我有一个梦想,希望每一位提到算法的人,不再立即紧皱眉头

1,062 阅读38分钟


点击关注 异步图书,置顶公众号

每天与你分享 IT好书 技术干货 职场知识


参与文末话题讨论,每日赠送异步图书——异步小编


多年来,我有一个梦想,希望每一位提到算法的人,不再立即紧皱眉头,脑海闪现枯燥的公式、冗长的代码;希望每一位阅读和使用算法的人,体会到算法之美,像躺在法国普罗旺斯小镇的长椅上,呷一口红酒,闭上眼睛,体会舌尖上的美味,感受鼻腔中满溢的薰衣草的芳香……

打开算法之门​

瑞士著名的科学家N.Wirth教授曾提出:数据结构+算法=程序。

数据结构是程序的骨架,算法是程序的灵魂。

在我们的生活中,算法无处不在。我们每天早上起来,刷牙、洗脸、吃早餐,都在算着时间,以免上班或上课迟到;去超市购物,在资金有限的情况下,考虑先买什么、后买什么,算算是否超额;在家中做饭,用什么食材、调料,做法、步骤,还要品尝一下咸淡,看看是否做熟。所以,不要说你不懂算法,其实你每天都在用!

但是对计算机专业算法,很多人都有困惑:“I can understand, but I can’tuse!”,我能看懂,但不会用!就像参观莫高窟的壁画,看到它、感受它,却无法走进。我们正需要一把打开算法之门的钥匙,就如陶渊明《桃花源记》中的“初极狭,才通人。复行数十步,豁然开朗。”

打开算法之妙不可言——算法复杂性

我们首先看一道某跨国公司的招聘试题。

写一个算法,求下面序列之和:

-1,1,-1,1,…,(-1)n

当你看到这个题目时,你会怎么想?for语句?while循环?

先看算法1-1:

​这段代码可以实现求和运算,但是为什么不这样算?!

​再看算法1-2:

​有的人看到这个代码后恍然大悟,原来可以这样啊?这不就是数学家高斯使用的算法吗?

​一共50对数,每对之和均为101,那么总和为:

(1+100)×50=5050

1787年,10岁的高斯用了很短的时间算出了结果,而其他孩子却要算很长时间。

可以看出,算法1-1需要运行n+1次,如果n=100 00,就要运行100 01次,而算法1-2仅仅需要运行1次!是不是有很大差别?

高斯的方法我也知道,但遇到类似的题还是……我用的笨办法也是算法吗?

答:是算法。

算法是指对特定问题求解步骤的一种描述。

算法只是对问题求解方法的一种描述,它不依赖于任何一种语言,既可以用自然语言、程序设计语言(C、C++、Java、Python等)描述,也可以用流程图、框图来表示。一般为了更清楚地说明算法的本质,我们去除了计算机语言的语法规则和细节,采用“伪代码”来描述算法。“伪代码”介于自然语言和程序设计语言之间,它更符合人们的表达方式,容易理解,但不是严格的程序设计语言,如果要上机调试,需要转换成标准的计算机程序设计语言才能运行。

算法具有以下特性。

(1)有穷性:算法是由若干条指令组成的有穷序列,总是在执行若干次后结束,不可能永不停止。

(2)确定性:每条语句有确定的含义,无歧义。

(3)可行性:算法在当前环境条件下可以通过有限次运算实现。

(4)输入输出:有零个或多个输入,一个或多个输出。

算法1-2的确算得挺快的,但如何知道我写的算法好不好呢?

“好”算法的标准如下。

(1)正确性:正确性是指算法能够满足具体问题的需求,程序运行正常,无语法错误,能够通过典型的软件测试,达到预期的需求。

(2)易读性:算法遵循标识符命名规则,简洁易懂,注释语句恰当适量,方便自己和他人阅读,便于后期调试和修改。

(3)健壮性:算法对非法数据及操作有较好的反应和处理。例如,在学生信息管理系统中登记学生年龄时,若将21岁误输入为210岁,系统应该提示出错。

(4)高效性:高效性是指算法运行效率高,即算法运行所消耗的时间短。算法时间复杂度就是算法运行需要的时间。现代计算机一秒钟能计算数亿次,因此不能用秒来具体计算算法消耗的时间,由于相同配置的计算机进行一次基本运算的时间是一定的,我们可以用算法基本运算的执行次数来衡量算法的效率。因此,将算法基本运算的执行次数作为时间复杂度的衡量标准。

(5)低存储性:低存储性是指算法所需要的存储空间低。对于像手机、平板电脑这样的嵌入式设备,算法如果占用空间过大,则无法运行。算法占用的空间大小称为空间复杂度。

除了(1)~(3)中的基本标准外,我们对好的算法的评判标准就是高效率、低存储。

(1)~(3)中的标准都好办,但时间复杂度怎么算呢?

