土法神经网络 Part IV:梯度下降与反向传播

775 阅读11分钟

原文: Deep Learning From Scratch IV: Gradient Descent and Backpropagation

翻译:孙一萌



梯度下降

一般来说,要找到函数的最小值,我们可以把设其导数为 0,然后求解参数。然而实际上要找到 Wb 的闭式解是不可能的,于是我们就要通过梯度下降的方法,迭代地寻找最小值。

想象一下你站在一座高山上,如果你想用最短的时间下山到达地面,那你就要选择山最陡峭的方向。

梯度下降是一样的道理,它先在参数的取值范围内随便取一个数,然后迭代地去寻找使损失 J 最小的情况。迭代的每一步,都会找一个 J 的值下降最陡峭的方向,然后沿这个方向继续迭代一步。

这个过程的一维情况如下图:

梯度下降的一维情况

在某个特定点上,下降最陡峭的方向,是由函数在该点的梯度决定的:梯度的相反数(因为是下降)就是损失下降最快的方向。

这样的话,如何最小化 J 我们就有些思路了:

  1. 先给 Wb 一个随机值
  2. 计算 J 的关于 Wb 的梯度
  3. 以梯度相反数为方向,再向前迭代一步
  4. 回到第 2 步

我们来写一个 operation,通过梯度下降计算一个节点的最小值。通过参数 learning_rate 可以设置每一步的步长。

import numpy as np

class Operation:
    """Represents a graph node that performs a computation.

    An `Operation` is a node in a `Graph` that takes zero or
    more objects as input, and produces zero or more objects
    as output.
    """

    def __init__(self, input_nodes=[]):
        """Construct Operation
        """
        self.input_nodes = input_nodes

        # Initialize list of consumers (i.e. nodes that receive this operation's output as input)
        self.consumers = []

        # Append this operation to the list of consumers of all input nodes
        for input_node in input_nodes:
            input_node.consumers.append(self)

        # Append this operation to the list of operations in the currently active default graph
        _default_graph.operations.append(self)

    def compute(self):
        """Computes the output of this operation.
        "" Must be implemented by the particular operation.
        """
        pass

class Graph:
    """Represents a computational graph
    """

    def __init__(self):
        """Construct Graph"""
        self.operations = []
        self.placeholders = []
        self.variables = []

    def as_default(self):
        global _default_graph
        _default_graph = self

class placeholder:
    """Represents a placeholder node that has to be provided with a value
       when computing the output of a computational graph
    """

    def __init__(self):
        """Construct placeholder
        """
        self.consumers = []

        # Append this placeholder to the list of placeholders in the currently active default graph
        _default_graph.placeholders.append(self)

class Variable:
    """Represents a variable (i.e. an intrinsic, changeable parameter of a computational graph).
    """

    def __init__(self, initial_value=None):
        """Construct Variable

        Args:
          initial_value: The initial value of this variable
        """
        self.value = initial_value
        self.consumers = []

        # Append this variable to the list of variables in the currently active default graph
        _default_graph.variables.append(self)

class add(Operation):
    """Returns x + y element-wise.
    """

    def __init__(self, x, y):
        """Construct add

        Args:
          x: First summand node
          y: Second summand node
        """
        super().__init__([x, y])

    def compute(self, x_value, y_value):
        """Compute the output of the add operation

        Args:
          x_value: First summand value
          y_value: Second summand value
        """
        return x_value + y_value

class matmul(Operation):
    """Multiplies matrix a by matrix b, producing a * b.
    """

    def __init__(self, a, b):
        """Construct matmul

        Args:
          a: First matrix
          b: Second matrix
        """
        super().__init__([a, b])

    def compute(self, a_value, b_value):
        """Compute the output of the matmul operation

        Args:
          a_value: First matrix value
          b_value: Second matrix value
        """
        return a_value.dot(b_value)
class Session:
    """Represents a particular execution of a computational graph.
    """

    def run(self, operation, feed_dict={}):
        """Computes the output of an operation

        Args:
          operation: The operation whose output we'd like to compute.
          feed_dict: A dictionary that maps placeholders to values for this session
        """

        # Perform a post-order traversal of the graph to bring the nodes into the right order
        nodes_postorder = traverse_postorder(operation)

        # Iterate all nodes to determine their value
        for node in nodes_postorder:

            if type(node) == placeholder:
                # Set the node value to the placeholder value from feed_dict
                node.output = feed_dict[node]
            elif type(node) == Variable:
                # Set the node value to the variable's value attribute
                node.output = node.value
            else:  # Operation
                # Get the input values for this operation from node_values
                node.inputs = [input_node.output for input_node in node.input_nodes]

