逆向基础(五)

660 阅读19分钟

reverse-engineering · 2014/05/29 17:16

Chapter 14


Division by 9

下面是一个非常简单的函数

#!bash
int f(int a)
{
    return a/9;
};

14.1 x86

以一种十分容易预测的方式编译的

#!bash
_a$ = 8             ; size = 4
_f   PROC
    push    ebp
    mov     ebp, esp
    mov     eax, DWORD PTR _a$[ebp]
    cdq             ; sign extend EAX to EDX:EAX
    mov     ecx, 9
    idiv    ecx
    pop     ebp
    ret     0
_f  ENDP

IDIV 有符号数除法指令 64位的被除数分存在两个寄存器EDX:EAX,除数放在单个寄存器ECX中。运算结束后,商放在EAX,余数放在EDX。f()函数的返回值将包含在eax寄存器中,也就是说,在进行除法运算之后,值不会再放到其他位置,它已经在合适的地方了。正因为IDIV指令要求被除数分存在EDX:EAX里,所以需要在做除法前用CDQ指令将EAX中的值扩展成64位有符号数,就像MOVSX指令(13.1.1)所做的一样。如果我们切换到优化模式(/0x),我们会得到

清单14.2:MSVC优化模式

#!bash
_a$ = 8                         ; size = 4
_f   PROC

    mov     ecx, DWORD PTR _a$[esp-4]
    mov     eax, 954437177      ; 38e38e39H
    imul    ecx
    sar     edx, 1
    mov     eax, edx
    shr     eax, 31             ; 0000001fH
    add     eax, edx
    ret     0
_f   ENDP

这里将除法优化为乘法。乘法运算要快得多。使用这种技巧可以得到更高效的代码。

在编译器优化中,这也称为“strength reduction”

GCC4.4.1甚至在没有打开优化模式的情况下生成了和在MSVC下打开优化模式的生成的几乎一样的代码。

清单14.3 GCC 4.4.1 非优化模式

#!bash
        public f
f       procnear
arg_0   = dword ptr 8

        push    ebp
        mov     ebp, esp
        mov     ecx, [ebp+arg_0]
        mov     edx, 954437177 ; 38E38E39h
        mov     eax, ecx
        imul    edx
        sar     edx, 1
        mov     eax, ecx
        sar     eax, 1Fh
        mov     ecx, edx
        sub     ecx, eax
        mov     eax, ecx
        pop     ebp
        retn
f       endp

14.2 ARM

ARM处理器,就像其他的“纯”RISC处理器一样,缺少除法指令,缺少32位常数乘法的单条指令。利用一个技巧,通过加法,减法,移位是可以实现除法的。 这里有一个32位数被10(20,3.3常量除法)除的例子,输出商和余数。

#!bash
; takes argument in a1
; returns quotient in a1, remainder in a2
; cycles could be saved if only divide or remainder is required
    SUB     a2, a1, #10         ; keep (x-10) for later
    SUB     a1, a1, a1, lsr #2
    ADD     a1, a1, a1, lsr #4
    ADD     a1, a1, a1, lsr #8
    ADD     a1, a1, a1, lsr #16
    MOV     a1, a1, lsr #3
    ADD     a3, a1, a1, asl #2
    SUBS    a2, a2, a3, asl #1  ; calc (x-10) - (x/10)*10
    ADDPL   a1, a1, #1          ; fix-up quotient
    ADDMI   a2, a2, #10         ; fix-up remainder
    MOV     pc, lr

14.2.1 Xcode优化模式(LLVM)+ARM模式

#!bash
__text:00002C58 39 1E 08 E3 E3 18 43 E3     MOV     R1, 0x38E38E39
__text:00002C60 10 F1 50 E7                 SMMUL   R0, R0, R1
__text:00002C64 C0 10 A0 E1                 MOV     R1, R0,ASR#1
__text:00002C68 A0 0F 81 E0                 ADD     R0, R1, R0,LSR#31
__text:00002C6C 1E FF 2F E1                 BX      LR

运行原理

这里的代码和优化模式的MSVC和GCC生成的基本相同。显然,LLVM在产生常量上使用相同的算法。

善于观察的读者可能会问,MOV指令是如何将32位数值写入寄存器中的,因为这在ARM模式下是不可能的。实际上是可能的,但是,就像我们看到的,与标准指令每条有四个字节不同的是,这里的每条指令有8个字节,其实这是两条指令。第一条指令将值0x8E39装入寄存器的低十六位,第二条指令是MOVT,它将0x383E装入寄存器的高16位。IDA知道这些顺序,并且为了精简紧凑,将它精简转换成一条伪代码。

SMMUL (Signed Most Significant Word Multiply)实现两个32位有符号数的乘法,并且将高32位的部分放在r0中,弃掉结果的低32位部分。