时间复杂度:算法运行需要的时间,一般将算法的执行次数作为时间复杂度的度量标准。

看算法1-3,并分析算法的时间复杂度。

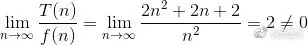
​把算法的所有语句的运行次数加起来:1+1+n+n+n×n+n×n,可以用一个函数T(n)表达:

​当n足够大时,例如

​时,

​,我们可以看到算法运行时间主要取决于第一项,后面的甚至可以忽略不计。

用极限表示为:

移除点击此处添加图片说明文字

​,C为不等于0的常数

如果用时间复杂度的渐近上界表示,如图1-1所示。

从图1-1中可以看出,当n≥n0时,T(n)≤Cf (n),当n足够大时,T(n)和f (n)近似相等。因此,我们用О(f (n))来表示时间复杂度渐近上界,通常用这种表示法衡量算法时间复杂度。算法1-3的时间复杂度渐近上界为

​,用极限表示为:

​图1-1 渐近时间复杂度上界

还有渐近下界符号Ω(T(n)≥Cf (n)),如图1-2所示。

​图1-2 渐近时间复杂度下界

从图1-2可以看出,当n≥n0时,T(n)≥Cf (n),当n足够大时,T(n)和f (n)近似相等,因此,我们用Ω(f (n))来表示时间复杂度渐近下界。

渐近精确界符号

​,如图1-3所示。

​从图1-3中可以看出,当n≥n0时,

移除点击此处添加图片说明文字

,当n足够大时,T(n)和f (n)近似相等。这种两边逼近的方式,更加精确近似,因此,用Θ (f (n))来表示时间复杂度渐近精确界。

​图1-3 渐进时间复杂度精确界

我们通常使用时间复杂度渐近上界О(f (n))来表示时间复杂度。

看算法1-4,并分析算法的时间复杂度。

​观察算法1-4,无法立即确定while 及i=i*2运行了多少次。这时可假设运行了x次,每次运算后i值为2,22,23,…,2x,当i=n时结束,即2x=n时结束,则x=log2n,那么算法1-4的运算次数为1+2log2n,时间复杂度渐近上界为О(f (n))=О(log2n)。

在算法分析中,渐近复杂度是对算法运行次数的粗略估计,大致反映问题规模增长趋势,而不必精确计算算法的运行时间。在计算渐近时间复杂度时,可以只考虑对算法运行时间贡献大的语句,而忽略那些运算次数少的语句,循环语句中处在循环内层的语句往往运行次数最多,即为对运行时间贡献最大的语句。例如在算法1-3中,total=total+i*j是对算法贡献最大的语句,只计算该语句的运行次数即可。

注意:不是每个算法都能直接计算运行次数。

例如算法1-5,在a[n]数组中顺序查找x,返回其下标i,如果没找到,则返回-1。

​我们很难计算算法1-5中的程序到底执行了多少次,因为运行次数依赖于x在数组中的位置,如果第一个元素就是x,则执行1次(最好情况);如果最后一个元素是x,则执行n次(最坏情况);如果分布概率均等,则平均执行次数为(n+1)/2。

有些算法,如排序、查找、插入等算法,可以分为最好、最坏和平均情况分别求算法渐近复杂度,但我们考查一个算法通常考查最坏的情况,而不是考查最好的情况,最坏情况对衡量算法的好坏具有实际的意义。

我明白了,那空间复杂度应该就是算法占了多大存储空间了?

空间复杂度:算法占用的空间大小。一般将算法的辅助空间作为衡量空间复杂度的标准。

空间复杂度的本意是指算法在运行过程中占用了多少存储空间。算法占用的存储空间包括:

(1)输入/输出数据;

(2)算法本身;

(3)额外需要的辅助空间。

输入/输出数据占用的空间是必需的,算法本身占用的空间可以通过精简算法来缩减,但这个压缩的量是很小的,可以忽略不计。而在运行时使用的辅助变量所占用的空间,即辅助空间是衡量空间复杂度的关键因素。

看算法1-6,将两个数交换,并分析其空间复杂度。

​两数的交换过程如图1-4所示。

​图1-4 两数交换过程

图1-4中的步骤标号与算法1-6中的语句标号一一对应,该算法使用了一个辅助空间temp,空间复杂度为О(1)。

注意:递归算法中,每一次递推需要一个栈空间来保存调用记录,因此,空间复杂度需要计算递归栈的辅助空间。

看算法1-7,计算n的阶乘,并分析其空间复杂度。

​阶乘是典型的递归调用问题,递归包括递推和回归。递推是将原问题不断分解成子问题,直到达到结束条件,返回最近子问题的解;然后逆向逐一回归,最终到达递推开始的原问题,返回原问题的解。

思考:试求5的阶乘,程序将怎样计算呢?

