摘要:
差分约束系统实际上是一种转化,把某些问题转化成最短路问题来进行求解差分约束系统实际上是一种转化,把某些问题转化成最短路问题来进行求解
差分约束系统解决的问题是不等式的求解:
例如:
x2-x0<=3;
x4-x2<=2;
x3-x0<=5;
x1-x0<=4;
x3-x1<=1;
x4-x3<=1;
x3-x2<=3;
如果要求x4-x0的不等式解,显然可用不等式俩俩相加的方法求,求出是:
x4-x0<=5,x4-x0<=6;x4-x0<=7这三个式子显然最后求交集(ˇˍˇ) x4-x0<=5
我们可以这么看,x0~x4为图上五个点,xj-xi为i到j的距离这样就建立了一个有向图
显然x0到x4的路径有5,6,6,7四条最短的路为5
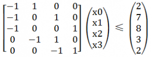
如若一个系统由n个变量和m个不等式组成,并且这m个不等式对应的系数矩阵中每一行有且仅有一个1和-1,其它的都为0,这样的系统称为差分约束( difference constraints )系统。
例如
如果还不清楚的话看看三角不等式:
给出三个不等式:
B - A <= c (1)
C - B <= a (2)
C - A <= b (3)
可以得到图
我们发现min{b, a+c}正好对应了A到C的最短路,而这三个不等式就是著名的三角不等式。将三个不等式推广到m个,变量推广到n个,就变成了n个点m条边的最短路问题了。
解的存在性
如果转化的的图中存在负权的回路先让就不会有解,因为负的回路会一直循环下去直到无穷小,这样就不可能有解
还有一种是两点之间不可达,这样最短路径为无穷大,此时有无限个解
版权声明:本文内容由互联网用户自发贡献,版权归作者所有,本社区不拥有所有权,也不承担相关法律责任。如果您发现本社区中有涉嫌抄袭的内容,欢迎发送邮件至:yqgroup@service.aliyun.com 进行举报,并提供相关证据,一经查实,本社区将立刻删除涉嫌侵权内容。
