)解似然方程。

最大似然估计的特点:

1.比其他估计方法更加简单;

2.收敛性:无偏或者渐近无偏,当样本数目增加时,收敛性质会更好;

3.如果假设的类条件概率模型正确,则通常能获得较好的结果。但如果假设模型出现偏差,将导致非常差的估计结果。


正态分布ML估计的Matlab实例:点击打开链接