                # Compute the output of this operation
                node.output = node.compute(*node.inputs)

            # Convert lists to numpy arrays
            if type(node.output) == list:
                node.output = np.array(node.output)

        # Return the requested node value
        return operation.output


def traverse_postorder(operation):
    """Performs a post-order traversal, returning a list of nodes
    in the order in which they have to be computed

    Args:
       operation: The operation to start traversal at
    """

    nodes_postorder = []

    def recurse(node):
        if isinstance(node, Operation):
            for input_node in node.input_nodes:
                recurse(input_node)
        nodes_postorder.append(node)

    recurse(operation)
    return nodes_postorder


red_points = np.random.randn(50, 2) - 2*np.ones((50, 2))
blue_points = np.random.randn(50, 2) + 2*np.ones((50, 2))

class negative(Operation):
    """ 逐元素计算负数
    """

    def __init__(self, x):
        """ 构造负运算

        参数列表:
          x: 输入节点
        """
        super().__init__([x])

    def compute(self, x_value):
        """ 计算负运算 operation 的输出

        参数列表:
          x_value: 输入值
        """
        return -x_value

class log(Operation):
    """ 对每一个元素进行对数运算
    """

    def __init__(self, x):
        """ 构造 log

        参数列表:
          x: 输入节点
        """
        super().__init__([x])

    def compute(self, x_value):
        """ 计算对数 operation 的输出

        参数列表:
          x_value: 输入值
        """
        return np.log(x_value)

class multiply(Operation):
    """ 对每一个元素,返回 x * y 的值
    """

    def __init__(self, x, y):
        """ 构造乘法

        参数列表:
          x: 第一个乘数的输入节点
          y: 第二个乘数的输入节点
        """
        super().__init__([x, y])

    def compute(self, x_value, y_value):
        """ 计算乘法 operation 的输出

        Args:
          x_value: 第一个乘数的值
          y_value: 第二个乘数的值
        """
        return x_value * y_value

class negative(Operation):
    """ 逐元素计算负数
    """

    def __init__(self, x):
        """ 构造负运算

        参数列表:
          x: 输入节点
        """
        super().__init__([x])

    def compute(self, x_value):
        """ 计算负运算 operation 的输出

        参数列表:
          x_value: 输入值
        """
        return -x_value

class reduce_sum(Operation):
    """ 计算张量中元素延某一或某些维度的总和
    """

    def __init__(self, A, axis=None):
        """ 构造 reduce_sum

        参数列表:
          A: 要进行 reduce 运算的张量
          axis: 需要 reduce 的维度,如果 `None`(即缺省值),则延所有维度 reduce
        """
        super().__init__([A])
        self.axis = axis

    def compute(self, A_value):
        """ 计算 reduce_sum operation 的输出值

        参数列表:
          A_value: 输入的张量值
        """
        return np.sum(A_value, self.axis)

class softmax(Operation):
    """返回 a 的 softmax 函数结果.
    """

    def __init__(self, a):
        """构造 softmax

        参数列表:
          a: 输入节点
        """
        super().__init__([a])

    def compute(self, a_value):
        """计算 softmax operation 的输出值

        参数列表:
          a_value: 输入值
        """
        return np.exp(a_value) / np.sum(np.exp(a_value), axis=1)[:, None]

from queue import Queue

class GradientDescentOptimizer:
    def __init__(self, learning_rate):
        self.learning_rate = learning_rate

    def minimize(self, loss):
        learning_rate = self.learning_rate

        class MinimizationOperation(Operation):
            def compute(self):
                # 计算梯度
                grad_table = compute_gradients(loss)

                # 遍历所有节点
                for node in grad_table:
                    if type(node) == Variable:
                        # 找到节点对应的梯度
                        grad = grad_table[node]

                        # 沿着负梯度的方向进行一步迭代
                        node.value -= learning_rate * grad

        return MinimizationOperation()

下图描绘了一次梯度下降的迭代过程。我们先随机找一条分割线(标序号 1),前进一步,找到一条稍微好一点的(标 2)。依此一步一步地前进,直到找到一条好的分割线。

迭代寻找“好”分割线


## 反向传播

在上面梯度下降的实现中,我们用了 compute_gradient(loss) 函数,来计算计算图中,loss operation 关于其他节点 n 的输出梯度(即让损失增加最快的方向,梯度的相反数是下降最快的方向)。