“MOV R1,R0,ASR#1“指令算数右移一位。
“ADD R0,R1,LSR#31” R0=R1+R0>>32

事实上,在ARM模式下,并没有单独的移位指令。相反,像(MOV,ADD,SUB,RSB)3 这样的数据处理指令,第二个操作数需要被移位。ASR表示算数右移,LSR表示逻辑右移。

14.2.2 优化 Xcode(LLVM)+thumb-2 模式

#!bash
MOV         R1, 0x38E38E39
SMMUL.W     R0, R0, R1
ASRS        R1, R0, #1
ADD.W       R0, R1, R0,LSR#31
BX          LR

在thumb模式下有些单独的移位指令,这个例子中使用了ASRS(算数右移)

14.2.3 Xcode非优化模式(LLVM) keil模式

非优化模式 LLVM不生成我们之前看到的那样的代码,它插入了一个调用库函数的call __divsi3

关于keil:通常插入一个调用库函数的call __aeabi_idivmod

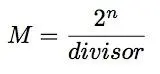
14.3 工作原理

下面展示的是怎样用乘法来优化除法,其中借助了2^n的阶乘

enter image description here

M是一个magic系数

M的计算过程

enter image description here

因此这些代码片段通常具有这样的形式

enter image description here

n可以是任意数,可能是32(那么这样运算结果的高位部分从EX或者RDX寄存器中获取),可能是31(这种情况下乘法结果的高位部分结果右移)

n的选取是为了减少错误。

当进行有符号数除法运算,乘法结果的符号也会被放到输出结果中。

下面来看看不同之处。

#!bash
int f3_32_signed(int a)
{
    return a/3;
};
unsigned int f3_32_unsigned(unsigned int a)
{
    return a/3;
};

在无符号版本的函数中,magic系数是0xAAAAAAAB,乘法结果被2^3*3除。

在有符号版本的函数中,magic系数是0x55555556,乘法结果被2^32除。

符号来自于乘法结果:高32位的结果右移31位(将符号位放在EAX中最不重要的位置)。如果最后结果为负,则会设置为1。

清单14.4:MSVC 2012/OX

#!bash
_f3_32_unsigned     PROC
        mov     eax, -1431655765        ; aaaaaaabH
        mul     DWORD PTR _a$[esp-4]    ; unsigned multiply
        shr     edx, 1
        mov     eax, edx
        ret     0
_f3_32_unsigned ENDP

_f3_32_signed PROC
        mov     eax, 1431655766         ; 55555556H
        imul    DWORD PTR _a$[esp-4]    ; signed multiply
        mov     eax, edx
        shr     eax, 31                 ; 0000001fH
        add     eax, edx                ; add 1 if sign is negative
        ret     0
_f3_32_signed ENDP

14.4 得到除数

14.4.1 变形#1

通常,代码具有这样一种形式

#!bash
mov     eax, MAGICAL CONSTANT
imul    input value
sar     edx, SHIFTING COEFFICIENT ; signed division by 2^x using arithmetic shift right
mov     eax, edx
shr     eax, 31
add     eax, edx

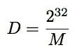
我们将32位的magic系数表示为M,移位表示为C,除数表示为D

我们得到的除法是

enter image description here

举个例子

清单14.5:优化模式 MSVC2012

#!bash
mov     eax, 2021161081     ; 78787879H
imul    DWORD PTR _a$[esp-4]
sar     edx, 3
mov     eax, edx
shr     eax, 31             ; 0000001fH
add     eax, edx

enter image description here

比32位的数字大,为了方便,于是我们使用用Wolfram Mathematica软件。

In[1]:=N[2^(32+3)/2021161081]
Out[1]:=17.

因此例子中的代码得到结果是17。

对于64位除法来说,原理是一样的,但是应该使用2^64来代替2^32。

#!bash
uint64_t f1234(uint64_t a)
{
    return a/1234;
};

清单14.7:MSVC2012/Ox

#!bash
f1234   PROC
        mov     rax, 7653754429286296943 ; 6a37991a23aead6fH
        mul     rcx
        shr     rdx, 9
        mov     rax, rdx
        ret     0
f1234   ENDP

清单14.8:Wolfram Mathematica

In[1]:=N[2^(64+9)/16^^6a37991a23aead6f]
Out[1]:=1234.

14.4.2 变形#2

忽略算数移位的变形也是存在的

#!bash
mov     eax, 55555556h ; 1431655766
imul    ecx
mov     eax, edx
shr     eax, 1Fh

更加简洁

enter image description here

在这个例子中

enter image description here

再用一次Wolfram Mathematica

In[1]:=N[2^32/16^^55555556]
Out[1]:=3.

