进制转换
- 二进制与十进制
| 人类(10进制) | 猫咪(2进制) |
|---|---|
| 1 | 1 |
| 2 | 10 |
| 3 | 11 |
| 4 | 100 |
算法: 例子1



0.1(10进制)无法转化为(2二进制) 因为0.1在十进制是有限小数 二进制中是无限小数
转换进制有可能将有限小数转换为无限小数
- 二进制与十六进制
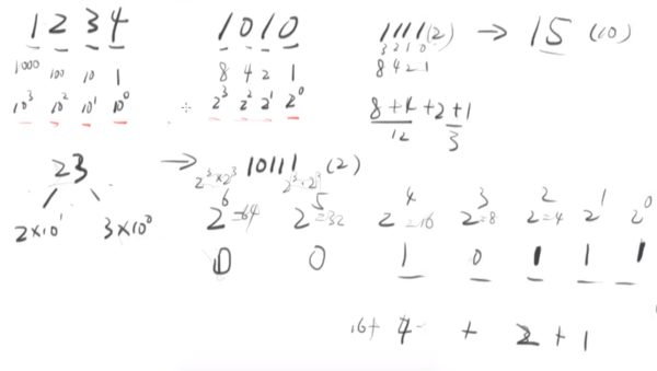
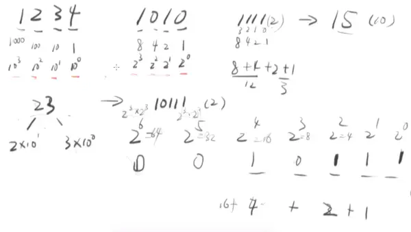
十进制 ——> 二进制 23(10)——> 10111(2) 0.25(10)——> 0.01(2)
二进制 ——>十六进制,每四个二进制代表一个十六进制数 0001 ——> 1,0010 ——> 2,0011 ——> 3,0100 ——> 4, 0101 ——> 5,0110 ——> 6,0111 ——> 7,1000 ——> 8, 1001 ——> 9,1010 ——> A,1011 ——> B,1100 ——> C, 1101 ——> D,1110 ——> E,1111——> F
二进制 ——> 十六进制 1001 0001(2)——> 91(16) 1101 1011(2)——> DB(16) 0001 1101 1011(2)——> 1DB(16)