5的阶乘的递推和回归过程如图1-5和图1-6所示。

​图1-5 5的阶乘递推过程

​图1-6 5的阶乘回归过程

图1-5和图1-6的递推、回归过程是我们从逻辑思维上推理,用图的方式形象地表达出来的,但计算机内部是怎样处理的呢?计算机使用一种称为“栈”的数据结构,它类似于一个放一摞盘子的容器,每次从顶端放进去一个,拿出来的时候只能从顶端拿一个,不允许从中间插入或抽取,因此称为“后进先出”(last in first out)。

5的阶乘进栈过程如图1-7所示。

​图1-7 5的阶乘进栈过程5的阶乘出栈过程如图1-8所示。

​图1-8 5的阶乘出栈过程

从图1-7和图1-8的进栈、出栈过程中,我们可以很清晰地看到,首先把子问题一步步地压进栈,直到得到返回值,再一步步地出栈,最终得到递归结果。在运算过程中,使用了n个栈空间作为辅助空间,因此阶乘递归算法的空间复杂度为О(n)。在算法1-7中,时间复杂度也为О(n),因为n的阶乘仅比n-1的阶乘多了一次乘法运算,fac(n)=n*fac(n-1)。如果用T(n)表示fac(n)的时间复杂度,可表示为:

T(n)= T(n-1)+1

                  = T(n-2)+1+1

                  ……

                  = T(1)+…+1+1

                  =n

美不胜收——魔鬼序列

趣味故事1-1:一棋盘的麦子

有一个古老的传说,有一位国王的女儿不幸落水,水中有很多鳄鱼,国王情急之下下令:“谁能把公主救上来,就把女儿嫁给他。”很多人纷纷退让,一个勇敢的小伙子挺身而出,冒着生命危险把公主救了上来,国王一看是个穷小子,想要反悔,说:“除了女儿,你要什么都可以。”小伙子说:“好吧,我只要一棋盘的麦子。您在第1个格子里放1粒麦子,在第2个格子里放2粒,在第3个格子里放4粒,在第4个格子里放8粒,以此类推,每一格子里的麦子粒数都是前一格的两倍。把这64个格子都放好了就行,我就要这么多。”国王听后哈哈大笑,觉得小伙子的要求很容易满足,满口答应。结果发现,把全国的麦子都拿来,也填不完这64格……国王无奈,只好把女儿嫁给了这个小伙子。

解析

棋盘上的64个格子究竟要放多少粒麦子?

把每一个放的麦子数加起来,总和为S,则:

S=1+21+22+23+…+263   ①

我们把式①等号两边都乘以2,等式仍然成立:

2S=21+22+23+…+263+264   ②

式 ②减去式①,则:

S=264-1 =18 446 744 073 709 551 615

据专家统计,每个麦粒的平均重量约41.9毫克,那么这些麦粒的总重量是:

   18 446 744 073 709 551 615×41.9=772 918 576 688 430 212 668.5(毫克)≈7729(亿吨)

全世界人口按60亿计算,每人可以分得128吨!

我们称这样的函数为爆炸增量函数,想一想,如果算法时间复杂度是О(2n) 会怎样?随着n的增长,这个算法会不会“爆掉”?经常见到有些算法调试没问题,运行一段也没问题,但关键的时候宕机(shutdown)。例如,在线考试系统,50个人考试没问题,100人考试也没问题,如果全校1万人考试就可能出现宕机。

注意:宕机就是死机,指电脑不能正常工作了,包括一切原因导致的死机。计算机主机出现意外故障而死机,一些服务器(如数据库)死锁,服务器的某些服务停止运行都可以称为宕机。

常见的算法时间复杂度有以下几类。

(1)常数阶。

常数阶算法运行的次数是一个常数,如5、20、100。常数阶算法时间复杂度通常用О(1)表示,例如算法1-6,它的运行次数为4,就是常数阶,用О(1)表示。

(2)多项式阶。

很多算法时间复杂度是多项式,通常用О(n)、О(n2)、О(n3)等表示。例如算法1-3就是多项式阶。

(3)指数阶。

指数阶时间复杂度运行效率极差,程序员往往像躲“恶魔”一样避开它。常见的有О(2n)、О(n!)、О(nn)等。使用这样的算法要慎重,例如趣味故事1-1。

(4)对数阶。

对数阶时间复杂度运行效率较高,常见的有О(logn)、О(nlogn)等,例如算法1-4。

常见时间复杂度函数曲线如图1-9所示。

​从图1-9中可以看出,指数阶增量随着x的增加而急剧增加,而对数阶增加缓慢。它们之间的关系为:

О(1)< О(logn)< О(n)< О(nlogn) < О(n2)< О(n3)< О(2n) < О(n!)< О(nn)

我们在设计算法时要注意算法复杂度增量的问题,尽量避免爆炸级增量。

趣味故事1-2:神奇兔子数列

假设第1个月有1对刚诞生的兔子,第2个月进入成熟期,第3个月开始生育兔子,而1对成熟的兔子每月会生1对兔子,兔子永不死去……那么,由1对初生兔子开始,12个月后会有多少对兔子呢?