得到的除数是3

chapter 15


用FPU工作

FPU--是一个主cpu被设计用来处理浮点数的设备。

过去它被称为协处理器,放在CPU旁边,看起来像可编程的计算器,在学习FPU之前学习堆栈机或forth语言是值得的。

有趣的是,在过去(80486cpu之前),协处理器是一个单独的芯片,并不总是安装在母版上,单独购买和安装也是可以的。

但从80486 DX CPU开始,FPU就被安装在里面了。

FWAIT指令可能提醒我们一个事实--它将CPU转换成等待模式,因此它可以一直等待直到FPU完成工作。另外一点是FPU指令操作码从所谓的escape操作码(D8..DF)开始,进入了FPU。

FPU有可以容纳8个80字节的寄存器栈容量,每一个寄存器可以存储一个IEEE 754格式的数字。

C/C++语言提供至少两种浮点数类型,float(单精度,32位),double类型(双精度,64位)。

GCC也支持多精度类型(扩展精度,80位),但是MSVC不支持。

在32位环境中,浮点数要求和int类型的位数相同,但是数值的表示法完全不同。

数值包括符号位,尾数(也叫做分数)和指数。

参数列表中有float和double类型的函数通过栈来获得值,如果函数返回float或者double类型的值,那么返回值将放在ST(0)寄存器中--在FPU的栈顶。

15.1 简单实例

下面我们来研究一个简单的例子

#!bash
double f (double a, double b)
{
    return a/3.14 + b*4.1;
}

15.1.1 x86

在msvc2010中编译

#!bash
CONST SEGMENT
[email protected] DQ 04010666666666666r   ; 4.1
CONST ENDS
CONST SEGMENT
[email protected] DQ 040091eb851eb851fr   ; 3.14
CONST ENDS
_TEXT SEGMENT
_a$ = 8         ; size = 8
_b$ = 16        ; size = 8
_f  PROC
    push    ebp
    mov     ebp, esp
    fld     QWORD PTR _a$[ebp]

; current stack state: ST(0) = _a

    fdiv    QWORD PTR [email protected]

; current stack state: ST(0) = result of _a divided by 3.13

    fld     QWORD PTR _b$[ebp]

; current stack state: ST(0) = _b; ST(1) = result of _a divided by 3.13

    fmul    QWORD PTR [email protected]

; current stack state: ST(0) = result of _b * 4.1; ST(1) = result of _a divided by 3.13

    faddp   ST(1), ST(0)

; current stack state: ST(0) = result of addition

    pop     ebp
    ret     0
_f ENDP

FLD从栈中取8个字节并将这个数字放入ST(0)寄存器中,自动将它转换成内部80位格式的扩展操作数。

FDIV除存储在ST(0)中地址指向的数值 [email protected] —3.14 就放在那里。

汇编语法丢失浮点数,因此,我们这里看到的是64位IEEE754编码的16进制表示的3.14。

执行FDIV执行后,ST(0)将保存除法的结果。

另外,这里也有FDIVP指令,用ST(0)除ST(1),从栈中将将这些值抛出来,然后将结果压栈。如果你懂forth语言,你会很快意识到这是堆栈机。

FLD指令将b的值压入栈中之后,商放入ST(1)寄存器中,ST(0)中保存b的值。

接下来FMUL指令将来自ST(0)[email protected] (4.1 的值在那里)相乘,然后将结果放入ST(0)中。

最后,FADDP指令将栈顶的两个值相加,将结果存储在ST(1)寄存器中,然后从ST(1)中弹出,再放入ST(0)中。

这个函数必须返回ST(0)寄存器中的值,因此,在执行FADDP命令后,没有其他额外的的指令了需要执行了。

GCC 4.4.1(选项03)生成基本同样的代码,有小小的不同之处。

不同之处在于,首先,3.14被压入栈中(进入ST(0)),然后arg_0的值除以ST(0)寄存器中的值

FDIVR 意味着逆向除法 被除数和除数交换。

因为乘法两个乘数可交换,所以没有这样的指令,我们只有FMUL而没有逆乘。

FADDP也是将两个值相加,其中一个来自栈。然后ST(0)保存它们的和。

这段反编译代码的碎片是由IDA产生的,ST(0)简称为ST。

15.1.2 ARM: Xcode优化模式(LLVM)+ARM 模式

直到ARM有标准化的浮点数支持后,几家处理器厂商才将其加入到他们自己指令扩展中。然后,VFP(向量浮点运算单元)标准化了。

与x86相比,一个重要的不同是,在x86中使用fpu栈工作,而在ARM中,这里没有栈,你只能使用寄存器。

#!bash
f
        VLDR        D16, =3.14
        VMOV        D17, R0, R1 ; load a
        VMOV        D18, R2, R3 ; load b
        VDIV.F64    D16, D17, D16 ; a/3.14
        VLDR        D17, =4.1
        VMUL.F64    D17, D18, D17 ; b*4.1
        VADD.F64    D16, D17, D16 ; +
        VMOV        R0, R1, D16
        BX          LR
dbl_2C98    DCFD 3.14 ; DATA XREF: f
dbl_2CA0    DCFD 4.1 ; DATA XREF: f+10

可以看到,这里我们使用了新的寄存器,并以D开头。这些是64位寄存器,有32个,他们既可以用作浮点数(double)运算也可以用作SIMD(在ARM中称为NEON)。

