0.前言
本文只讲述支持向量机(svm)的基础,不涉及任何高深东西。
1. 支持向量机 作用
先看一图:


2. 如何判断好坏
下面问题来了,能够区分两堆点的线有好多,怎么区分哪个好? 这就引出了**街宽(margin)**的概念:


此处我们为什么选择常数1?因为如果假设是常数k,我们总可以通过两边同时除以k,对w和b进行缩放,让等式右边变为1.
上面两个式子可以统一为:

下面我们来计算街宽:


3. 优化街宽
我们现在知道街宽只和w相关,下面是我们的优化目标:
此时所有(x,y)满足:

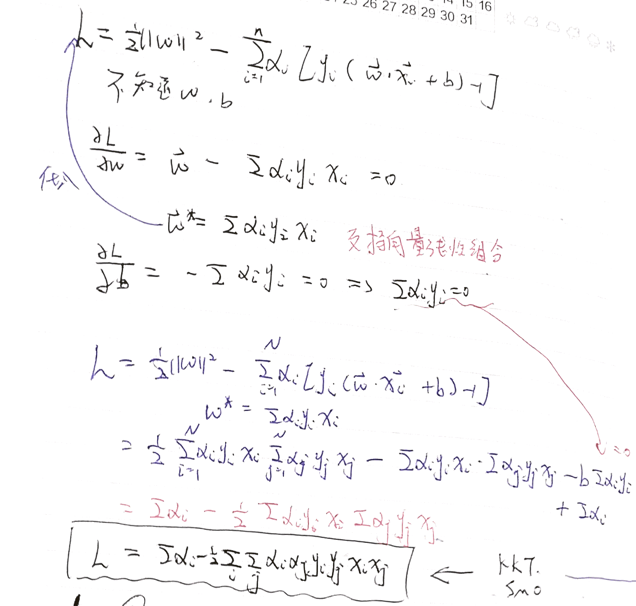
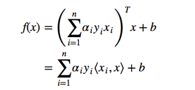
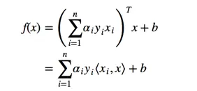
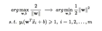
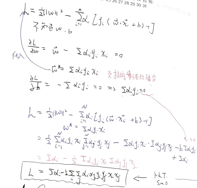
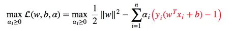
4. 最优解
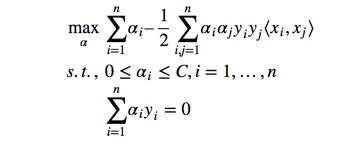
总结下目前的优化目标:




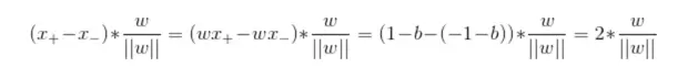
5. 支持向量
支持向量机中中一个很重要的概念就是支持向量,让我们来看上面推导中的式子:



6. 核函数
线性空间到非线性空间变化,从而使得数据线性可分:


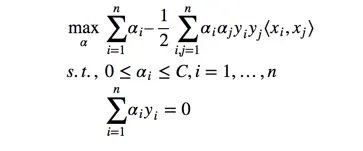
7. 离群点处理
在前面的讨论中我们都假设数据是线性可分的,对于在原空间中不可分的点,我们通过核函数变化,也能在新空间中进行区分,但是由于噪声存在的原因,总会有些点偏离正常的点,我们称之为离群点,下面我们来定义下处理离群点的方案:




8. 总结
本文介绍了支持向量机的作用,一步一步推导了支持向量机的求解过程了,接着给出了“支持向量” 的概念,最后介绍了核方法和离群点处理方法来解决非线性可分数据的分类问题。
9. 参考
你的鼓励是我继续写下去的动力,期待我们共同进步。
