斐波那契数列的log(n)时间复杂度实现与第K大

217 阅读2分钟
原文链接: www.jianshu.com

有段时间的笔记了,发出来与大家分享

这几道题是去年11月份投实习生时的面试题目,自己表现不好自然无法通过面试,学会整理学习,希望今年春招能找到实习。

上来就是问斐波那契数列

斐波那契数列

int f[n]
f[0] = 0 , f[1] = 1;
for(int i = 0 ; i < n ; i ++)
    f[i] = f[i-1] + f[i -2];
cout<<f[n]<<endl;

O(1) 的空间就加个滚动数组,求余即可

int f[3]
f[0] = 0 , f[1] = 1;
for(int i = 0 ; i < n ; i ++)
    f[i%3] = f[(i-1)%3] + f[(i-2)%3];
cout<<f[n%3]<<endl;

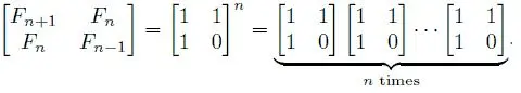
log(n)的时间复杂度当时没想到用矩阵运算,事后想搜了下,是用矩阵快速幂算的。还是太菜了。。 f0=0,f1=1,……..fn=f[n-1]+f[n-2]


矩阵运算
#include <bits/stdc++.h>
using namespace std;

struct matrix
{
    int a,b;
    int c,d;
};

matrix multi(matrix x,matrix y)
{ // 2*2 矩阵乘法
    int newa = x.a*y.a+x.b*y.c;
    int newb = x.a*y.b+x.b*y.d;
    int newc = x.c*y.a+x.d*y.c;
    int newd = x.c*y.b+x.d*y.d;
    return { newa,newb,newc,newd };
}

class Solution
{
public:
    int fibonacci(int n)
    {
        if(n == 0)
            return 0;
        matrix ans = {1,0,0,1}; // 单位阵
        matrix m = {1,1,1,0};
        while(n)
        {
            if(n&1)
                ans = multi(ans,m);
            m = multi(m,m);
            n >>= 1;
        }
        return ans.b;
    }
};
int main()
{
    Solution s;
    cout<<"ans: "<<s.fibonacci(10)<<endl;
    return 0;
}

第K大(Top K)

第一个的方法是排个序选第K个。 面试官叫我说第二个方法,提示了用二分,我还是不会。。(太菜了。。)

最后请教别人,是这样写的(有点快排的味道)

#include<bits/stdc++.h>
using namespace std;

class Solution
{
public:
    int getTopk(vector<int> nums,int k)
    {
//        for(int num : nums)
//            cout<<num<<" ";
//        cout<<endl;
        int siz = nums.size();
        if(k > siz)
            return -1;
        int left = 0 , right = siz;
        int pos = topk_partition(nums,left,right);
//        for(int num : nums)
//            cout<<num<<" ";
//        cout<<endl;
        while(pos != k - 1)
        {
            if(pos < k - 1)
                left = pos + 1;
            else
                right = pos;
            pos = topk_partition(nums,left,right);
//            for(int num : nums)
//                cout<<num<<" ";
//            cout<<endl;
        }
        return nums[pos];

    }
    int topk_partition(vector<int>& nums,int left,int right)
    {
        if(left >= right)
            return left;
        int i = left,j = right , guard = nums[left];
        while(i < j)
        {
            i++;
            while( i < right && nums[i] > guard)
                i++;
            j--;
            while( j >= left && nums[j] < guard)
                j--;
            if(i < j)
                swap(nums[i],nums[j]);
        }
        swap(nums[left],nums[j]);
        return j;
    }
};

int main()
{
    vector<int> nums = {4,3,2,6,7,8};
    Solution s;
    cout<<s.getTopk(nums,1);
    return 0;
}

更多面试题目请关注

《面试》个人文集