它们同时也可以作为32个32位的S寄存器使用,它们被用于单精度操作浮点数(float)运算。

记住它们很容易:D系列寄存器用于双精度数字,S寄存器用于单精度数字,记住Double和Single的首字母就可以了。

两个常量(3.14和4.1)都是以IEEE 754的形式存储在内存中。

VLDR和VMOV指令,容易推断,类似LDR和MOV指令,但是它们使用D系列寄存器,需要注意的就是这些指令不就之后也会展现出,就像D系列寄存器一样,不仅可以进行浮点数运算而且也可以用于SIMD(NEON)运算,参数传递的方式仍旧是通过R系列寄存器传递,但是每个具有双精度的数值有64位,所以为了便于传递需要两个寄存器。

“VMOV D17,R0,R1”在最开始,将两个来自R0和R1的32位的值组成一个64位的值并且将它保存在D17中。
“VMOV R0,R1,D16”是一个逆操作,D16中的值放回R0,R1中。

VDIV,VMUL,VADD都是用于浮点数的处理计算的指令,分别为除法指令,乘法指令,加法指令。

thumb-2的代码也是相同的。

15.1.3 ARM:优化 keil+thumb 模式

#!bash
f
            PUSH    {R3-R7,LR}
            MOVS    R7, R2
            MOVS    R4, R3
            MOVS    R5, R0
            MOVS    R6, R1
            LDR     R2, =0x66666666
            LDR     R3, =0x40106666
            MOVS    R0, R7
            MOVS    R1, R4
            BL      __aeabi_dmul
            MOVS    R7, R0
            MOVS    R4, R1
            LDR     R2, =0x51EB851F
            LDR     R3, =0x40091EB8
            MOVS    R0, R5
            MOVS    R1, R6
            BL      __aeabi_ddiv
            MOVS    R2, R7
            MOVS    R3, R4
            BL      __aeabi_dadd
            POP     {R3-R7,PC}
dword_364   DCD 0x66666666          ; DATA XREF: f+A
dword_368   DCD 0x40106666          ; DATA XREF: f+C
dword_36C   DCD 0x51EB851F          ; DATA XREF: f+1A
dword_370   DCD 0x40091EB8          ; DATA XREF: f+1C

keil为处理器生成的代码不支持FPU和NEON。因此,双精度浮点数通过通用R寄存器来传递双精度数字,与FPU指令不同的是,通过对库函数调用(如__aeabi_dmul, __aeabi_ddiv, __aeabi_dadd)用来实现乘法,除法,浮点数加法。当然,这比FPU协处理器慢,但总比没有强。

另外,在x86的世界中,当协处理器少而贵并且只安装昂贵的计算机上时,在FPU模拟库非常受欢迎。

在ARM的世界中,FPU处理器模拟称为soft float 或者armel,用协处理器的FPU指令的称为hard float和armhf。

举个例子,树莓派的linux内核用两种变量编译。如果是soft float,参数就会通过R系列寄存器编码,hard float则会通过D系列寄存器。

这就是不让你使用例子中来自armel编码的armhf库原因,反之亦然。那也是linux分区必须根据调用惯例编译的原因。

15.2 通过参数通过浮点数

#!bash
#include <math.h>
#include <stdio.h>
int main ()
{
    printf ("32.01 ^ 1.54 = %lf
", pow (32.01,1.54));
    return 0;
}

15.2.1 x86

让我们来看看在(msvc2010)中得到的东西

清单15.3 :MSVC 2010

#!bash
CONST   SEGMENT
[email protected] DQ 040400147ae147ae1r   ; 32.01
[email protected] DQ 03ff8a3d70a3d70a4r   ; 1.54
CONST ENDS

_main     PROC
        push    ebp
        mov     ebp, esp
        sub     esp, 8 ; allocate place for the first variable
        fld     QWORD PTR [email protected]
        fstp    QWORD PTR [esp]
        sub     esp, 8 ; allocate place for the second variable
        fld     QWORD PTR [email protected]
        fstp    QWORD PTR [esp]
        call    _pow
        add     esp, 8 ; "return back" place of one variable.

; in local stack here 8 bytes still reserved for us.
; result now in ST(0)

        fstp    QWORD PTR [esp] ; move result from ST(0) to local stack for printf()
        push    OFFSET $SG2651
        call    _printf
        add     esp, 12
        xor     eax, eax
        pop     ebp
        ret     0
_main       ENDP

FLD和FSTP读取FPU的栈中的变量。pow()从FPU栈中拿出两个值然后将结果返回到ST(0)寄存器中。printf()函数从本地栈中取出8字节并且将他们翻译为双精度变量。

