吴恩达机器学习:线性回归

1,612 阅读5分钟
原文链接: hertzcat.com

吴恩达机器学习:线性回归

首先说一些关于课程的题外话。对于 Ng 的这个课程,我没有选择在 Coursera 上学习课程,一来是因为 Coursera 有自己的课程周期,但这个周期不一定适合所有人。其次 Coursera 的课程作业是使用 Octave 语言,而我个人觉得不管是学习还是未来使用 Python 都会是更合适的语言。所以最终我选择了 课程视频 + Python 实现作业 的形式。

点击 课程视频 你就能不间断地学习 Ng 的课程,关于课程作业的 Python 代码我放到了 Github 上,点击 课程代码 就能去 Github 查看,代码中的错误和改进欢迎大家指出。

以下是 Ng 机器学习课程第一周的笔记。

机器学习

什么是机器学习?Arthur Samuel 给出的一个非正式定义是:不通过明确地编程,使计算机拥有通过学习解决问题的能力。
机器学习的算法包括 监督学习无监督学习强化学习推荐系统等。我们第一周学习的 线性回归 属于 监督学习

监督学习的工作方式

首先要有一个训练数据集( Training Set ),其中包含数据对应问题的正确结果。通过我们的学习算法 ( Learning Algorithm ) 学习训练数据集,最终获得一个函数 ( Hypothesis ),这个函数就是我们需要的 预测函数,能够对 训练集的数据 与 其它数据输入 做出比较准确的预测。

对于 线性回归 ,我们的 Hypothesis 就是:

hθ(x)=θ0+θ1x1+θ2x2+⋯+θnxn=θTx

其中的 \theta_i 就是学习算法需要学习的参数,而 x_i 是我们对于问题所选取的特征。

代价函数

那么如何学习 预测函数 中的 \theta_i 呢?我们需要引入 代价函数 的概念,它的作用是评估真实与预测值之间的差异。一旦有了这个函数,学习算法的目标就是找到 \theta_i 使得这个函数的值尽可能的小。对于 线性回归,我们使用的 代价函数 是:

J(θ)=12mm∑i=1(hθ(x(i))−y(i))2

其中 m 是样本数,y 是训练数据集已知答案,上标 i 表示第几组训练数据,代价函数 J(\theta) 是关于 \theta 的函数。当然为了是表达更简洁、编写的程序更加清晰,我们通常会使用它的矩阵表达:

J(θ)=12m(Xθ−y)T(Xθ−y)

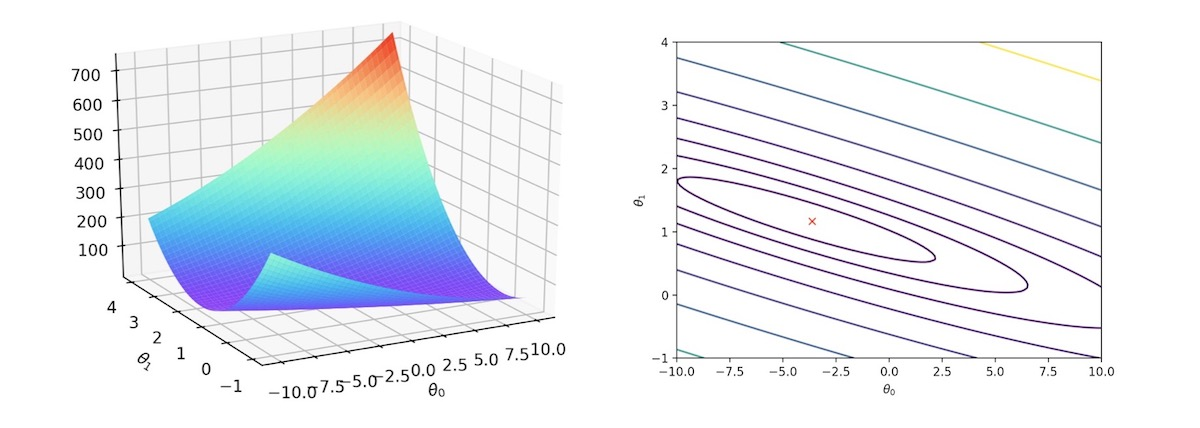
最后为了承上启下,我们来看看当特征只有一个的时候,代价函数 J(\theta) 的样子。

右图是 J(\theta) 的等高图,每一条线表示 代价函数 的值相同,红 X 表示 代价函数 的最低点。

梯度下降算法

接着刚刚看的单个特征所对应的 代价函数 图像加上之前所说的 “学习算法的目标就是找到 \theta_i 使得 代价函数 尽可能的小” 。一个很直观的想法就是,在坡上任意取一点,然后沿着下坡方向走最后到达最低点。这也正是梯度下降算法的思路,我们沿着梯度的反向更新 \theta_i 的值( 沿着最陡的方向下坡 ),直到 代价函数 收敛到最小值。梯度下降算法更新 \theta_i 的方式为:

θi:=:=θi−α∂∂θiJ(θ)

其中 \alpha 为学习率,:= 表示使用右式的值替换 \theta_i 原有的值。对于 线性回归,我们更新 \theta_i 的方式为:

θ:=:=θ−α1mXT(Xθ−y)

到这里我们就能够完成整个 线性回归 的机器学习算法了。设定 \theta_i 的初始值,使用梯度下降算法迭代更新 \theta_i 的值,直到 J(\theta) 收敛。至于为什使用梯度的反向可以看 这篇文章,作者从数学角度解释了原因。

正规方程

对于 线性回归,我们完全可以使用数学方法来得到 J(\theta) 取最小值时 \theta_i 的值。这涉及一些导数和线性代数的知识,有兴趣的同学可以详细看课程视频中的推导过程。这里直接给出求解 \theta 的公式:

θ=(XTX)−1XTy

在使用时 正规方程 有一定的限制,比如 X^TX 矩阵需要是可逆的。那么有了直接求解问题的方法,为什么我们还需要梯度下降的概念呢?因为梯度下降方法更具有广泛性,可以用于很多 问题的求解,比如非线性的 代价函数

特征标准化

在实际的运用中我们选取的特征,比如长度,重量,面积等等,通常单位和范围都不同,这会导致梯度下降算法变慢。所以我们要将特征缩放到相对统一的范围内。通常的方法有 StandardizationNormalizationStandardization 是把数据变成符合标准正态分布,即使原来是些奇奇怪怪的分布,由 中心极限定理 可知,数据量够大,一样变成正态,更新公式为:

xi:=:=xi−μδ

Normalization 对于梯度下降算法友好,可能可以让算法最终收敛并且提高训练速度和精度,更新公式为:

xi:=:=xi−min(xi)max(xi)−min(xi)

多项式回归

有时候线性的 Hypothesis 不一定合适我们需要拟合的数据,我们会选择多项式拟合例如:

hθ(x)=θ0+θ1x1+θ2x2+θ3x1x2+θ4x21+θ5x22

这时候我们也可以将它转化为 线性回归 问题,只要令新的特征 x_3=x_1x_2x_4=x_1^2x_5=x_2^2 就可以了。

So~,一周目的内容就是这些了,谢谢大家耐心阅读。


hertzcat

2018-03-24