开发环境
- TensorFlow: 1.2.0
- Python: 3.6
- Python IDE: PyCharm 2017.2
- Android IDE: Android Studio 3.0
训练与评估
训练和评估部分主要目的是生成用于测试用的pb文件,其保存了利用TensorFlow python API构建训练后的网络拓扑结构和参数信息,实现方式有很多种,除了cnn外还可以使用rnn,fcnn等。
其中基于cnn的函数也有两套,分别为tf.layers.conv2d和tf.nn.conv2d, tf.layers.conv2d使用tf.nn.conv2d作为后端处理,参数上filters是整数,filter是4维张量。原型如下:
convolutional.py文件
def conv2d(inputs, filters, kernel_size, strides=(1, 1), padding=’valid’, data_format=’channels_last’,
dilation_rate=(1, 1), activation=None, use_bias=True, kernel_initializer=None,
bias_initializer=init_ops.zeros_initializer(), kernel_regularizer=None,
bias_regularizer=None,
activity_regularizer=None, kernel_constraint=None, bias_constraint=None, trainable=True, name=None,
reuse=None)
gen_nn_ops.py 文件
def conv2d(input, filter, strides, padding, use_cudnn_on_gpu=True, data_format="NHWC ", name=None)
官方Demo实例中使用的是layers module,结构如下:
- Convolutional Layer #1:32个5×5的filter,使用ReLU激活函数
- Pooling Layer #1:2×2的filter做max pooling,步长为2
- Convolutional Layer #2:64个5×5的filter,使用ReLU激活函数
- Pooling Layer #2:2×2的filter做max pooling,步长为2
- Dense Layer #1:1024个神经元,使用ReLU激活函数,dropout率0.4
(为了避免过拟合,在训练的时候,40%的神经元会被随机去掉) - Dense Layer #2 (Logits Layer):10个神经元,每个神经元对应一个类别(0-9)
核心代码在cnn_model_fn(features, labels, mode)函数中,完成卷积结构的完整定义,核心代码如下:
也可以采用传统的tf.nn.conv2d函数, 核心代码如下:
测试
- 核心是使用API接口: TensorFlowInferenceInterface.java
- 配置gradle 或者 自编译TensorFlow源码导入jar和so compile
‘org.tensorflow:tensorflow-android:1.2.0’ - 导入pb文件.pb文件放assets目录,然后读取
String actualFilename = labelFilename.split(“file:///android_asset/“)[1];
Log.i(TAG, “Reading labels from: “ + actualFilename);
BufferedReader br = null;
br = new BufferedReader(new InputStreamReader(assetManager.open(actualFilename)));
String line;
while ((line = br.readLine()) != null) {
c.labels.add(line);
}
br.close();
- TensorFlow接口使用如下:
最终的测试效果为:

理论基础
MNIST
MNIST,最经典的机器学习模型之一,包含0~9的数字,28*28大小的单色灰度手写数字图片数据库,其中共60,000 training examples和10,000 test examples。
文件目录如下,主要包括4个二进制文件,分别为训练和测试图片及Label。
如下为训练图片的二进制结构,在真实数据前(pixel),有部分描述字段(魔数,图片个数,图片行数和列数),真实数据的存储采用大端规则。
(大端规则,就是数据的高字节保存在低内存地址中,低字节保存在高内存地址中)

在具体实验使用,需要提取真实数据,可采用专门用于处理字节的库struct中的unpack_from方法,核心方法如下:
struct.unpack_from(self._fourBytes2, buf, index)
MNIST作为AI的Hello World入门实例数据,TensorFlow封装对其封装好了函数,可直接使用
mnist = input_data.read_data_sets(‘MNIST’, one_hot=True)
CNN(Convolutional Neural Network)
CNN,英文Convolutional Neural Network,中文全称卷积神经网络,即所谓的卷积网(ConvNets)。卷积(Convolution)可谓是现代深度学习中最最重要的概念了,它是一种数学运算,读者可以从下面链接理解卷积Convolution中卷积相关数学机理,包括分别从傅里叶变换和狄拉克δ函数中推到卷积定义,我们可以从字面上宏观粗鲁的理解成将因子翻转相乘卷起来。卷积动画模型如下图所示:
神经网络:一个由大量神经元(neurons)组成的系统,如下图所示:
其中,x表示输入向量,w为权重,b为偏值bias,f为激活函数。
Activation Function 激活函数: 常用的非线性激活函数有Sigmoid、tanh、ReLU等等,公式如下所示。
- Sigmoid函数:函数饱和使梯度消失(神经元在值为 0 或 1 的时候接近饱和,这些区域,梯度几乎为 0)。同时,sigmoid 函数不是关于原点中心对称的(无0中心化)。
- tanh: 存在饱和问题,但它的输出是零中心的,因此实际中 tanh 比 sigmoid 更受欢迎。
- ReLU函数:ReLU 对于 SGD 的收敛有巨大的加速作用,只需要一个阈值就可以得到激活值,而不用去算一大堆复杂的(指数)运算。缺点是:需要合理设置学习率(learning rate),防止训练时dead,还可以使用Leaky ReLU/PReLU/Maxout等代替。
- Pooling池化:一般分为平均池化mean pooling和最大池化max pooling,如下图所示[21]为max pooling,除此之外,还有重叠池化(OverlappingPooling)[24],空金字塔池化(Spatial Pyramid
Pooling)
**平均池化**:计算图像区域的平均值作为该区域池化后的值。
最大池化:选图像区域的最大值作为该区域池化后的值。