15.2.2 ARM+Non-optimizing Xcode(LLVM)+thumb-2模式

#!bash
_main
var_C       = -0xC
            PUSH    {R7,LR}
            MOV     R7, SP
            SUB     SP, SP, #4
            VLDR    D16, =32.01
            VMOV    R0, R1, D16
            VLDR    D16, =1.54
            VMOV    R2, R3, D16
            BLX     _pow
            VMOV    D16, R0, R1
            MOV     R0, 0xFC1 ; "32.01 ^ 1.54 = %lf
"
            ADD     R0, PC
            VMOV    R1, R2, D16
            BLX     _printf
            MOVS    R1, 0
            STR     R0, [SP,#0xC+var_C]
            MOV     R0, R1
            ADD     SP, SP, #4
            POP     {R7,PC}
dbl_2F90    DCFD 32.01      ; DATA XREF: _main+6
dbl_2F98    DCFD 1.54       ; DATA XREF: _main+E

就像我以前写的一样,64位的浮点数是成对传递给R系列寄存器的。这样的代码是冗陈的(当然是因为优化选项关掉了),因为,事实上直接从R系列寄存器传递值,不借助D系列寄存器是可能的。

因此我们可以看到,_pow 将第一个参数放入R0和R1中,第二个参数放入R2和R3中。函数结果放入R0和R1中。_pwn的结果先放入了D16中,然后再放入R1和R2中,然后printf函数将取走这个值。

15.2.3 ARM+非优化模式keil+ARM模式

#!bash
_main
                STMFD   SP!, {R4-R6,LR}
                LDR     R2, =0xA3D70A4 ; y
                LDR     R3, =0x3FF8A3D7
                LDR     R0, =0xAE147AE1 ; x
                LDR     R1, =0x40400147
                BL      pow
                MOV     R4, R0
                MOV     R2, R4
                MOV     R3, R1
                ADR     R0, a32_011_54Lf ; "32.01 ^ 1.54 = %lf
"
                BL      __2printf
                MOV     R0, #0
                LDMFD   SP!, {R4-R6,PC}

y               DCD 0xA3D70A4       ; DATA XREF: _main+4
dword_520       DCD 0x3FF8A3D7      ; DATA XREF: _main+8
; double x
x               DCD 0xAE147AE1      ; DATA XREF: _main+C
dword_528       DCD 0x40400147      ; DATA XREF: _main+10
a32_011_54Lf    DCB "32.01 ^ 1.54 = %lf",0xA,0
                                    ; DATA XREF: _main+24

D系列寄存器在这里不使用,只成对地使用R系列的寄存器

15.3 对比实例

试试这个

#!bash
double d_max (double a, double b)
{
    if (a>b)
    return a;
    return b;
};

15.3.1 x86

尽管这个函数很简单,但是理解它的工作原理并不容易。

MSVC 2010生成

#!bash
PUBLIC      _d_max
_TEXT   SEGMENT
_a$ = 8         ; size = 8
_b$ = 16        ; size = 8
_d_max      PROC
    push    ebp
    mov     ebp, esp
    fld     QWORD PTR _b$[ebp]

; current stack state: ST(0) = _b
; compare _b (ST(0)) and _a, and pop register

    fcomp   QWORD PTR _a$[ebp]

; stack is empty here

    fnstsw  ax
    test    ah, 5
    jp      SHORT [email protected]_max

; we are here only if a>b

    fld     QWORD PTR _a$[ebp]
    jmp     SHORT [email protected]_max
[email protected]_max:
    fld     QWORD PTR _b$[ebp]
[email protected]_max:
    pop     ebp
    ret     0
_d_max      ENDP

因此,FLD将_b中的值装入ST(0)寄存器中。

FCOMP对比ST(0)寄存器和_a值,设置FPU状态字寄存器中的C3/C2/C0位,这是一个反应FPU当前状态的16位寄存器。

C3/C2/C0位被设置后,不幸的是,IntelP6之前的CPU没有任何检查这些标志位的条件转移指令。可能是历史的原因(FPU曾经是单独的一块芯片)。从Intel P6开始,现在的CPU拥有FCOMI/FCOMIP/FUCOMI/FUCOMIP指令,这些指令功能相同,但会改变CPU的ZF/PF/CF标志位。

当标志位被设好后,FCOMP指令从栈中弹出一个变量。这就是和FCOM的不同之处,FCOM只对比值,让栈保持同样的状态。

FNSTSW讲FPU状态字寄存器的内容拷贝到AX中,C3/C2/C0放置在14/10/8位中,它们会在AX寄存器中相应的位置上,并且都放在AX的高位部分—AH。

如果 b>a 在我们的例子中,C3/C2/C0位会被设置为:0,0,0
如果 a>b 标志位被设为:0,0,1
如果 a=b 标识位被设为:1,0,0

执行了 test sh,5 之后,C3和C1的标志位被设为0,但是第0位和第2位(在AH寄存器中)C0和C2位会保留。

下面我们谈谈奇偶位标志。Another notable epoch rudiment:

一个常见的原因是测试奇偶位标志事实上与奇偶没有任何关系。FPU有4个条件标志(C0到C3),但是它们不能被直接测试,必须先拷贝到标志位寄存器中,在这个时候,C0放在进位标志中,C2放在奇偶位标志中,C3放在0标志位中。当例子中不可比较的浮点数(NaN或者其他不支持的格式)使用FUCOM指令进行比较的时候,会设置C2标志位。

如果一个数字是奇数这个标志就会被设置为1。如果是偶数就会被设置为0.