兔子数列即斐波那契数列,它的发明者是意大利数学家列昂纳多?斐波那契(Leonardo Fibonacci,1170—1250)。1202年,他撰写了《算盘全书》(《Liber Abaci》)一书,该书是一部较全面的初等数学著作。书中系统地介绍了印度—阿拉伯数码及其演算法则,介绍了中国的“盈不足术”;引入了负数,并研究了一些简单的一次同余式组。

(1)问题分析

我们不妨拿新出生的1对小兔子分析:

第1个月,小兔子①没有繁殖能力,所以还是1对。

第2个月,小兔子①进入成熟期,仍然是1对。

第3个月,兔子①生了1对小兔子②,于是这个月共有2(1+1=2)对兔子。

第4个月,兔子①又生了1对小兔子③。因此共有3(1+2=3)对兔子。

第5个月,兔子①又生了1对小兔子④,而在第3个月出生的兔子②也生下了1对小兔子⑤。共有5(2+3=5)对兔子。

第6个月,兔子①②③各生下了1对小兔子。新生3对兔子加上原有的5对兔子这个月共有8(3+5=8)对兔子。

……

为了表达得更清楚,我们用图示来分别表示新生兔子、成熟期兔子和生育期兔子,兔子的繁殖过程如图1-10所示。

​图1-10 兔子繁殖过程

这个数列有十分明显的特点,从第3个月开始,当月的兔子数=上月兔子数+当月新生兔子数,而当月新生的兔子正好是上上月的兔子数。因此,前面相邻两项之和,构成了后一项,即:

当月的兔子数=上月兔子数+上上月的兔子数

斐波那契数列如下:

1,1,2,3,5,8,13,21,34,…

递归式表达式:

那么我们该怎么设计算法呢?

哈哈,这太简单了,用递归算法很快就算出来了!

(2)算法设计

首先按照递归表达式设计一个递归算法,见算法1-8

移除点击

​写得不错,那么算法设计完成后,我们有3个问题:

算法是否正确?

算法复杂度如何?

能否改进算法?

(3)算法验证分析

第一个问题毋庸置疑,因为算法1-8是完全按照递推公式写出来的,所以正确性没有问题。那么算法复杂度呢?假设T(n)表示计算Fib1(n)所需要的基本操作次数,那么:

​因此,n>2时要分别调用Fib1(n-1)、Fib1(n-2)和执行一次加法运算,即:

​递归表达式和时间复杂度T(n)之间的关系如下:

由此可得:

​。

那么怎么计算F(n)呢?

有兴趣的读者可以看本文附录A中通项公式的求解方法,也可以看下文中的简略解释。

斐波那契数列通项为:

当n趋近于无穷时,

​由于

​这是一个指数阶的算法!

如果我们今年计算出了F(100),那么明年才能算出F(101),多算一个斐波那契数需要一年的时间,爆炸增量函数是算法设计的噩梦!算法1-8的时间复杂度属于爆炸增量函数,这在算法设计时是应当避开的,那么我们能不能改进它呢?

(4)算法改进

既然斐波那契数列中的每一项是前两项之和,如果记录前两项的值,只需要一次加法运算就可以得到当前项,时间复杂度会不会更低一些?我们用数组试试看,见算法1-9。

移除点击此处添加图片说明文字

​很明显,算法1-9的时间复杂度为О(n)。算法仍然是按照F(n)的定义,所以正确性没有问题,而时间复杂度却从算法1-8的指数阶降到了多项式阶,这是算法效率的一个巨大突破!

算法1-9使用了一个辅助数组记录中间结果,空间复杂度也为О(n),其实我们只需要得到第n个斐波那契数,中间结果只是为了下一次使用,根本不需要记录。因此,我们可以采用迭代法进行算法设计,见算法1-10。

​迭代过程如下。

初始值:s1=1;s2=1;

      当前解    记录前一项

i=3时   s2= s1+s2=2   s1=s2-s1=1

i=4时   s2= s1+s2=3   s1= s2-s1=2

i=5时   s2= s1+s2=5   s1= s2-s1=3

i=6时   s2= s1+s2=8   s1= s2-s1=5

……      ……      ……

算法1-10使用了若干个辅助变量,迭代辗转相加,每次记录前一项,时间复杂度为О(n),但空间复杂度降到了О(1)。

问题的进一步讨论:我们能不能继续降阶,使算法时间复杂度更低呢?实质上,斐波那契数列时间复杂度还可以降到对数阶О(logn),有兴趣的读者可以查阅相关资料。想想看,我们把一个算法从指数阶降到多项式阶,再降到对数阶,这是一件多么振奋人心的事!