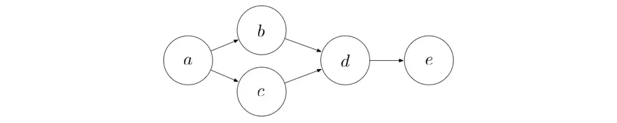
考虑以下计算图:

计算图

根据导数的链式法则,我们可以得到:

`[math] \frac{\partial e}{\partial a} = \frac{\partial e}{\partial b} \cdot \frac{\partial b}{\partial a} = \frac{\partial e}{\partial c} \cdot \frac{\partial c}{\partial b} \cdot \frac{\partial b}{\partial a} = \frac{\partial e}{\partial d} \cdot \frac{\partial d}{\partial c} \cdot \frac{\partial c}{\partial b} \cdot \frac{\partial b}{\partial a} [/math] `

由此可见,要想算出 e 关于 a 的梯度,我们要从 e 开始,一路倒推回 a,对于一路上的每个节点,计算它的输出关于输入的梯度,一个接一个,一直算到 a。然后把所有梯度相乘。

再考虑这个情景:

包含多路径的计算图

这种情况下,从 ae 有两条路径:a, b, d, ea, c, d, e。因此,e 关于 a全微分求法如下:

`[math] \frac{\partial e}{\partial a} = \frac{\partial e}{\partial d} \cdot \frac{\partial d}{\partial a} = \frac{\partial e}{\partial d} \cdot (\frac{\partial d}{\partial b} \cdot \frac{\partial b}{\partial a} + \frac{\partial d}{\partial c} \cdot \frac{\partial c}{\partial a}) = \frac{\partial e}{\partial d} \cdot \frac{\partial d}{\partial b} \cdot \frac{\partial b}{\partial a} + \frac{\partial e}{\partial d} \cdot \frac{\partial d}{\partial c} \cdot \frac{\partial c}{\partial a} [/math] `

由此我们就可以推导出一个通用的算法,用来算出损失关于一个节点的梯度:从代表损失的节点开始,反向做广度优先搜索。每访问一个节点 n,就算出损失关于 n 的输出的梯度,这里梯度要通过对节点 n 的每一个消费节点 c (消费节点即节点 c 以节点 n 的输出作为输入)做如下操作:

  • 取得损失关于 c 输出的梯度 G
  • G 乘上 c 的输出关于 n 的输出的梯度

之后我们把这些梯度相加。

实现反向传播有一个先决条件,我们需要为每个 operation 指定一个函数,通过关于 operation 的输出的梯度,计算关于 operation 的每个输入的梯度。

为此我们先来定义一个装饰器 @RegisterGradient(operation_name)

# operation 到对应梯度计算函数的映射
_gradient_registry = {}


class RegisterGradient:
    """装饰器,用来给 op type 注册梯度计算函数
    """

    def __init__(self, op_type):
        """创建一个装饰器实例,以 op_type 作为 Operation type
        参数列表:
          op_type: operation 的名字
        """
        self._op_type = eval(op_type)

    def __call__(self, f):
        """把函数 `f` 注册为 `op_type`的梯度计算函数"""
        _gradient_registry[self._op_type] = f
        return f

现在假设 _gradient_registry 字典内容已经完整了,于是我们来实现反向传播:

from queue import Queue


def compute_gradients(loss):
    # 可以通过 grad_table[node] 取出损失关于节点输出的梯度
    grad_table = {}

    # 损失关于损失的梯度是 1
    grad_table[loss] = 1

    # 从损失节点开始,反向进行广度优先搜索
    visited = set()
    queue = Queue()
    visited.add(loss)
    queue.put(loss)

    while not queue.empty():
        node = queue.get()

        # 如果节点不是损失节点
        if node != loss:
            #
            # 计算损失关于节点输出的梯度
            #
            grad_table[node] = 0

            # 遍历所有消费节点
            for consumer in node.consumers:

                # 取出损失关于消费节点的输出的梯度
                lossgrad_wrt_consumer_output = grad_table[consumer]

                # 取出根据关于消费者节点的输出的梯度,计算关于消费者节点的输入的梯度的函数
                consumer_op_type = consumer.__class__
                bprop = _gradient_registry[consumer_op_type]