因此,PF标志会被设置为1如果C0和C2都被设置为0或者都被设置为1。然后jp跳转就会实现。如果我们recall valuesof C3/C2/C0,我们将会发现条件跳转jp可能会在两种情况下触发:b>a或者a==b(C3位这里不再考虑,因为在执行test sh,5指令之后已经被清零了)

之后就简单了。如果条件跳转被触发,FLD会将_b的值放入ST(0)寄存器中,如果没有被触发,_a变量的值会被加载 但是还没有结束。

15.3.2 下面我们用msvc2010优化模式来编译它/0x

#!bash
_a$ = 8         ; size = 8
_b$ = 16        ; size = 8
_d_max  PROC
    fld     QWORD PTR _b$[esp-4]
    fld     QWORD PTR _a$[esp-4]
; current stack state: ST(0) = _a, ST(1) = _b
    fcom ST(1) ; compare _a and ST(1) = (_b)
    fnstsw ax
    test ah, 65 ; 00000041H
    jne SHORT [email protected]_max
    fstp ST(1) ; copy ST(0) to ST(1) and pop register, leave (_a) on top
; current stack state: ST(0) = _a
    ret 0
[email protected]_max:
    fstp ST(0) ; copy ST(0) to ST(0) and pop register, leave (_b) on top
; current stack state: ST(0) = _b
    ret 0
_d_max ENDP

FCOM区别于FCOMP在某种程度上是它只比较值然后并不改变FPU的状态。和之前的例子不同的是,操作数是逆序的。这也是C3/C2/C0中的比较结果是不同的原因。

如果 a>b  在我们的例子中,C3/C3/C0会被设为0,0,0
如果 b>a  标志位被设为:0,0,1
如果 a=b  标志位被设为:1,0,0

可以这么说,test ah,65指令只保留两位—C3和C0.如果a>b那么两者都被设为0:在那种情况下,JNE跳转不会被触发。 FSTP ST(1)接下来—这个指令会复制ST(0)中的值放入操作数中,然后从FPU栈中跑出一个值。 换句话说,这个这个指令将ST(0)中的值复制到ST(1)中。然后,_a的两个值现在在栈定。之后,一个值被抛出。之后,ST(0)会包含_a然后函数执行完毕。

条件跳转JNE在两种情况下触发:b>a或者a==b。ST(0)中的值拷贝到ST(0)中,就像nop指令一样,然后一个值从栈中抛出,然后栈顶(ST(0))会包含ST(1)之前的包含的内容(就是_b)。函数执行完毕。这条指令在这里使用的原因可能是FPU没有从栈中抛出值的指令并且没有地方存储。 但是,还没有结束。

15.3.3 GCC 4.4.1

#!bash
d_max proc near
b               =qword ptr -10h
a               =qword ptr -8
a_first_half    = dword ptr 8
a_second_half   = dword ptr 0Ch
b_first_half    = dword ptr 10h
b_second_half   = dword ptr 14h

    push    ebp
    mov     ebp, esp
    sub     esp, 10h

; put a and b to local stack:

    mov     eax, [ebp+a_first_half]
    mov     dword ptr [ebp+a], eax
    mov     eax, [ebp+a_second_half]
    mov     dword ptr [ebp+a+4], eax
    mov     eax, [ebp+b_first_half]
    mov     dword ptr [ebp+b], eax
    mov     eax, [ebp+b_second_half]
    mov     dword ptr [ebp+b+4], eax

; load a and b to FPU stack:

    fld     [ebp+a]
    fld     [ebp+b]
; current stack state: ST(0) - b; ST(1) - a

    fxch    st(1) ; this instruction swapping ST(1) and ST(0)

; current stack state: ST(0) - a; ST(1) - b

    fucompp     ; compare a and b and pop two values from stack, i.e., a and b
    fnstsw  ax  ; store FPU status to AX
    sahf        ; load SF, ZF, AF, PF, and CF flags state from AH
    setnbe  al  ; store 1 to AL if CF=0 and ZF=0
    test    al, al               ; AL==0 ?
    jz      short loc_8048453    ; yes
    fld     [ebp+a]
    jmp     short locret_8048456

loc_8048453:
    fld     [ebp+b]
locret_8048456:
    leave
    retn
d_max endp

FUCOMMP 类似FCOM指令,但是两个值都从栈中取,并且处理NaN(非数)有一些不同之处。

更多关于”非数“的:

FPU能够处理特殊的值比如非数字或者NaNs。它们是无穷大的,除零的结果等等。NaN可以是“quiet”并且“signaling”的。但是如果进行任何有关“signaling”的操作将会产生异常。