(5)惊人大发现

科学家经研究在植物的叶、枝、茎等排列中发现了斐波那契数!例如,在树木的枝干上选一片叶子,记其为数1,然后依序点数叶子(假定没有折损),直到到达与那片叶子正对的位置,则其间的叶子数多半是斐波那契数。叶子从一个位置到达下一个正对的位置称为一个循回。叶子在一个循回中旋转的圈数也是斐波那契数。在一个循回中,叶子数与叶子旋转圈数的比称为叶序(源自希腊词,意即叶子的排列)比。多数植物的叶序比呈现为斐波那契数的比,例如,蓟的头部具有13条顺时针旋转和21条逆时针旋转的斐波那契螺旋,向日葵的种子的圈数与子数、菠萝的外部排列同样有着这样的特性,如图1-11所示。

​图1-11 斐波那契螺旋(图片来自网络)

观察延龄草、野玫瑰、南美血根草、大波斯菊、金凤花、耧斗菜、百合花、蝴蝶花的花瓣,可以发现它们的花瓣数目为斐波那契数:3,5,8,13,21,…。如图1-12所示。

​图1-12 植物花瓣(图片来自网络)

树木在生长过程中往往需要一段“休息”时间,供自身生长,而后才能萌发新枝。所以,一株树苗在一段间隔(例如一年)以后长出一条新枝;第二年新枝“休息”,老枝依旧萌发;此后,老枝与“休息”过一年的枝同时萌发,当年生的新枝则次年“休息”。这样,一株树木各个年份的枝桠数便构成斐波那契数列,这个规律就是生物学上著名的“鲁德维格定律”。

这些植物懂得斐波那契数列吗?应该并非如此,它们只是按照自然的规律才进化成这样的。这似乎是植物排列种子的“优化方式”,它能使所有种子具有相近的大小却又疏密得当,不至于在圆心处挤太多的种子而在圆周处却又很稀疏。叶子的生长方式也是如此,对于许多植物来说,每片叶子从中轴附近生长出来,为了在生长的过程中一直都能最佳地利用空间(要考虑到叶子是一片一片逐渐地生长出来,而不是一下子同时出现的),每片叶子和前一片叶子之间的角度应该是222.5°,这个角度称为“黄金角度”,因为它和整个圆周360°之比是黄金分割数0.618的倒数,而这种生长方式就导致了斐波那契螺旋的产生。向日葵的种子排列形成的斐波那契螺旋有时能达到89,甚至144。1992年,两位法国科学家通过对花瓣形成过程的计算机仿真实验,证实了在系统保持最低能量的状态下,花朵会以斐波那契数列的规律长出花瓣。

有趣的是:这样一个完全是自然数的数列,通项公式却是用无理数来表达的。而且当n趋向于无穷大时,斐波那契数列前一项与后一项的比值越来越逼近黄金分割比0.618:1÷1 = 1,1÷2 = 0.5,2÷3 = 0.666,…,3÷5 = 0.6,5÷8 = 0.625,…,55÷89 = 0.617977,…,144÷233 = 0.618025,…,46368÷75025 = 0.6180339886……

越到后面,这些比值越接近黄金分割比:

斐波那契数列起源于兔子数列,这个现实中的例子让我们真切地感到数学源于生活,生活中我们需要不断地通过现象发现数学问题,而不是为了学习而学习。学习的目的是满足对世界的好奇心,如果我们怀着这样一颗好奇心,或许世界会因你而不同!斐波那契通过兔子繁殖来告诉我们这种数学问题的本质,随着数列项的增加,前一项与后一项之比越来越逼近黄金分割的数值0.618时,我彻底被震惊到了,因为数学可以表达美,这是令我们叹为观止的地方。当数学创造了更多的奇迹时,我们会发现数学本质上是可以回归到自然的,这样的事例让我们感受到数学的美,就像黄金分割、斐波那契数列,如同大自然中的一朵朵小花,散发着智慧的芳香…… 

灵魂之交——马克思手稿中的数学题

有人抱怨:算法太枯燥、乏味了,看到公式就头晕,无法学下去了。你肯定选择了一条充满荆棘的路。选对方法,你会发现这里是一条充满鸟语花香和欢声笑语的幽径,在这里,你可以和高德纳聊聊,同爱因斯坦喝杯咖啡,与歌德巴赫和角谷谈谈想法,Dijkstra也不错。与世界顶级的大师进行灵魂之交,不问结果,这一过程已足够美妙!