                # 得到损失关于消费节点所有的输入的梯度
                lossgrads_wrt_consumer_inputs = bprop(consumer, lossgrad_wrt_consumer_output)

                if len(consumer.input_nodes) == 1:
                    # 如果消费节点只有一个输入节点,lossgrads_wrt_consumer_inputs 就是标量
                    grad_table[node] += lossgrads_wrt_consumer_inputs

                else:
                    # 否则,lossgrads_wrt_consumer_inputs 是对各个输入节点的梯度的数组

                    # 取得该节点在消费节点的输入节点中的序列
                    node_index_in_consumer_inputs = consumer.input_nodes.index(node)

                    # 得到损失关于节点的梯度
                    lossgrad_wrt_node = lossgrads_wrt_consumer_inputs[node_index_in_consumer_inputs]

                    # 加到关于这个节点的总梯度中
                    grad_table[node] += lossgrad_wrt_node

        #
        # 把每个输入节点加入队列
        #
        if hasattr(node, "input_nodes"):
            for input_node in node.input_nodes:
                if not input_node in visited:
                    visited.add(input_node)
                    queue.put(input_node)

    # 返回所有关于已访问过节点的梯度
    return grad_table

### 每个 operation 对应的梯度计算

对于每一个 operation,我们要定义一个函数,把损失关于 operation 的输出的梯度,转化为损失关于 operation 的每个输入节点的梯度,将它们存入列表中。计算一个关于矩阵的梯度很没意思,因此我们忽略这个过程,我直接把结果给出。跳过本节的学习不会影响你对整体的理解。

如果你想知道怎么得到这个结果,大致过程是这样的:

  • 找到各个输出值关于各个输入值的偏导数(可能是一个阶数大于 2 的张量,也就是说既不是标量,也不是向量,也不是矩阵,涉及大量的求和)
  • 运用链式法则,通过关于节点的输出的梯度,计算出关于节点的输入的梯度。得到的结果将会是一个和输入张量形态相同的张量,也就是说如果输入是一个矩阵,得到的结果也会是一个矩阵。
  • 把结果写成一连串的矩阵 operation 来提高运算效率。这一步有点取巧。

负运算对应的梯度计算

已知关于 -x 的梯度 G,那么关于 x 的梯度就是 -G

@RegisterGradient("negative")
def _negative_gradient(op, grad):
    """计算 `negative` 的梯度

    参数列表:
      op: 我们要单独处理的 `negative` Operation
      grad: 关于这个 `negative` operation 的梯度

    返回值:
      关于 `negative` 的输入的梯度
    """
    return -grad

对数对应的梯度计算

已知关于 log(x) 的梯度 G,则关于 x 的梯度就是 \frac{G}{x}

@RegisterGradient("log")
def _log_gradient(op, grad):
    """计算 `log` 的梯度。

    参数列表:
      op: 要处理的 `log` Operation
      grad: 关于 `log` operationa 的输出的梯度

    返回值:
      关于 `log` 的输入的梯度
    """
    x = op.inputs[0]
    return grad/x

乘法对应的梯度计算

已知关于A \odot B 的梯度 G,则关于 A 的梯度为 G \odot B,关于 B 的梯度是 G \odot A

@RegisterGradient("multiply")
def _multiply_gradient(op, grad):
    """计算 `multiply` 的梯度。

   参数列表:
      op: 要处理的 `multiply` Operation
      grad: 关于 `multiply` operationa 的输出的梯度

    返回值:
      关于 `multiply` 的输入的梯度
    """

    A = op.inputs[0]
    B = op.inputs[1]

    return [grad * B, grad * A]

matmul 对应的梯度运算

已知关于AB 的梯度 G,则关于 A 的梯度为 GB^T,关于 B 的梯度是 A^TG

@RegisterGradient("matmul")
def _matmul_gradient(op, grad):
    """计算 `matmul` 的梯度。

    参数列表:
      op: 要处理的 `matmul` Operation
      grad: 关于 `matmul` operationa 的输出的梯度

    返回值:
      关于 `matmul` 的输入的梯度
    """

    A = op.inputs[0]
    B = op.inputs[1]

    return [grad.dot(B.T), A.T.dot(grad)]

add 对应的梯度运算

已知关于 a + b 的梯度是 G,则关于 a 的梯度为 G,关于 b 的梯度也是 G。因此 ab 的形状是相同的。

如果 ab 形状不同,比如矩阵 a 行数是 100,向量 b 的行数为 1,那么 a + b 就是将 b 加到 a 的每一行上。在这种情况下,梯度的计算会复杂一点,此处我们就不详细展开了。