FCOM会产生异常如果操作数中有NaN。FUCOM只在操作数有signaling NaN (SNaN)的情况下产生异常。

接下来的指令是SANF—这条指令很少用,它不使用FPU。AH的8位以这样的顺序放入CPU标志位的低8位中:SF:ZF:-:AF:-:PF:-:CF<-AH。

FNSTSW将C3/C2/C0位放入AH寄存器的第6,2,0位中。

换句话说,fnstsw ax/sahf指令对是将C3/C2/C0移入CPU标志位ZF,PF,CF中。

现在我们来回顾一下,C3/C2/C0位会被设置成什么。

在我们的例子中,如果a比b大,那么C3/C2/C0位会被设为0,0,0
如果a比b小,这些位会被设为0,0,1
如果a=b,这些位会被设为1,0,0

换句话说,在 FUCOMPP/FNSTSW/SAHF指令后,我们的CPU标志位的状态如下

如果a>b,CPU的标志位会被设为:ZF=0,PF=0,CF=0
如果a<b,CPU的标志位会被设为:ZF=0,PF=0,CF=1
如果a=b,CPU的标志位会被设为:ZF=1,PF=0,CF=0

SETNBE指令怎样给AL存储0或1:取决于CPU标志位。几乎是JNBE的计数器,利用设置cc码产生的异常,来给AL写入0或1,但是Jccbut Jcc do actual jump or not.SETNBE存储1只在CF=0并且ZF=0的情况下。如果为假,将会存储0。

cf和ZF都为0只存在于一种情况:a>b

然后one将会被存入AL中,接下来JZ不会被触发,函数将返回_a。在其他的情况下,返回的是_b。

15.3.4 GCC 4.4.1-03优化选项turned开关

#!bash
            public d_max
d_max       proc near
arg_0       = qword ptr 8
arg_8       = qword ptr 10h
            push    ebp
            mov     ebp, esp
            fld     [ebp+arg_0] ; _a
            fld     [ebp+arg_8] ; _b

; stack state now: ST(0) = _b, ST(1) = _a
            fxch    st(1)

; stack state now: ST(0) = _a, ST(1) = _b
            fucom   st(1) ; compare _a and _b

            fnstsw  ax
            sahf
            ja      short loc_8048448
; store ST(0) to ST(0) (idle operation), pop value at top of stack, leave _b at top
            fstp    st
            jmp     short loc_804844A

loc_8048448:
; store _a to ST(0), pop value at top of stack, leave _a at top
            fstp    st(1)
loc_804844A:
            pop     ebp
            retn
d_max       endp

几乎相同除了一种情况:JA替代了SAHF。事实上,条件跳转指令(JA, JAE, JBE, JBE, JE/JZ, JNA, JNAE, JNB, JNBE, JNE/JNZ)检查通过检查CF和ZF标志来知晓两个无符号数字的比较结果。C3/C2/C0位在比较之后被放入这些标志位中然后条件跳转就会起效。JA会生效如果CF和ZF都为0。

因此,这里列出的条件跳转指令可以在FNSTSW/SAHF指令对之后使用。

看上去,FPU C3/C2/C0状态位故意放置在那里,传递给CPU而不需要额外的交换。

15.3.5 ARM+优化Xcode(LLVM)+ARM模式

#!bash
VMOV        D16, R2, R3 ; b
VMOV        D17, R0, R1 ; a
VCMPE.F64   D17, D16
VMRS        APSR_nzcv, FPSCR
VMOVGT.F64  D16, D17 ; copy b to D16
VMOV        R0, R1, D16
BX          LR

一个简单例子。输入值放在D17到D16寄存器中,然后借助VCMPE指令进行比较。就像x86协处理器一样,ARM协处理器拥有自己的标志位寄存器(FPSCR),因为存储协处理器的特殊标志需要存储。

就像x86中一样,在ARM中没有条件跳转指令,在协处理器状态寄存器中检查位,因此这里有VMRS指令,从协处理器状态字复制4位(N,Z,C,V)放入通用状态位(APSR寄存器)

VMOVGT类似MOVGT指令,如果比较时一个操作数比其它的大,指令将会被执行。

如果被执行了,b值将会写入D16,暂时被存储在D17中。

如果没有被执行,a的值将会保留在D16寄存器中。

倒数第二个指令VMOV将会通过R0和R1寄存器对准备D16寄存去中的值来返回。

15.3.6 ARM+优化 Xcode(LLVM)+thumb-2 模式

#!bash
VMOV        D16, R2, R3 ; b
VMOV        D17, R0, R1 ; a
VCMPE.F64   D17, D16
VMRS        APSR_nzcv, FPSCR
IT GT
VMOVGT.F64  D16, D17
VMOV        R0, R1, D16
BX          LR