如果这本文能让多一个人爱上算法,这就足够了!

趣味故事1-3:马克思手稿中的数学题

马克思手稿中有一道趣味数学问题:有30个人,其中有男人、女人和小孩,这些人在一家饭馆吃饭花了50先令;每个男人花3先令,每个女人花2先令,每个小孩花1先令;问男人、女人和小孩各有几人?

(1)问题分析

设x、y、z分别代表男人、女人和小孩。按题目的要求,可得到下面的方程:

x+y+z=30 ①

3x+2y+z=50 ②

两式相减,②-①得:

2x+y=20 ③

从式③可以看出,因为x、y为正整数,x最大只能取9,所以x变化范围是1~9。那么我们可以让x从1到9变化,再找满足①②两个条件y、z值,找到后输入即可,答案可能不止一个。

(2)算法设计

按照上面的分析进行算法设计,见算法1-11。

​(3)算法分析

算法完全按照题中方程设计,因此正确性毋庸置疑。那么算法复杂度怎样呢?从算法1-11中可以看出,对算法时间复杂度贡献最大的语句是for(x=1;x<=9;x++),该语句的执行次数是9,for循环中3条语句的执行次数也为9,其他语句执行次数为1,for语句一共执行36次基本运算,时间复杂度为О(1)。没有使用辅助空间,空间复杂度也为О(1)。

(4)问题的进一步讨论

为什么让x变化来确定y、z值?让y变化来确定x、z值会怎样呢?让z变化来确定x、y值行不行?有没有更好的算法降低时间复杂度?

趣味故事1-4:爱因斯坦的阶梯

爱因斯坦家里有一条长阶梯,若每步跨2阶,则最后剩1阶;若每步跨3阶,则最后剩2阶;若每步跨5阶,则最后剩4阶;若每步跨6阶,则最后剩5阶。只有每次跨7阶,最后才正好1阶不剩。请问这条阶梯共有多少阶?

(1)问题分析

根据题意,阶梯数n满足下面一组同余式:

n≡1(mod2)

n≡2(mod3)

n≡4(mod5)

n≡5(mod6)

n≡0(mod7)

注意:两个整数a、b,若它们除以整数m所得的余数相等,则称a、b对于模m同余,记作a≡b(mod m),读作a同余于b模m,或读作a与b关于模m同余。那么只需要判断一个整数值是否满足这5个同余式即可。

(2)算法设计

按照上面的分析进行算法设计,见算法1-12。

​(3)算法分析

算法的运行结果:

​因为n从1开始,找到第一个满足条件的数就停止,所以算法1-12中的while语句运行了119次。有的算法从算法本身无法看出算法的运行次数,例如算法1-12,我们很难知道while语句执行了多少次,因为它是满足条件时停止,那么多少次才能满足条件呢?每个问题具体的次数是不同的,所以不能看到程序中有n,就简单地说它的时间复杂度为n。

我们从1开始一个一个找结果的办法是不是太麻烦了?

(4)算法改进

因为从上面的5个同余式来看,这个数一定是7的倍数n≡0(mod 7),除以6余5,除以5余4,除以3余2,除以2余1,我们为什么不从7的倍数开始判断呢?算法改进见算法1-13。

​算法的运行结果:

​算法1-13中的while语句执行了119/7=17次,可见运行次数减少了不少呢!

(5)问题的进一步讨论

此题算法还可考虑求1、2、4、5的最小公倍数n,然后令t=n-1,判断t≡0(mod 7)是否成立,若不成立则t=t+n,再进行判别,直到选出满足条件的t为止。

1、2、4、5的最小公倍数n=20。

t=n-1=19,t≡0(mod 7)不成立;

t= t+n=39,t≡0(mod 7)不成立;

t= t+n=59,t≡0(mod 7)不成立;

t= t+n=79,t≡0(mod 7)不成立;

t= t+n=99,t≡0(mod 7)不成立;

t= t+n=119,t≡0(mod 7)成立。

我们可以看到这一算法判断6次即成功,但是,求多个数的最小公倍数需要多少时间复杂度,是不是比上面的算法更优呢?结果如何请大家动手试一试。

趣味故事1-5:哥德巴赫猜想

哥德巴赫猜想:任一大于2的偶数,都可表示成两个素数之和。

验证:2000以内大于2的偶数都能够分解为两个素数之和。

(1)问题分析

为了验证哥德巴赫猜想对2000以内大于2的偶数都是成立的,要将整数分解为两部分(两个整数之和),然后判断分解出的两个整数是否均为素数。若是,则满足题意;否则重新进行分解和判断。素数测试的算法可采用试除法,即用2,3,4,…,