CNN Architecture
三层神经网络:分别为输入层(Input layer),输出层(Output layer),隐藏层(Hidden layer),如下图所示。
CNN层级结构: 斯坦福cs231n中阐述了一种[INPUT-CONV-RELU-POOL-FC],如上图右边图片所示,分别为输入层,卷积层,激励层,池化层,全连接层。
CNN通用架构分为如下三层结构:
- Convolutional layers 卷积层
- Pooling layers 汇聚层
- Dense (fully connected) layers 全连接层
用动画演示如下图:
Regression + Softmax
机器学习有监督学习(supervised learning)中两大算法分别是分类算法和回归算法,分类算法用于离散型分布预测,回归算法用于连续型分布预测。
回归的目的就是建立一个回归方程用来预测目标值,回归的求解就是求这个回归方程的回归系数。
其中回归(Regression)算法包括Linear Regression,Logistic Regression等, Softmax Regression是其中一种用于解决多分类(multi-class classification)问题的Logistic回归算法的推广,经典实例就是在MNIST手写数字分类上的应用。
Linear Regression
Linear Regression是机器学习中最基础的模型,其目标是用预测结果尽可能地拟合目标label。
多元线性回归模型定义

多元线性回归求解

Mean Square Error (MSE)
- Gradient Descent(梯度下降法)
- Normal Equation(普通最小二乘法)
- 局部加权线性回归(LocallyWeightedLinearRegression, LWLR
):针对线性回归中模型欠拟合现象,在估计中引入一些偏差以便降低预测的均方误差。 - 岭回归(ridge regression)和缩减方法。
### 选择
Normal Equation相比Gradient Descent,计算量大(需计算X的转置与逆矩阵),只适用于特征个数小于100000时使用;当特征数量大于100000时使用梯度法。当X不可逆时可替代方法为岭回归算法。LWLR方法增加了计算量,因为它对每个点做预测时都必须使用整个数据集,而不是计算出回归系数得到回归方程后代入计算即可,一般不选择。
调优
平衡预测偏差和模型方差(高偏差就是欠拟合,高方差就是过拟合),通常有以下几种解决方案:
- 获取更多的训练样本 - 解决高方差
- 尝试使用更少的特征的集合 - 解决高方差
- 尝试获得其他特征 - 解决高偏差
- 尝试添加多项组合特征 - 解决高偏差
- 尝试减小 λ - 解决高偏差
- 尝试增加 λ -解决高方差
Softmax Regression
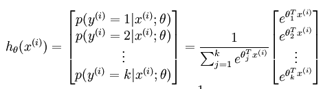
Softmax Regression估值函数(hypothesis)。
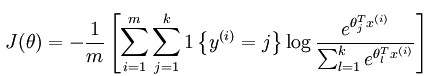
Softmax Regression代价函数(cost function)。
用实例来表示如下图所示:
Softmax Regression & Logistic Regression:
- 多分类 & 二分类。Logistic Regression为K=2时的Softmax Regression。
- 针对K类问题,当类别之间互斥时可采用Softmax Regression,当非斥时,可采用K个独立的Logistic Regression。
总的来说, Softmax Regression适用于类别数量大于2的分类,本例中用于判断每张图属于每个数字的概率。
附录
[01]Mnist官网
[02]Visualizing MNIST: An Exploration of Dimensionality Reduction
[03]TensorFlow Mnist官方实例
[04]Sample code for “Tensorflow and deep learning, without a PhD”
[05]Convex functions
[06]斯坦福大学机器学习第七课-正则化-regularization
[07]MachineLearning_Python
[08]Stanford University’s Convolutional Neural Networks for Visual Recognition course materials 翻译
[09]July CNN笔记:通俗理解卷积神经网络
[10]理解卷积Convolution
[11]Imagenet classification with deep convolutional neural networks
[12]Spatial Pyramid Pooling in Deep Convolutional Networks for Visual Recognition
[13]Convolutional Neural Networks-Basics
[14]A technical report on convolution arithmetic in the context of deep learning
[15]Google官方Demo
[16]Google官方Codelab
[17]deep-learning-cnns-in-tensorflow Github
[18]tensorflow-classifier-android
[19]creating-custom-model-for-android-using-tensorflow
[20]TF-NN Mnist实例