几乎和前一个例子一样,有一些小小的不同。事实上,许多ARM中的指令在ARM模式下根据条件判定,当条件为真则执行。

但是在thumb代码中没有这样的事。在16位的指令中没有空闲的4位来编码条件。

但是,thumb-2为老的thumb指令进行扩展使得特殊判断成为可能。

这里是IDA-生成的表单,我们可以看到VMOVGT指令,和在前一个例子中是相同的。

但事实上,常见的VMOV就这样编码,但是IDA加上了—GT后缀,因为以前会放置“IT GT”指令。

IT指令定义所谓的if-then块。指令后面最多放置四条指令是可能的,判断后缀会被加上。在我们的例子中,“IT GT”意味着下一条指令会被执行,如果GT(Greater Than)条件为真。

下面是一段更加复杂的代码,来源于“愤怒的小鸟”(ios版)

#!bash
ITE NE
VMOVNE    R2, R3, D16
VMOVEQ    R2, R3, D17

ITE意味着if-the-else并且它为接下来的两条指令加上后缀。第一条指令将会执行如果ITE(NE,不相等)这时为真,为假则执行第二条指令。(与NE对立的就是EQ(equal))

这段代码也来自“愤怒的小鸟”

#!bash
ITTTT EQ
MOVEQ       R0, R4
ADDEQ       SP, SP, #0x20
POPEQ.W     {R8,R10}
POPEQ       {R4-R7,PC}

4个“T”符号在助记符中意味着接下来的4条指令将会被执行如果条件为真。这也是IDA在每条指令后面加上-EQ后缀的原因。

如果出现上面例子中ITEEE EQ(if-then-else-else-else),那么这些后缀将会被这样设置。

#!bash
-EQ
-NE
-NE
-NE

另一段来自“愤怒的小鸟”的代码。

#!bash
CMP.W       R0, #0xFFFFFFFF
ITTE LE
SUBLE.W     R10, R0, #1
NEGLE       R0, R0
MOVGT       R10, R0

ITTE(if-then-then-else)意味着第一条第二条指令将会被执行,如果LE(Less or Equal)条件为真,反之第三条指令将会执行。

编译器通常不生成所有的组合。举个例子,在“愤怒的小鸟”中提到的(ios经典版)只有这些IT指令会被使用:IT,ITE,ITT,ITTE,ITTT,ITTTT.我们怎样去学习它呢?在IDA中,产生这些列举的文件是可能的,于是我这么做了,并且设置选项以4字节的格式现实操作码。因为IT操作码的高16位是0xBF,使用grep指令

#!bash
cat AngryBirdsClassic.lst | grep " BF" | grep "IT" > results.lst

另外,对于thumb-2模式 ARM汇编语言的程序,通过附加的条件后缀,必要的时候汇编会自动加上IT指令和相应的标志。

15.3.7 ARM+非优化模式 Xcode(LLVM)+ARM模式

#!bash
b               =-0x20
a               =-0x18
val_to_return   = -0x10
saved_R7        = -4
                STR         R7, [SP,#saved_R7]!
                MOV         R7, SP
                SUB         SP, SP, #0x1C
                BIC         SP, SP, #7
                VMOV        D16, R2, R3
                VMOV        D17, R0, R1
                VSTR        D17, [SP,#0x20+a]
                VSTR        D16, [SP,#0x20+b]
                VLDR        D16, [SP,#0x20+a]
                VLDR        D17, [SP,#0x20+b]
                VCMPE.F64   D16, D17
                VMRS        APSR_nzcv, FPSCR
                BLE         loc_2E08
                VLDR        D16, [SP,#0x20+a]
                VSTR        D16, [SP,#0x20+val_to_return]
                B           loc_2E10
loc_2E08
                VLDR        D16, [SP,#0x20+b]
                VSTR        D16, [SP,#0x20+val_to_return]
loc_2E10
                VLDR        D16, [SP,#0x20+val_to_return]
                VMOV        R0, R1, D16
                MOV         SP, R7
                LDR         R7, [SP+0x20+b],#4
                BX          LR

基本和我们看到的一样,但是太多冗陈代码,因为a和b的变量存储在本地栈中,还有返回值

15.3.8 ARM+优化模式keil+thumb模式

#!bash
        PUSH    {R3-R7,LR}
        MOVS    R4, R2
        MOVS    R5, R3
        MOVS    R6, R0
        MOVS    R7, R1
        BL      __aeabi_cdrcmple
        BCS     loc_1C0
        MOVS    R0, R6
        MOVS    R1, R7
        POP     {R3-R7,PC}
loc_1C0
        MOVS    R0, R4
        MOVS    R1, R5
        POP     {R3-R7,PC}

keil 不为浮点数的比较生成特殊的指令,因为他不能依靠核心CPU的支持,它也不能直接按位比较。这里有一个外部函数用于比较:__aeabi_cdrcmple. N.B. 比较的结果用来设置标志,因此接下来的BCS(标志位设置 - 大于或等于)指令可能有效并且无需额外的代码。

15.4 x64

更多关于x86-64位浮点数的处理在这里