去除n,如果能被整除则为合数,不能被整除则为素数。

(2)算法设计

按照上面的分析进行算法设计,见算法1-14。

​(3)算法分析

要验证哥德巴赫猜想对2000以内大于2的偶数都是成立的,我们首先要看看这个范围的偶数有多少个。1~2000中有1000个偶数,1000个奇数,那么大于2的偶数有999个,即i=4,6,8,…,2000。再看偶数分解和素数判断,这就要看最好情况和最坏情况了。最好的情况是一次分解,两次素数判断即可成功,最坏的情况要i -2次分解(即n=2,3,…,i -1的情况),每次分解分别执行2~sqrt(n)次、2~sqrt(i -n)次判断。

这个程序看似简单合理,但存在下面两个问题。

1)偶数分解存在重复。

i=4:分解为(2,2),(3,1),从n=2,3,…,i-1分解,每次得到一组数(n,i -n)。

i=6:分解为(2,4),(3,3),(4,2),(5,1)。

i=8:分解为(2,6),(3,5),(4,4),(5,3),(6,2),(7,1)。

除了最后一项外,每组分解都在i/2处对称分布。最后一组中有一个数为1,1既不是素数也不是合数,因此去掉最后一组,那么我们就可以从n=2,3,…,i/2进行分解,省掉了一半的多余判断。

2)素数判断存在重复。

i=4:分解为(2,2),(3,1),要判断2是否为素数,然后判断第二个2是否为素数。判断成功,返回。

i=6:分解为(2,4),(3,3),(4,2),(5,1),要判断2是否为素数,然后判断4是否为素数,不是继续下一个分解。再判断3是否为素数,然后判断第二个3是否为素数。判断成功,返回。

每次判断素数都要调用prime函数,那么可以先判断分解有可能得到的数是否为素数,然后把结果存储下来,下次判断时只需要调用上次的结果,不需要再重新判断是否为素数。例如(2,2),第一次判断结果2是素数,那第二个2就不用判断,直接调用这个结果,后面所有的分解,只要遇到这个数就直接认定为这个结果。

(4)算法改进

先判断所有分解可能得到的数是否为素数,然后把结果存储下来,有以下两种方法。

1)用布尔型数组 flag[2..1998]记录分解可能得到的数(2~1998)所有数是不是素数,分解后的值作为下标,调用该数组即可。时间复杂度减少,但空间复杂度增加。

2)用数值型数组data[302]记录2~1998中所有的素数(302个)。

分解后的值,采用折半查找(素数数组为有序存储)的办法在素数数组中查找,找到就是素数,否则不是。

不分解,直接在素数数组中找两个素数之和是否为i,如果找到,验证成功。因为素数数组为有序存储,当两个数相加比i大时,不需要再判断后面的数。

(5)问题的进一步讨论

上面的方法可以写出3个算法,大家可以尝试写一写,然后分析时间复杂度、空间复杂度如何?哪个算法更优一些?是不是还可以做到更好?

1.5 算法学习瓶颈

很多人感叹:算法为什么这么难!

一个原因是,算法本身具有一定的复杂性,还有一个原因:讲得不到位!

算法的教与学有两个困难。

(1)我们学习了那些经典的算法,在惊叹它们奇妙的同时,难免疑虑重重:这些算法是怎么被想到的?这可能是最费解的地方。高手讲,学算法要学它的来龙去脉,包括种种证明。但这对菜鸟来说,这简直比登天还难,很可能花费很多时间也无法搞清楚。对大多数人来说,这条路是行不通的,那怎么办呢?下功夫去记忆书上的算法?记住这些算法的效率?这样做看似学会了,其实两手空空,遇到一个新问题,仍然无从下手。可这偏偏又是极重要的,无论做研究还是实际工作,一个计算机专业人士最重要的能力就是解决问题——解决那些不断从实际应用中冒出来的新问题。

(2)算法作为一门学问,有两条几乎平行的线索。一个是数据结构(数据对象):数、矩阵、集合、串、排列、图、表达式、分布等。另一个是算法策略:贪心、分治、动态规划、线性规划、搜索等。这两条线索是相互独立的:同一个数据对象(如图)上有不同的问题(如单源最短路径和多源最短路径),就可以用到不同的算法策略(例如贪婪和动态规划);而完全不同的数据对象上的问题(如排序和整数乘法),也许就会用到相同的算法策略(如分治)。

两条线索交织在一起,该如何表述?我们早已习惯在一章中完全讲排序,而在另一章中完全讲图论算法。还没有哪一本算法书很好地解决这两个困难,传统的算法书大多注重内容的收录,但却忽视思维过程的展示,因此我们学习了经典的算法,却费解于算法设计的过程。

本文从问题出发,根据实际问题分析、设计合适的算法策略,然后在数据结构上操作实现,巧妙地将数据结构和算法策略拧成了一条线。通过大量实例,充分展现算法设计的思维过程,让读者充分体会求解问题的思路,如何分析?使用什么算法策略?采用什么数据结构?算法的复杂性如何?是否有优化的可能?