@RegisterGradient("add")
def _add_gradient(op, grad):
    """计算 `add` 对应的梯度

    参数列表:
      op: 要处理的 `add` Operation
      grad: 关于 `add` operationa 的输出的梯度

    返回值:
      关于 `add` 的输入的梯度
    """
    a = op.inputs[0]
    b = op.inputs[1]

    grad_wrt_a = grad
    while np.ndim(grad_wrt_a) > len(a.shape):
        grad_wrt_a = np.sum(grad_wrt_a, axis=0)
    for axis, size in enumerate(a.shape):
        if size == 1:
            grad_wrt_a = np.sum(grad_wrt_a, axis=axis, keepdims=True)

    grad_wrt_b = grad
    while np.ndim(grad_wrt_b) > len(b.shape):
        grad_wrt_b = np.sum(grad_wrt_b, axis=0)
    for axis, size in enumerate(b.shape):
        if size == 1:
            grad_wrt_b = np.sum(grad_wrt_b, axis=axis, keepdims=True)

    return [grad_wrt_a, grad_wrt_b]

reduce_sum 对应的梯度运算

已知关于 reduce_sum 的输出的梯度 G,则关于输入 A 的梯度为沿着指定轴重复 G

@RegisterGradient("reduce_sum")
def _reduce_sum_gradient(op, grad):
    """计算 `reduce_sum` 对应的梯度

    参数列表:
      op: 要处理的 `reduce_sum` Operation
      grad: 关于 `reduce_sum` operationa 的输出的梯度

    返回值:
      关于 `reduce_sum` 的输入的梯度
    """
    A = op.inputs[0]

    output_shape = np.array(A.shape)
    output_shape[op.axis] = 1
    tile_scaling = A.shape // output_shape
    grad = np.reshape(grad, output_shape)
    return np.tile(grad, tile_scaling)

softmax 对应的梯度运算

@RegisterGradient("softmax")
def _softmax_gradient(op, grad):
    """计算 `softmax` 对应的梯度

    参数列表:
      op: 要处理的 `softmax` Operation
      grad: 关于 `softmax` operationa 的输出的梯度

    返回值:
      关于 `softmax` 的输入的梯度
    """

    softmax = op.output
    return (grad - np.reshape(
        np.sum(grad * softmax, 1),
        [-1, 1]
    )) * softmax

### 示例

现在来试试上面的代码,看看我们能得出的感知机最佳权重是多少。

# 创建一个新 Graph
Graph().as_default()

X = placeholder()
c = placeholder()

# 随机初始化权重
W = Variable(np.random.randn(2, 2))
b = Variable(np.random.randn(2))

# 搭建感知机
p = softmax(add(matmul(X, W), b))

# 搭建交叉熵损失
J = negative(reduce_sum(reduce_sum(multiply(c, log(p)), axis=1)))

# 搭建最小化 operation
minimization_op = GradientDescentOptimizer(learning_rate=0.01).minimize(J)

# 搭建占位输入
feed_dict = {
    X: np.concatenate((blue_points, red_points)),
    c:
        [[1, 0]] * len(blue_points)
        + [[0, 1]] * len(red_points)

}

# 创建会话
session = Session()

# 执行 100 步梯度下降迭代
for step in range(100):
    J_value = session.run(J, feed_dict)
    if step % 10 == 0:
        print("Step:", step, " Loss:", J_value)
    session.run(minimization_op, feed_dict)

# 打印最终结果
W_value = session.run(W)
print("Weight matrix:\n", W_value)
b_value = session.run(b)
print("Bias:\n", b_value)

注意,现在我们一开始损失相当高,之后让损失迅速下降。

最后我们来画出最终的分割线:

import matplotlib.pyplot as plt
[/amalthea_pre_exercise_code]
[amalthea_sample_code]
W_value =  np.array([[ 1.27496197 -1.77251219], [ 1.11820232 -2.01586474]])
b_value = np.array([-0.45274057 -0.39071841])

# 画出直线 y = -x
x_axis = np.linspace(-4, 4, 100)
y_axis = -W_value[0][0]/W_value[1][0] * x_axis - b_value[0]/W_value[1][0]
plt.plot(x_axis, y_axis)

# 把红 / 蓝点画上去
plt.scatter(red_points[:,0], red_points[:,1], color='red')
plt.scatter(blue_points[:,0], blue_points[:,1], color='blue')
plt.show()

如果你有什么问题,请在评论里提出来。


如果你想试试自己能否转入人工智能行业,请戳右边:集智AI课堂