这里,我们培养的是让读者怀着一颗好奇心去思考问题、解决问题。更重要的是——体会学习的乐趣,发现算法的美!

你怕什么

本文主要说明以下问题。

(1)将程序执行次数作为时间复杂度衡量标准。

(2)时间复杂度通常用渐近上界符号f(n)表示。

(3)衡量算法的好坏通常考查算法的最坏情况。

(4)空间复杂度只计算辅助空间。

(5)递归算法的空间复杂度要计算递归使用的栈空间。

(6)设计算法时尽量避免爆炸级增量复杂度。

通过本文的学习,我们对算法有了初步的认识,算法就在我们的生活中。任何一个算法都不是凭空造出来的,而是来源于实际中的某一个问题,由此推及一类、一系列问题,所以算法的本质是高效地解决实际问题。本文部分内容或许你不是很清楚,不必灰心,还记得我在前言中说的“大视野,不求甚解”吗?例如斐波那契数列的通项公式推导,不懂没关系,只要知道斐波那契数列用递归算法,时间复杂度是指数阶,这就够了。就像一个面包师一边和面,一边详细讲做好面包要多少面粉、多少酵母、多大火候,如果你对如何做面包非常好奇,大可津津有味地听下去,如果你只是饿了,那么只管吃好了。

通过算法,你可以与世界顶级大师进行灵魂交流,体会算法的妙处。

Donald Ervin Knuth说:“程序就是蓝色的诗”。而这首诗的灵魂就是算法,走进算法,你会发现无与伦比的美!

持之以恒地学习,没有什么是学不会的。行动起来,没有什么不可以!

本文摘自《趣学算法》

​《趣学算法》

陈小玉 著

点击封面购买纸书


本书从算法之美娓娓道来,没有高深的原理,也没有枯燥的公式,通过趣味故事引出算法问题,包含50多个实例及完美图解,结合学生提问,分析算法本质,并给出代码实现的详细过程和运行结果。

本书可作为程序员的学习用书,也适合从未有过编程经验但又对算法有强烈兴趣的初学者使用,同时也可作为高等院校计算机、数学及相关专业的师生用书和培训学校的教材。

重磅新书


《文本上的算法——深入浅出自然语言处理》

路彦雄 著

点击封面购买纸书

自然语言处理是研究人机之间用自然语言通信的理论和方法,是人工智能领域的一个重要分支,有着非常广泛的应用空间。

本书结合作者多年学习和从事自然语言处理相关工作的经验,力图用生动形象的方式深入浅出地介绍自然语言处理的理论、方法和技术。本文抛弃繁琐的证明,提取出算法的核心,帮助读者尽快地掌握自然语言处理所必备的知识和技能。

通过本书,你将学习和理解:

★ 概率论、信息论、贝叶斯法则等基础知识;

★ 机器学习和深度学习的热门话题;

★ 程序优化的方法;

★ PageRank和相似度计算的原理;

★ 搜索引擎的原理、架构和核心模块;

★ 各种推荐算法的原理和工作机制;

★ 自然语言处理和对话系统等技术难题。

本书适合从事自然语言处理相关研究和工作的读者参考,尤其适合想要了解和掌握机器学习或者自然语言处理技术的读者阅读。


今日话题

说说你每天花在读书上的时间?截止时间3月22日17时,留言+转发本活动到朋友圈,小编将选出1名读者

赠送异步新书一本。



延伸推荐

2018年2月新书

2018年1月重磅新书

小学生开始学Python,最接近AI的编程语言:安利一波Python书单

政策升温:大家都在学大数据,一大波好书推荐

一本基于Python语言的Selenium自动化测试书

8本新书,送出一本你喜欢的

AI经典书单| 入门人工智能该读哪些书?

点击关键词阅读更多新书:

Python|机器学习|Kotlin|Java|移动开发|机器人|有奖活动|Web前端|书单


点击关键词阅读更多新书:

Python|机器学习|Kotlin|Java|移动开发|机器人|有奖活动|Web前端|书单

长按二维码,可以关注我们哟

每天与你分享IT好文。


在“异步图书”后台回复“关注”,即可免费获得2000门在线视频课程;推荐朋友关注根据提示获取赠书链接,免费得异步图书一本。赶紧来参加哦!

扫一扫上方二维码,回复“关注”参与活动!

点击下方阅读原文,查看更多


阅读原文